Submitted:
04 September 2023
Posted:
07 September 2023
You are already at the latest version
Abstract
Keywords:
1. Introduction
2. The vehicle simulator model
3. Torque distribution system

4. Designing the control system
4.1. Overall control system diagram
4.2. Longitudinal Slip Control based on a Five-Degree-of-Freedom Vehicle Model
4.2.1. Evaluation of the Longitudinal Stability Control Law
4.3. Control of Four-Wheel Vehicle Model
4.3.1. Reference Model for Vehicle Wheel Rate
4.3.2. Wheel Torque Controller
4.3.3. Force Distribution Algorithm
- Mzt = Mz: In this case, the vehicle exhibits stable behavior, and no corrective external torque is required. Thus, the torque distribution system, with an equal distribution of tire forces resulting from the initial wheel torques, provides maximum acceleration for the vehicle, allowing it to continue along its initial path.
- Mzt > Mz: In this case, considering the necessary sign of the required external torque, the torque distribution system becomes active to generate the desired torque. With an appropriate distribution of traction forces resulting from the output torque of each independent motor connected to the wheels, the system ensures the stability of the vehicle. For example, in the case of an understeering vehicle rotating to the right, the active torque distribution system initially reduces the traction force of the inner wheels and increases the traction force of the outer wheels to create the corrective torque. It is worth mentioning that during acceleration, the load transfer occurs from the front axle to the rear axle, so the rear wheels have a greater traction capacity. Therefore, to improve the acceleration performance, the traction force is initially increased for the rear wheels and decreased for the front wheels.
- Mzt < Mz: This case is similar to the second case, with the difference that the positions of the tire forces are swapped. With the knowledge of the traction forces for each wheel, torque distribution is performed among the wheels in a way that the calculated forces from the distribution algorithm are achieved. To do this, the longitudinal slips corresponding to each force are calculated using the inverse model of tire forces. The calculated longitudinal slips are then used as desired values for the longitudinal slip controller (16) to calculate the motor torques for tracking them.
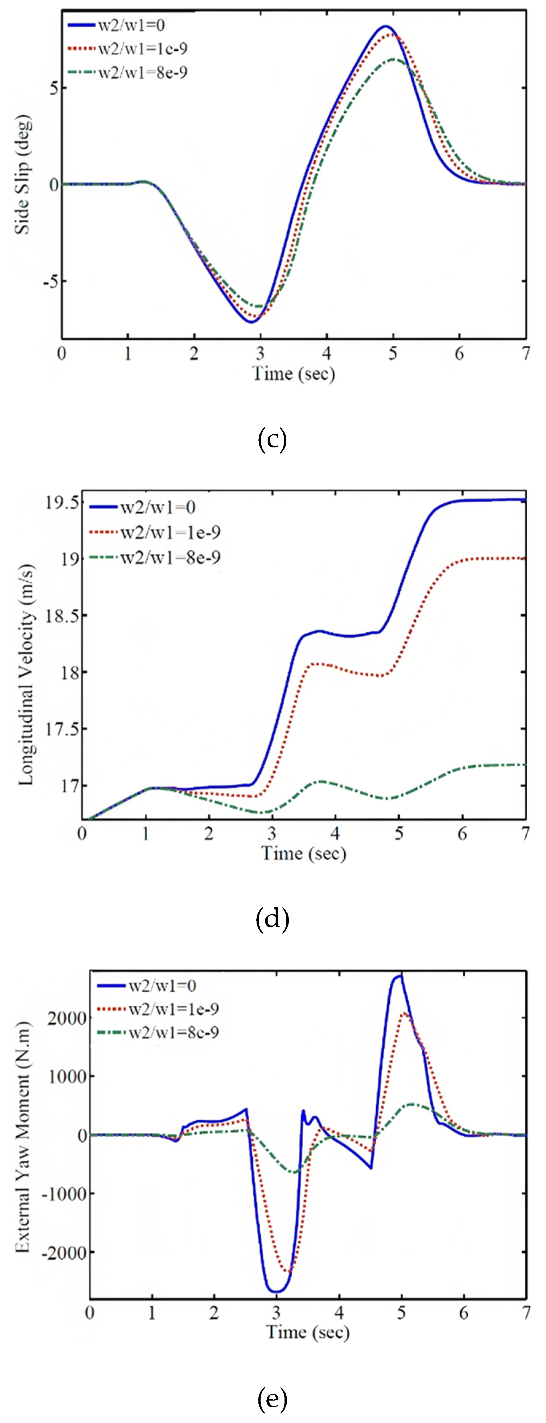
5. Simulation Results


| The control input weighting coefficients | The total torque of the four wheels (N.m) | The rotational speed error |
|---|---|---|
| w2/w1=0 | 2054.4 | 0.0778 |
| w2/w1=e-9 | 1670.2 | 0.2234 |
| w2/w1=8e-9 | 582.4 | 0.4011 |

