Submitted:
09 November 2023
Posted:
13 November 2023
You are already at the latest version
Abstract
Keywords:
1. Introduction
2. Materials and Methods
2.1. Animal Study Approval
2.2. Rat model and cardiotomy
2.3. Cardiac morphometry and heart volume calculation
2.3. RNA Isolation and Quantitative Real-Time RT-PCR
2.4. Statistical analysis
2.5. STRING
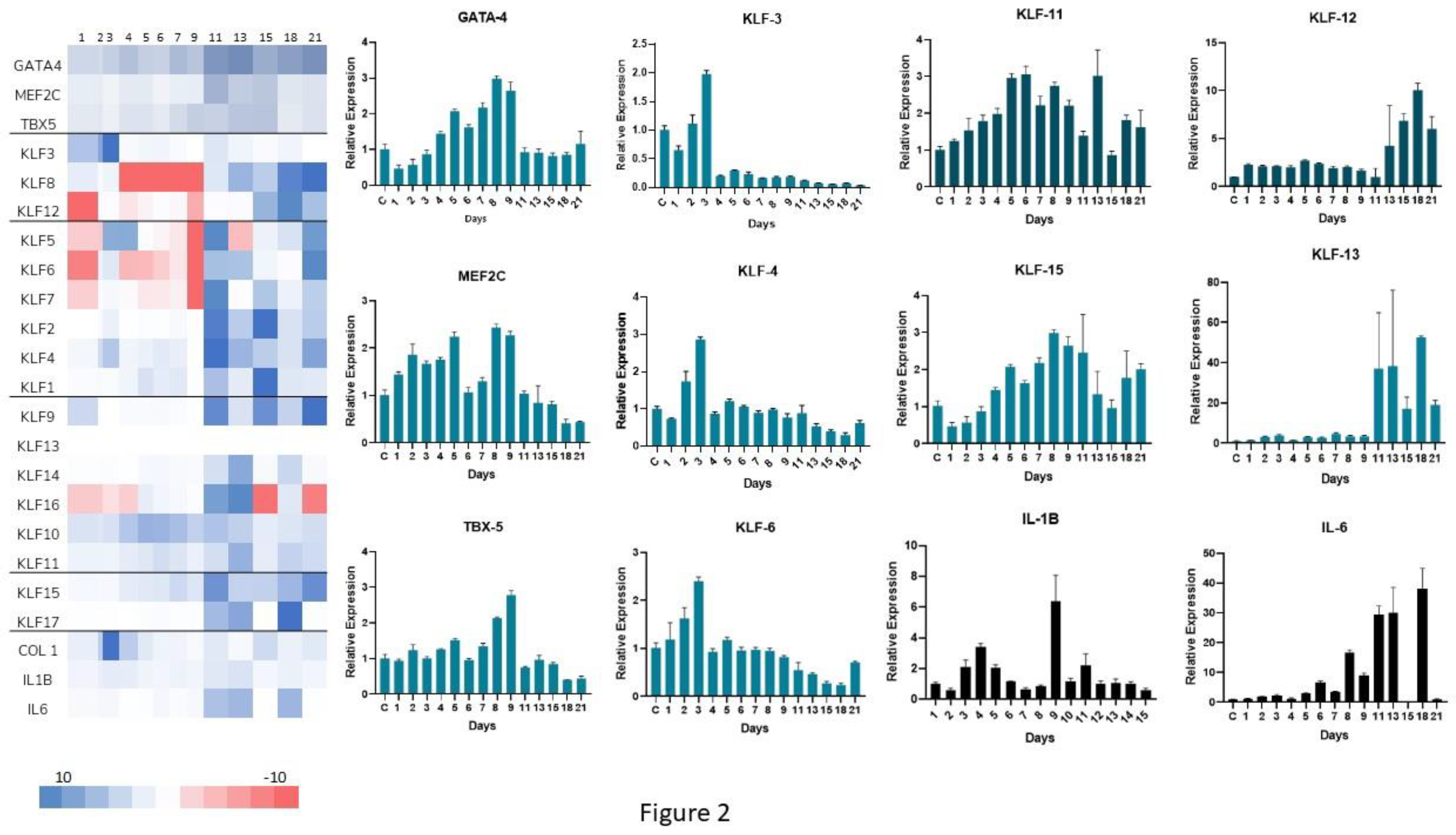
3. Results
4. Discussion
5. Conclusion
Supplementary Materials
Author Contributions
Funding
Institutional Review Board Statement
Conflicts of Interest
References
- Bayoumi, A.S., Park, K., Wang, Y., Teoh, J., Aonuma, T., Tang, Y., Su, H., Weintraub, N.L., Kim, I., 2018. A carvedilol-responsive microRNA, miR-125b-5p protects the heart from acute myocardial infarction by repressing pro-apoptotic bak1 and klf13 in cardiomyocytes. J Mol Cell Cardiol 114, 72–82. [CrossRef]
- Boon, R.A., Fledderus, J.O., Volger, O.L., van Wanrooij, E.J.A., Pardali, E., Weesie, F., Kuiper, J., Pannekoek, H., ten Dijke, P., Horrevoets, A.J.G., 2007. KLF2 Suppresses TGF-β Signaling in Endothelium Through Induction of Smad7 and Inhibition of AP-1. Arterioscler Thromb Vasc Biol 27, 532–539. [CrossRef]
- Choi, J.P., Wang, R., Yang, X., Wang, X., Wang, L., Ting, K.K., Foley, M., Cogger, V., Yang, Z., Liu, F., Han, Z., Liu, R., Baell, J., Zheng, X., 2018. Ponatinib (AP24534) inhibits MEKK3-KLF signaling and prevents formation and progression of cerebral cavernous malformations. Sci Adv 4. [CrossRef]
