Submitted:
05 September 2023
Posted:
06 September 2023
Read the latest preprint version here
Abstract

Keywords:
1. Introduction
2. Ab-initio simulation details
3. Results and discussion
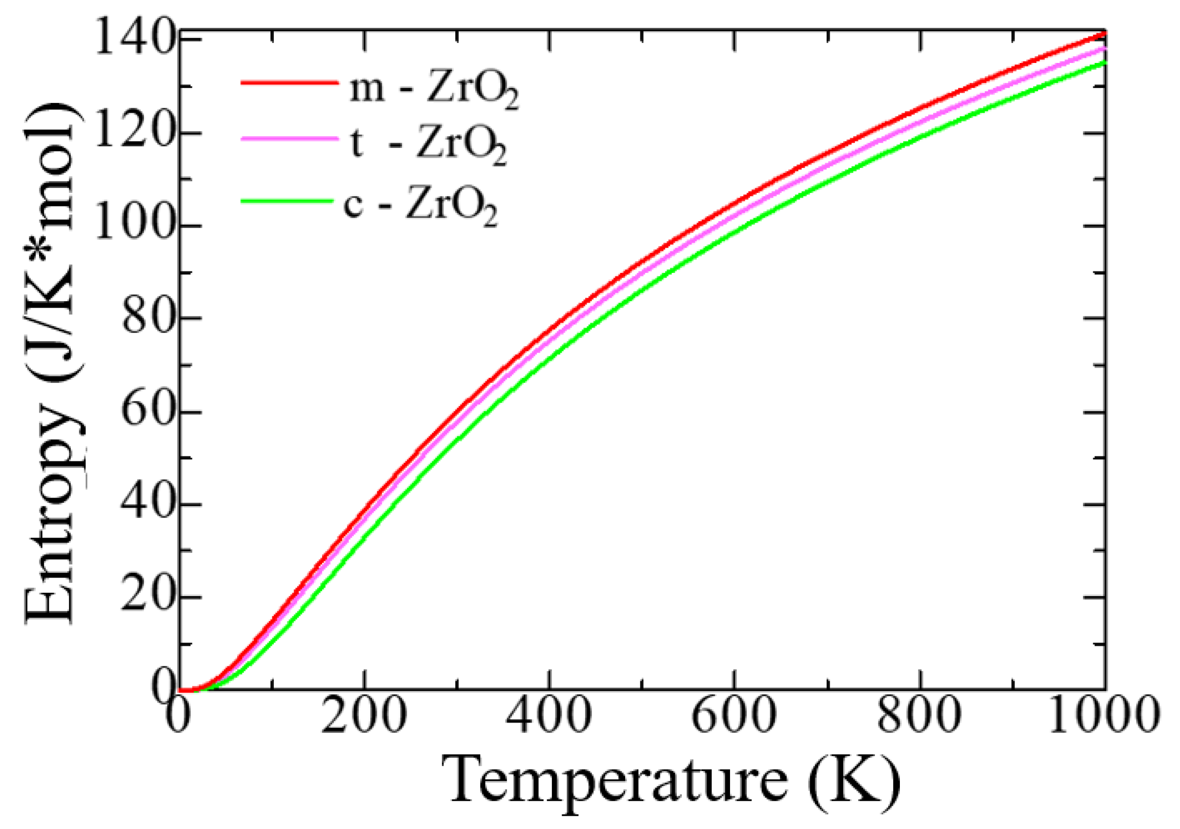
3.1. Structural, electronic and phonon properties of ZrO2


3.2. Stabilization of m-ZrO2 and electronic properties of YSZ
4. Conclusion
Funding
References
- Chu, S., Cui, Y., & Liu, N. The path towards sustainable energy. Nature Materials 2016, 16(1), 16–22. [Google Scholar] [CrossRef]
- Chu, S., & Majumdar, A. Opportunities and challenges for a sustainable energy future. Nature 2012, 488(7411), 294–303. [Google Scholar] [CrossRef] [PubMed]
- Shen, D., Xiao, M., Zou, G., Liu, L., Duley, W. W., & Zhou, Y. N. Self-Powered Wearable Electronics Based on Moisture Enabled Electricity Generation. Advanced Materials 2018, 30(18), 17059251705925. [Google Scholar] [CrossRef]
- Shao, C., Ji, B., Xu, T., Gao, J., Gao, X., Xiao, Y., Zhao, Y., Chen, N., Jiang, L., & Qu, L. Large-Scale Production of Flexible, High-Voltage Hydroelectric Films Based on Solid Oxides. ACS Applied Materials and Interfaces, 11(34), 30927–30935. 2019, 11(34), 30927–30935. [Google Scholar] [CrossRef]
- Yashima, M., Ohtake, K., Arashi, H., Kakihana, M., & Yoshimura, M. Determination of cubic-tetragonal phase boundary in Zr1− XYX O2− X/2 solid solutions by Raman spectroscopy. Journal of applied physics 1993, 74(12), 7603–7605. [Google Scholar] [CrossRef]
- Yashima, M., Sasaki, S., Kakihana, M., Yamaguchi, Y. A. S. U. O., Arashi, H. A. R. U. O., & Yoshimura, M. A. S. A. H. I. R. O. Oxygen-induced structural change of the tetragonal phase around the tetragonal–cubic phase boundary in ZrO2–YO1. 5 solid solutions. Acta Crystallographica Section B: Structural Science 1994, 50(6), 663–672. [Google Scholar] [CrossRef]
- Yashima, M., Kakihana, M., & Yoshimura, M. Metastable-stable phase diagrams in the zirconia-containing systems utilized in solid-oxide fuel cell application. Solid State Ionics 1996, 86, 1131–1149. [Google Scholar]