6. Conclusion
Appendix 1
References
- Bostanian, M., Barakati, S. M., Najjari, B., & Kalhori, D. M. (2013). A Genetic-Fuzzy Control Strategy for Parallel Hybrid Electric Vehicle. International Journal of Automotive Engineering, 3(3), 482-495. [CrossRef]
- Gan, Y. H., Xiong, L., Feng, Y., & Martinez, F. (2013). A Torque Vectoring Control System for Maneuverability Improvement of 4WD EV. In Applied Mechanics and Materials (Vol. 347-350, pp. 899-903). [CrossRef]
- Tavasoli, A., & Naraghi, M. (2011). Comparison of static and dynamic control allocation techniques for integrated vehicle control. IFAC Proceedings, 44(1), 7180-7186. [CrossRef]
- Braghin, F., & Sabbioni, E. (2010). Development of a control strategy for improving vehicle safety in a hybrid vehicle with four independently driven in-wheel motors. In International Symposium on Advanced Vehicle Control.
- Rubin, D., & Arogeti, S. A. (2015). Vehicle yaw stability control using active limited-slip differential via model predictive control methods. Vehicle System Dynamics, 53(9), 1315-1330. [CrossRef]
- Kasinathan, D., Kasaiezadeh, A., Wong, A., Khajepour, A., Chen, S. K., & Litkouhi, B. (2015). An Optimal Torque Vectoring Control for Vehicle Applications via Real-Time Constraints. IEEE Transactions on Vehicular Technology, 65(6), 4368-4378. [CrossRef]
- De Novellis, L., Sorniotti, A., & Gruber, P. (2014). Wheel torque distribution criteria for electric vehicles with torque vectoring differentials. IEEE Transactions on Vehicular Technology, 63(4), 1593-1602. [CrossRef]
- Mashadi, B., Mostaani, S., & Majidi, M. (2011). Vehicle stability enhancement by using an active differential. Proceedings of the Institution of Mechanical Engineers, Part I: Journal of Systems and Control Engineering, 225(8), 1098-1114. [CrossRef]
- Marino, R., & Scalzi, S. (2008). Integrated active front steering and semiactive rear differential control in rear-wheel-drive vehicles. In Proceedings of the 17th IEEE IFAC World Congress. [CrossRef]
- Maroonian, A., Tamura, T., & Fuchs, R. (2013). Modeling and Simulation for the Dynamic Analysis of an Electronically Controlled Torque Coupling. In Advances Automotive Control (Vol. 46, No. 21, pp. 464-469). [CrossRef]
- De Novellis, L., Sorniotti, A., Gruber, P., & Pennycott, A. (2014). Comparison of feedback control techniques for torque-vectoring control of fully electric vehicles. IEEE Transactions on Vehicular Technology, 63(8), 3612-3623. [CrossRef]
- Rieveley, R.J. and Minaker, B. (2007). Variable Torque Distribution Yaw Moment Control for Hybrid Powertrains. [CrossRef]
- Mousaei, A., & Peng, H. (2023). A New Control Method for the Steadiness of Electric Vehicles with 2-Motor in Rear and Front Wheels. Research Square. [CrossRef]
- Mousaei, A., & Allahyari, H. (2023). An Improved Dynamic Programming Energy Management System for Parallel Hybrid Electric Vehicles According to Battery Model. [CrossRef]
- Nahidi, A., Kasaeizadeh, A., Khosravani, S., Khajepour, A., & Litkhouhi, B. (2017). Modular integrated longitudinal and lateral vehicle stability control for electric vehicles. Mechatronics, 44, 60-70. [CrossRef]
- Li, B., Goodarzi, A., Khajepour, A., Chen, S.-k., & Litkouhi, B. (2015). An optimal torque distribution control strategy for four-independent wheel drive electric vehicles. Vehicle System Dynamics, 53(8), 118. [CrossRef]
- Chen, Y., Hedrick, J., & Guo, K. (2013). A novel direct yaw moment controller for in-wheel motor electric vehicles. Vehicle System Dynamics, 51(6), 925-942. [CrossRef]
- Wong, A., Kasinathan, D., Khajepour, A., & Chen, S.K. (2016). Integrated torque vectoring and power management framework for electric vehicles. Control Engineering Practice, 48, 22-36. [CrossRef]
- Smith, D. E., & Starkey, J. M. (1995). Effects of Model Complexity on the Performance of Automated Vehicle Steering Controllers; Model Development, Validation and Comparison. Vehicle System Dynamics, 24(2), 163-181. [CrossRef]
- Yuan, X., & Wang, J. (2012). Torque distribution strategy for a front- and rear-wheel-driven electric vehicle. IEEE Transactions on Vehicular Technology, 61(7), 3365-3374. [CrossRef]
- Mirzaeinejad, H., & Mirzaei, M. (2014). Optimization of nonlinear control strategy for anti-lock braking system with improvement of vehicle directional stability on splitmu roads. Transportation Research Part C, 46, 1-15. [CrossRef]
- Mirzaeinejad, H., & Mirzaei, M. (2010). A novel method for nonlinear control of wheel slip in anti-lock braking systems. Control Engineering Practice, 18(8), 918-926. [CrossRef]
- Cho, W., Yoon, J., Kim, J., Hur, J., & Yi, K. (2008). An investigation into unified chassis control scheme for optimized vehicle stability and maneuverability. Vehicle System Dynamics, 46, 87-105. [CrossRef]









| Parameter | Value (Unit) | Parameter | Value (Unit) |
|---|---|---|---|
| R | 0.3 (m) | m | 1280 (kg) |
| Iω | 2.1 (kg.m2) | Iz | 2500 (kg.m2) |
| Cα | 3000 (N.rad-1) | Ix | 750 (kg.m2) |
| Ci | 5000 (N. UnitSlip-1) | a | 1.203 (m) |
| εr | 0.015 | b | 1.217 (m) |
| tw | 0.444 (m) | l | 2.42 (m) |
| d | 0.2 (m) | hcg | 0.5 (m) |
Disclaimer/Publisher’s Note: The statements, opinions and data contained in all publications are solely those of the individual author(s) and contributor(s) and not of MDPI and/or the editor(s). MDPI and/or the editor(s) disclaim responsibility for any injury to people or property resulting from any ideas, methods, instructions or products referred to in the content. |
© 2023 by the authors. Licensee MDPI, Basel, Switzerland. This article is an open access article distributed under the terms and conditions of the Creative Commons Attribution (CC BY) license (http://creativecommons.org/licenses/by/4.0/).