- Chowdhury, D., Tangutur, A.D., Khatua, T.N., Saxena, P., Banerjee, S.K., Bhadra, M.P., 2013. A proteomic view of isoproterenol induced cardiac hypertrophy: Prohibitin identified as a potential biomarker in rats. J Transl Med 11, 130. [CrossRef]
- Christoforou, N., Chellappan, M., Adler, A.F., Kirkton, R.D., Wu, T., Addis, R.C., Bursac, N., Leong, K.W., 2013. Transcription Factors MYOCD, SRF, Mesp1 and SMARCD3 Enhance the Cardio-Inducing Effect of GATA4, TBX5, and MEF2C during Direct Cellular Reprogramming. PLoS One 8. [CrossRef]
- Dabravolski, S.A., Sukhorukov, V.N., Kalmykov, V.A., Grechko, A. V., Shakhpazyan, N.K., Orekhov, A.N., 2022. The Role of KLF2 in the Regulation of Atherosclerosis Development and Potential Use of KLF2-Targeted Therapy. Biomedicines 10, 254. [CrossRef]
- Dirkx, E., Da Costa Martins, P.A., De Windt, L.J., 2013. Regulation of fetal gene expression in heart failure ☆. [CrossRef]
- Ferrini, A., Stevens, M.M., Sattler, S., Rosenthal, N., 2019. Toward Regeneration of the Heart: Bioengineering Strategies for Immunomodulation. Front Cardiovasc Med 6. [CrossRef]
- Fisch, S., Gray, S., Heymans, S., Haldar, S.M., Wang, B., Pfister, O., Cui, L., Kumar, A., Lin, Z., Sen-Banerjee, S., Das, H., Petersen, C.A., Mende, U., Burleigh, B.A., Zhu, Y., Pinto, Y., Liao, R., Jain, M.K., 2007. Kruppel-like factor 15 is a regulator of cardiomyocyte hypertrophy. Proc Natl Acad Sci U S A 104, 7074–7079. [CrossRef]
- Gaziano, T., Reddy, S., Paccaud, F., Horton, S., n.d. Disease Control Priorities in Developing Countries., in: Jamison, D., Berman, J., Measham, A. (Eds.),. Oxford University Press, Washington.