- Yashima, M., Ohtake, K., Kakihana, M., Arashi, H., & Yoshimura, M. Determination of tetragonal-cubic phase boundary of Zr1− XRXO2− X2 (R= Nd, Sm, Y, Er and Yb) by Raman scattering. Journal of Physics and Chemistry of Solids 1996, 57(1), 17–24. [Google Scholar] [CrossRef]
- Yashima, M., Ishizawa, N., & Yoshimura, M. High-Temperature X-ray Study of the Cubic-Tetragonal Diffusionless Phase Transition in the ZrO2─ ErO1. 5 System: I, Phase Change between Two Forms of a Tetragonal Phase, t′-ZrO2 and t ″-ZrO2, in the Compositionally Homogeneous 14 mol% ErO1. 5-ZrO2. Journal of the American Ceramic Society 1993, 76(3), 641–648. [Google Scholar] [CrossRef]
- Leger, J. M., Tomaszewski, P. E., Atouf, A., & Pereira, A. S. Pressure-induced structural phase transitions in zirconia under high pressure. Physical Review B 1993, 47(21), 14075. [Google Scholar] [CrossRef]
- Liu, L. G. New high pressure phases of ZrO2 and HfO2. Journal of Physics and Chemistry of Solids 1980, 41(4), 331–334. [Google Scholar] [CrossRef]
- Yashima, M., Mitsuhashi, T., Takashina, H., Kakihana, M., Ikegami, T., & Yoshimura, M. Tetragonal—monoclinic phase transition enthalpy and temperature of ZrO2-CeO2 solid solutions. Journal of the American Ceramic Society 1995, 78(8), 2225–2228. [Google Scholar] [CrossRef]
- Du, Y., Jin, Z., & Huang, P. Thermodynamic Assessment of the ZrO2─ YO1. 5 System. Journal of the American Ceramic Society 1991, 74(7), 1569–1577. [Google Scholar] [CrossRef]
- Yashima, M., Hirose, T., Katano, S., Suzuki, Y., Kakihana, M., & Yoshimura, M. Structural changes of ZrO 2-CeO 2 solid solutions around the monoclinic-tetragonal phase boundary. Physical Review B 1995, 51(13), 8018. [Google Scholar] [CrossRef]
- Clearfield, A. Crystalline hydrous zirconia. Inorganic Chemistry 1964, 3(1), 146–148. [Google Scholar] [CrossRef]
- Doroshkevich, A. S., Nabiev, A. A., Pawlukojć, A., Doroshkevich, N. V., Rahmonov, K. R., Khamzin, E. K., ... & Ibrahim, M. A. Frequency modulation of the Raman spectrum at the interface DNA-ZrO 2 nanoparticles. 2019, 62(2), 13–30. [Google Scholar]
- A. Kvist, in: Physics of Electrolytes, Vol. 1, ed. J. Hladik (Academic Press, London, 1972) p. 319.
- Lughi, V., & Sergo, V. Low temperature degradation-aging-of zirconia: A critical review of the relevant aspects in dentistry. Dental materials 2010, 26(8), 807–820. [Google Scholar] [CrossRef] [PubMed]
- Kobayashi, K., Kuwajima, H., & Masaki, T. Phase change and mechanical properties of ZrO2-Y2O3 solid electrolyte after ageing. Solid State Ionics 1981, 3, 489–493. [Google Scholar]
- Hohenberg, P., & Kohn, W. Inhomogeneous electron gas. Physical review 1964, 136(3B)), B864. [Google Scholar] [CrossRef]
- Perdew, J. P., Burke, K., & Ernzerhof, M. Generalized gradient approximation made simple. Physical review letters 1996, 77(18), 3865. [Google Scholar] [CrossRef]
- Sun, J., Ruzsinszky, A., & Perdew, J. P. Strongly constrained and appropriately normed semilocal density functional. 2015, 115(3), 036402. [Google Scholar]
- Kresse G, Furthmuller J. Efficiency of ab-initio total energy calculations for metals and semiconductors using a plane-wave basis set. Comput. Mater. Sci. 1996, 6, 15–50. [CrossRef]
- Howard, C. J., Hill, R. J., & Reichert, B. E. Structures of ZrO2 polymorphs at room temperature by high-resolution neutron powder diffraction. Acta Crystallographica Section B: Structural Science 1988, 44(2), 116–120. [Google Scholar] [CrossRef]
- Teufer, G. The crystal structure of tetragonal ZrO2. Acta Crystallographica 1962, 15(11), 1187–1187. [Google Scholar] [CrossRef]
- Martin, U., Boysen, H., & Frey, F. Neutron powder investigation of tetragonal and cubic stabilized zirconia, TZP and CSZ, at temperatures up to 1400 K. Acta Crystallographica Section B: Structural Science 1993, 49(3), 403–413. [Google Scholar] [CrossRef]
- Martin, U., Boysen, H., & Frey, F. Neutron powder investigation of tetragonal and cubic stabilized zirconia, TZP and CSZ, at temperatures up to 1400 K. Acta Crystallographica Section B: Structural Science 1993, 49(3), 403–413. [Google Scholar] [CrossRef]
- Pascal, R., & Pross, A. Stability and its manifestation in the chemical and biological worlds. Chemical Communications 2015, 51(90), 16160–16165. [Google Scholar] [CrossRef]
- Teter, D. M., Gibbs, G. V., Boisen Jr, M. B., Allan, D. C., & Teter, M. P. First-principles study of several hypothetical silica framework structures. Physical Review B 1995, 52(11), 8064. [Google Scholar] [CrossRef]
- Heyd, J., Scuseria, G. E., & Ernzerhof, M. Hybrid functionals based on a screened Coulomb potential. The Journal of chemical physics 2003, 118(18), 8207–8215. [Google Scholar] [CrossRef]
- Verma P, Truhlar D. HLE16: A Local Kohn-Sham Gradient Approximation with Good Performance for Semiconductor Band Gaps and Molecular Excitation Energies. J. Phys. Chem. Lett. 2017, 8, 380–87. [CrossRef]
- Asgerov, E.B.; Beskrovnyy, A.I.; Doroshkevich, N.V.; Mita, C.; Mardare, D.M.; Chicea, D.; Lazar, M.D.; Tatarinova, A.A.; Lyubchyk, S.I.; Lyubchyk, S.B.; Lyubchyk, A.I.; Doroshkevich, A.S. Reversible Martensitic Phase Transition in Yttrium-Stabilized ZrO2 Nanopowders by Adsorption of Water. Nanomaterials 2022, 12(3), 435. [Google Scholar] [CrossRef] [PubMed]
- Nematov, D. D., Kholmurodov, K. T., Husenzoda, M. A, Lyubchyk, A., & Burhonzoda, A. S. Molecular Adsorption of H2O on TiO2 and TiO2: Y Surfaces. Journal of Human, Earth, and Future 2022, 3(2), 213–222. [Google Scholar] [CrossRef]