- Goradel, N.H., Hour, F.G., Negahdari, B., Malekshahi, Z.V., Hashemzehi, M., Masoudifar, A., Mirzaei, H., 2018. Stem Cell Therapy: A New Therapeutic Option for Cardiovascular Diseases. J Cell Biochem 119, 95–104. [CrossRef]
- Grimm, D., 1998. Development of heart failure following isoproterenol administration in the rat: role of the renin–angiotensin system. Cardiovasc Res 37, 91–100. [CrossRef]
- Hoffman, M., Palioura, D., Kyriazis, I.D., Cimini, M., Badolia, R., Rajan, S., Gao, E., Nikolaidis, N., Schulze, P.C., Goldberg, I.J., Kishore, R., Yang, V.W., Bannister, T.D., Bialkowska, A.B., Selzman, C.H., Drakos, S.G., Drosatos, K., 2021. Cardiomyocyte Krüppel-Like Factor 5 Promotes De Novo Ceramide Biosynthesis and Contributes to Eccentric Remodeling in Ischemic Cardiomyopathy. Circulation 143, 1139–1156. [CrossRef]
- Hosseini, A., Rajabian, A., Sobhanifar, M.-A., Alavi, M.S., Taghipour, Z., Hasanpour, M., Iranshahi, M., Boroumand-Noughabi, S., Banach, M., Sahebkar, A., 2022. Attenuation of isoprenaline-induced myocardial infarction by Rheum turkestanicum. Biomedicine & Pharmacotherapy 148, 112775. [CrossRef]
- Hu, H.-H., Chen, D.-Q., Wang, Y.-N., Feng, Y.-L., Cao, G., Vaziri, N.D., Zhao, Y.-Y., 2018. New insights into TGF-β/Smad signaling in tissue fibrosis. Chem Biol Interact 292, 76–83. [CrossRef]
- Ilatovskaya, D. V., Levchenko, V., Winsor, K., Blass, G.R., Spires, D.R., Sarsenova, E., Polina, I., Zietara, A., Paterson, M., Kriegel, A.J., Staruschenko, A., 2022. Effects of elevation of ANP and its deficiency on cardiorenal function. JCI Insight 7. [CrossRef]
- Islas, J., Moreno-Cuevas, J., 2018. A MicroRNA Perspective on Cardiovascular Development and Diseases: An Update. Int J Mol Sci 19, 2075. [CrossRef]
- Kyriazis, I.D., Hoffman, M., Gaignebet, L., Lucchese, A.M., Markopoulou, E., Palioura, D., Wang, C., Bannister, T.D., Christofidou-Solomidou, M., Oka, S.I., Sadoshima, J., Koch, W.J., Goldberg, I.J., Yang, V.W., Bialkowska, A.B., Kararigas, G., Drosatos, K., 2021. KLF5 Is Induced by FOXO1 and Causes Oxidative Stress and Diabetic Cardiomyopathy, Circulation Research. [CrossRef]
- Leenders, J.J., Wijnen, W.J., Hiller, M., Van Der Made, I., Lentink, V., Van Leeuwen, R.E.W., Herias, V., Pokharel, S., Heymans, S., De Windt, L.J., Høydal, M.A., Pinto, Y.M., Creemers, E.E., 2010. Regulation of cardiac gene expression by KLF15, a repressor of myocardin activity. Journal of Biological Chemistry 285, 27449–27456. [CrossRef]
- Leenders, J.J., Wijnen, W.J., van der Made, I., Hiller, M., Swinnen, M., Vandendriessche, T., Chuah, M., Pinto, Y.M., Creemers, E.E., 2012. Repression of cardiac hypertrophy by KLF15: Underlying mechanisms and therapeutic implications. PLoS One 7, 1–10. [CrossRef]
- Li, H., Wang, Y., Liu, Jiwen, Chen, X., Duan, Y., Wang, X., Shen, Y., Kuang, Y., Zhuang, T., Tomlinson, B., Chan, P., Yu, Z., Cheng, Y., Zhang, L., Liu, Z., Zhang, Y., Zhao, Z., Zhang, Q., Liu, Jie, 2021. Endothelial Klf2-Foxp1-TGFβ signal mediates the inhibitory effects of simvastatin on maladaptive cardiac remodeling. Theranostics 11, 1609–1625. [CrossRef]