- Nematov, D. Influence of Iodine Doping on the Structural and Electronic Properties of CsSnBr3. International Journal of Applied Physics 2022, 7, 36–47. [Google Scholar]
- Nematov D, Kholmurodov K, Yuldasheva D, Rakhmonov K, Khojakhonov I. Ab-initio Study of Structural and Electronic Properties of Perovskite Nanocrystals of the CsSn[Br1−xIx]3 Family. HighTech and Innovation Journal 2022, 3, 140–50. [CrossRef]
- Davlatshoevich, D.N. Investigation Optical Properties of the Orthorhombic System CsSnBr3-xIx: Application for Solar Cells and Optoelectronic Devices. Journal of Human, Earth, and Future 2021, 2, 404–411. [Google Scholar] [CrossRef]
- Davlatshoevich N. D, Ashur K, Saidali B.A, Kholmirzo Kh, Lyubchyk A, Ibrahim M. Investigation of structural and optoelectronic properties of N-doped hexagonal phases of TiO2 (TiO2-xNx) nanoparticles with DFT realization: Optimization of the band gap and optical properties for visible-light absorption and photovoltaic applications. Biointerface Research in Applied Chemistry 2022, 12, 3836–48. [Google Scholar]
- Nematov D, Burhonzoda A, Khusenov M. First Principles Analysis of Crystal Structure, Electronic and Optical Properties of CsSnI3–xBrx Perovskite for Photoelectric Applications. J. Surf. Invest. 2021, 15, 532–533. [CrossRef]
- Nematov, D.D. Kh.T. Kholmurodov, S.Aliona, K. Faizulloev, V.Gnatovskaya,T. Kudzoev, “A DFT Study of Structure, Electronic and Optical Properties of Se-Doped Kesterite Cu2ZnSnS4 (CZTSSe),”. Letters in Applied NanoBioScience 2022, 12(3), 67. [Google Scholar]
- Nematov D, Makhsudov B, Kholmurodov Kh, Yarov M. Optimization Optoelectronic Properties ZnxCd1-xTe System for Solar Cell Application: Theoretical and Experimental Study. Biointerface Research in Applied Chemistry 2023, 13, 90.
- Nematov, D., Burhonzoda, A., Khusenov, M., Kholmurodov, K., Doroshkevych, A., Doroshkevych, N., ... & Ibrahim, M. Molecular dynamics simulations of the DNA radiation damage and conformation behavior on a zirconium dioxide surface. Egyptian Journal of Chemistry 2019, 62(The First International Conference on Molecular Modeling and Spectroscopy 19-22 February, 2019), 149–161. [Google Scholar]
- Nematov, D. D., Burhonzoda, A. S., Khusenov, M. A., Kholmurodov, K. T., & Ibrahim, M. A. The quantum-chemistry calculations of electronic structure of boron nitride nanocrystals with density Functional theory realization. Egyptian Journal of Chemistry, 2019, 62(The First International Conference on Molecular Modeling and Spectroscopy 19-22 February, 2019), 21–27. [Google Scholar]
- Nizomov Z, Asozoda M, Nematov D. Characteristics of Nanoparticles in Aqueous Solutions of Acetates and Sulfates of Single and Doubly Charged Cations. Arabian Journal for Science and Engineering 2022, 47, 1–7.
- Danilenko, I., Gorban, O., Maksimchuk, P., Viagin, O., Malyukin, Yu., Gorban S., Volkova, G., Glasunova, V., Guadalupe Mendez-Medrano, M., Colbeau-Justin, Ch., Konstantinova, T., Lyubchyk, S. Photocatalytic activity of ZnO nanopowders: The role of production techniques in the formation of structural defects.
- Catalysis Today 2019, 328, 99–104.
- Danilenko, I., Gorban, O., da Costa Zaragoza de Oliveira Pedro, P.M, Viegas, J., Shapovalova, O., Akhozov, L., Konstantinova, T., Lyubchyk S. Photocatalytic Composite Nanomaterial and Engineering Solution for Inactivation of Airborne Bacteria. Topics in Catalysis 2021, 64, 772–779. [Google Scholar] [CrossRef]
- Dilshod, N., Kholmirzo, K., Aliona, S., Kahramon, F., Viktoriya, G., & Tamerlan, K. On the Optical Properties of the Cu2ZnSn [S1− xSex] 4 System in the IR Range. Trends in Sciences 2023, 20(2), 4058–4058. [Google Scholar]
- Petrov, E. G., Shevchenko, Y. V., Snitsarev, V., Gorbach, V.V., Ragulya, A. V., Lyubchik, S. Features of superexchange nonresonant tunneling conductance in anchored molecular wires. AIP Advances 2019, 9, 115120. [Google Scholar] [CrossRef]

















| mol. %Y2O3 | Zr | Y | O | O vacancy | System |
| 0 | 32 | 0 | 64 | 0 | Zr32O64 |
| 3.23 | 30 | 2 | 63 | 1 | Zr30Y2O63 |
| 6.67 | 28 | 4 | 62 | 2 | Zr28Y4O62 |
| 10.35 | 26 | 6 | 61 | 3 | Zr26Y6O61 |
| 16.15 | 22 | 10 | 59 | 5 | Zr22Y10O59 |
| Lattice constants | This work | Exp. | ||
| GGA | SCAN | |||
| m-ZrO2 [P2_1/c] | a (Å) | 5.191 | 5.115 | 5.0950 [24] |
| b (Å) | 5.245 | 5.239 | 5.2116 [24] | |
| c (Å) | 5.202 | 5.304 | 5.3173 [24] | |
| β◦ | 99.639 | 99.110 | 99.230 [24] | |
| V (Å3) | 144.410 | 139.400 | 140.88 [24] | |
| t-ZrO2 [P4_2/nmc] | a=b (Å) | 3.593 | 3.622 | 3.64 [25] |
| с (Å) | 5.193 | 5.275 | 5.27 [25] | |
| c/a | 1.445 | 1.456 | 1.45 [25] | |
| V (Å3) | 67.05 | 69.214 | 69.83 [25] | |
| dz | 0.012 | 0.013 | 0.046 [25] | |
| c-ZrO2 [Fm-3m] | a=b=c (Å) | 5.075 | 5.12 | 5.129 [26,27] |
| V(Å3) | 130.709 | 134.06 | 134.9 [26,27] | |
| System | Energy | ΔE |
| m-ZrO2 | -28.7947 | 0 |