- Liang, Q., De Windt, L.J., Witt, S.A., Kimball, T.R., Markham, B.E., Molkentin, J.D., 2001. The Transcription Factors GATA4 and GATA6 Regulate Cardiomyocyte Hypertrophy in Vitro and in Vivo. Journal of Biological Chemistry 276, 30245–30253. [CrossRef]
- Liu, Y., 2017. Earlier and broader roles of Mesp1 in cardiovascular development. Cellular and Molecular Life Sciences 74, 1969–1983. [CrossRef]
- Liu, Y., Chen, L., Diaz, A.D., Benham, A., Xu, X., Wijaya, C.S., Fa’Ak, F., Luo, W., Soibam, B., Azares, A., Yu, W., Lyu, Q., Stewart, M.D., Gunaratne, P., Cooney, A., McConnell, B.K., Schwartz, R.J., 2016. Mesp1 Marked Cardiac Progenitor Cells Repair Infarcted Mouse Hearts. Sci Rep 6, 1–14. [CrossRef]
- Liu, Y., Jia, H., Chang, X., Ding, G., Zhang, H., Zou, Z.-M., 2013. The metabolic disturbances of isoproterenol induced myocardial infarction in rats based on a tissue targeted metabonomics. Mol Biosyst 9, 2823. [CrossRef]
- Mak, C.S.L., Yung, M.M.H., Hui, L.M.N., Leung, L.L., Liang, R., Chen, K., Liu, S.S., Qin, Y., Leung, T.H.Y., Lee, K.-F., Chan, K.K.L., Ngan, H.Y.S., Chan, D.W., 2017. MicroRNA-141 enhances anoikis resistance in metastatic progression of ovarian cancer through targeting KLF12/Sp1/survivin axis. Mol Cancer 16, 11. [CrossRef]
- McConnell, B.B., Yang, V.W., 2010. Mammalian Krüppel-Like factors in health and diseases, Physiological Reviews. [CrossRef]
- Mechanic, O.J., Gavin, M., Grossman, S.A., Ziegler, K., 2022. Acute Myocardial Infarction (Nursing).
- NAGAI, R., SUZUKI, T., AIZAWA, K., SHINDO, T., MANABE, I., 2005. Significance of the transcription factor KLF5 in cardiovascular remodeling. Journal of Thrombosis and Haemostasis 3, 1569–1576. [CrossRef]
- NISHIKIMI, T., MAEDA, N., MATSUOKA, H., 2006. The role of natriuretic peptides in cardioprotection. Cardiovasc Res 69, 318–328. [CrossRef]
- Oishi, Y., Manabe, I., 2018. Krüppel-Like Factors in Metabolic Homeostasis and Cardiometabolic Disease. Front Cardiovasc Med 5, 1–14. [CrossRef]
- Pabona, J.M.P., Zeng, Z., Simmen, F.A., Simmen, R.C.M., 2010. Functional differentiation of uterine stromal cells involves cross-regulation between bone morphogenetic protein 2 and Krüppel-like factor (KLF) family members KLF9 and KLF13. Endocrinology 151, 3396–3406. [CrossRef]
- Pardali, E., Sanchez-Duffhues, G., Gomez-Puerto, M.C., Dijke, P., 2017. TGF- β -Induced Endothelial-Mesenchymal Transition in Fibrotic Diseases. Int J Mol Sci 18. [CrossRef]
- Prosdocimo, D.A., Sabeh, M.K., Jain, M.K., 2015. Kruppel-like factors in muscle health and disease. Trends Cardiovasc Med 25, 278–287.
- Santoyo-Suarez, M.G., Mares-Montemayor, J.D., Padilla-Rivas, G.R., Delgado-Gallegos, J.L., Quiroz-Reyes, A.G., Roacho-Perez, J.A., Benitez-Chao, D.F., Garza-Ocañas, L., Arevalo-Martinez, G., Garza-Treviño, E.N., Islas, J.F., 2023. The Involvement of Krüppel-like Factors in Cardiovascular Diseases. Life 13, 420. [CrossRef]
- Sarre-Álvarez, D., Cabrera-Jardines, R Rodríguez-Weber, F., 2018. Enfermedad cardiovascular aterosclerótica. Revisión de las escalas de riesgo y edad cardiovascular. Med Int Mex 6, 910–923.