| t-ZrO2 | -28.6885 | 0.106 |
| c-ZrO2 | -28.5865 | 0.201 |
| System | This work | Experiment [30] | ||
| GGA | SCAN | HSE06 | ||
| m-ZrO2 | 3.9 | 3.8 | 5.288 | 5.78 |
| t-ZrO2 | 4.42 | 4.37 | 5.898 | 5.83 |
| c-ZrO2 | 4.03 | 3.93 | 5.140 | 6.10 |
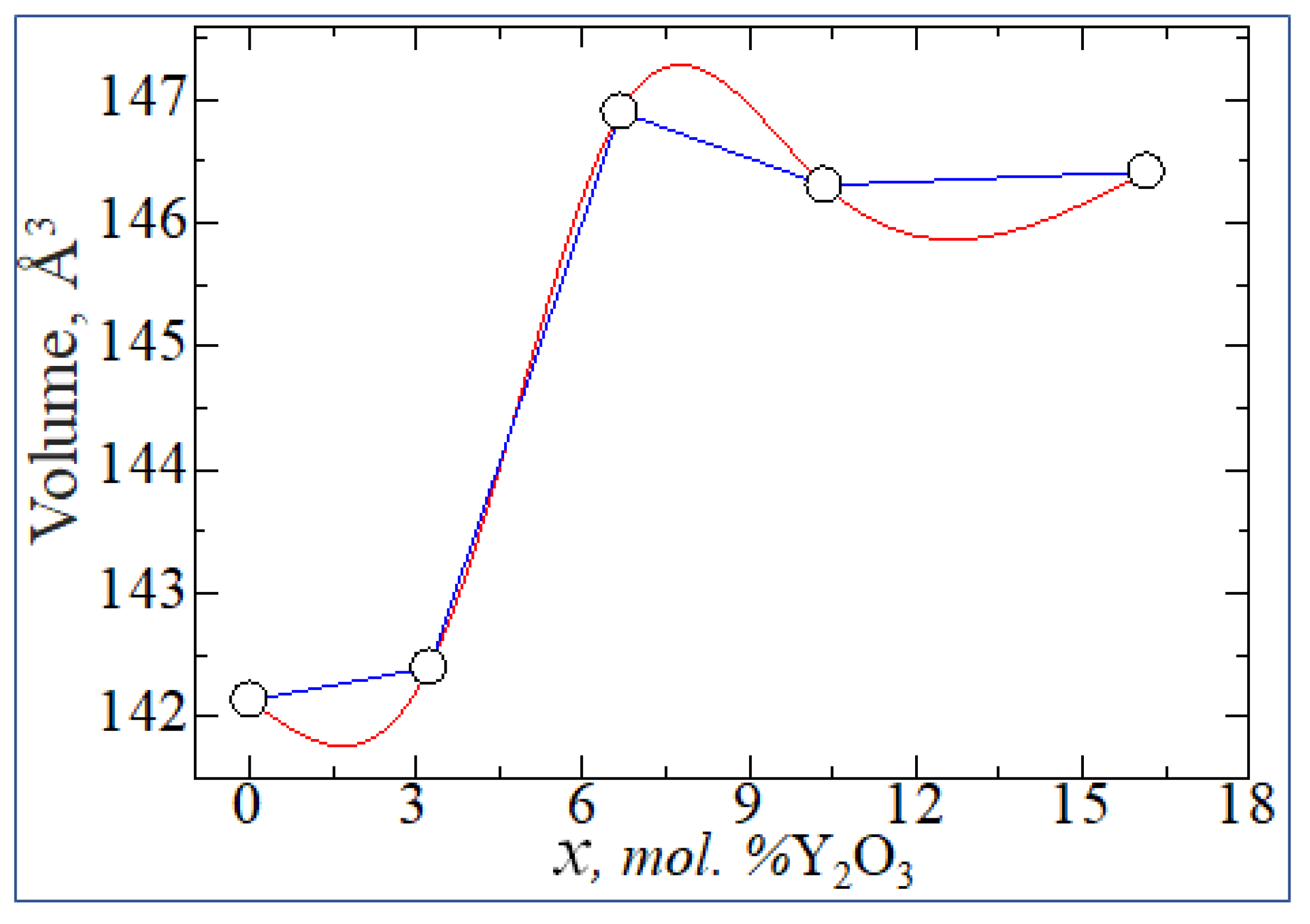
| System | Lattice parameters | Phase | |||||
| a (Å) | b (Å) | c (Å) | α (◦) | β (◦) | γ (◦) | ||
| 0 | 10.23 | 10.478 | 10.608 | 90 | 99.64 | 90.00 | m - YSZ |
| 3.23 mol. %Y2O3 | 10.274 | 10.524 | 10.536 | 90.21 | 98.84 | 89.94 | m - YSZ |
| 6.67 mol. %Y2O3 | 10.512 | 10.544 | 10.603 | 89.90 | 90.12 | 89.62 | t - YSZ |
| 10.35 mol. %Y2O3 | 10.529 | 10.541 | 10.546 | 89.98 | 90.09 | 90.08 | t - YSZ |
| 16.15 mol. %Y2O3 | 10.540 | 10.541 | 10.543 | 90.08 | 90.00 | 90.02 | c - YSZ |
| System | ΔН | Еf | Еdf |
| 0 | 64.02917222 | -4.747216667 | 0 |
| 3.23 mol. %Y2O3 | 59.91124404 | -4.848422632 | -1.874577368 |
| 6.67 mol. %Y2O3 | 56.13271879 | -4.967857447 | -3.739875532 |
| 10.35 mol. %Y2O3 | 52.7041267 | -5.106527419 | -5.596013441 |
| 16.15 mol. %Y2O3 | 47.00229139 | -5.384704945 | -9.220196154 |
Disclaimer/Publisher’s Note: The statements, opinions and data contained in all publications are solely those of the individual author(s) and contributor(s) and not of MDPI and/or the editor(s). MDPI and/or the editor(s) disclaim responsibility for any injury to people or property resulting from any ideas, methods, instructions or products referred to in the content. |
© 2023 by the authors. Licensee MDPI, Basel, Switzerland. This article is an open access article distributed under the terms and conditions of the Creative Commons Attribution (CC BY) license (http://creativecommons.org/licenses/by/4.0/).