- Shankman, L.S., Gomez, D., Cherepanova, O.A., Salmon, M., Alencar, G.F., Haskins, R.M., Swiatlowska, P., Newman, A.A.C., Greene, E.S., Straub, A.C., Isakson, B., Randolph, G.J., Owens, G.K., 2015. KLF4-dependent phenotypic modulation of smooth muscle cells has a key role in atherosclerotic plaque pathogenesis. Nat Med 21, 628–637. [CrossRef]
- Shindo, T., Manabe, I., Fukushima, Y., Tobe, K., Aizawa, K., Miyamoto, S., Kawai-Kowase, K., Moriyama, N., Imai, Y., Kawakami, H., Nishimatsu, H., Ishikawa, T., Suzuki, T., Morita, H., Maemura, K., Sata, M., Hirata, Y., Komukai, M., Kagechika, H., Kadowaki, T., Kurabayashi, M., Nagai, R., 2002. Krüppel-like zinc-finger transcription factor KLF5/BTEB2 is a target for angiotensin II signaling and an essential regulator of cardiovascular remodeling. Nat Med 8, 856–863. [CrossRef]
- Tetreault, M.-P.M.P., Yang, Y., Katz, JP.J.P., 2013. Krüppel-like factors in cancer. Nat Rev Cancer 13, 701–713. [CrossRef]
- Tsao, C.W., Aday, A.W., Almarzooq, Z.I., Anderson, C.A.M., Arora, P., Avery, C.L., Baker-Smith, C.M., Beaton, A.Z., Boehme, A.K., Buxton, A.E., Commodore-Mensah, Y., Elkind, M.S.V., Evenson, K.R., Eze-Nliam, C., Fugar, S., Generoso, G., Heard, D.G., Hiremath, S., Ho, J.E., Kalani, R., Kazi, D.S., Ko, D., Levine, D.A., Liu, J., Ma, J., Magnani, J.W., Michos, E.D., Mussolino, M.E., Navaneethan, S.D., Parikh, N.I., Poudel, R., Rezk-Hanna, M., Roth, G.A., Shah, N.S., St-Onge, M.-P., Thacker, E.L., Virani, S.S., Voeks, J.H., Wang, N.-Y., Wong, N.D., Wong, S.S., Yaffe, K., Martin, S.S., 2023. Heart Disease and Stroke Statistics—2023 Update: A Report From the American Heart Association. Circulation 147. [CrossRef]
- Varga, E., Pap, R., Jánosa, G., Sipos, K., Pandur, E., 2021. IL-6 Regulates Hepcidin Expression Via the BMP/SMAD Pathway by Altering BMP6, TMPRSS6 and TfR2 Expressions at Normal and Inflammatory Conditions in BV2 Microglia. Neurochem Res 46, 1224–1238. [CrossRef]
- Venugopal, H., Hanna, A., Humeres, C., Frangogiannis, N.G., 2022. Properties and Functions of Fibroblasts and Myofibroblasts in Myocardial Infarction. Cells 11, 1386. [CrossRef]
- Vinjamur, D.S., Wade, K.J., Mohamad, S.F., Haar, J.L., Sawyer, S.T., Lloyd, J.A., 2014. Krüppel-like transcription factors KLF1 and KLF2 have unique and coordinate roles in regulating embryonic erythroid precursor maturation. Haematologica 99, 1565–1573. [CrossRef]
- Wenying, L., Lu, H., Sun, J., Zhao, G., Wang, H., Guo, Y., Eitzman, D., Chen, E., Fan, Y., Zhang, J., 2021. KLF11 Protects against Venous Thrombosis via Suppressing Tissue Factor Expression. Thromb Haemost 122, 777–788. [CrossRef]
- WHO, 2020. The top 10 causes of death [WWW Document]. The top 10 causes of death. URL https://www.who.int/news-room/fact-sheets/detail/the-top-10-causes-of-death (accessed 8.2.23).
- Yang, H., Xi, X., Zhao, B., Su, Z., Wang, Z., 2018. KLF4 protects brain microvascular endothelial cells from ischemic stroke induced apoptosis by transcriptionally activating MALAT1. Biochem Biophys Res Commun 495, 2376–2382. [CrossRef]
- Zhang, Y., Lei, C.-Q., Hu, Y.-H., Xia, T., Li, M., Zhong, B., Shu, H.-B., 2014. Krüppel-like Factor 6 Is a Co-activator of NF-κB That Mediates p65-dependent Transcription of Selected Downstream Genes. Journal of Biological Chemistry 289, 12876–12885. [CrossRef]
- Zhang, Y., Wang, Y., Liu, Y., Wang, N., Qi, Y., Du, J., 2013. Krüppel-Like Factor 4 Transcriptionally Regulates TGF-β1 and Contributes to Cardiac Myofibroblast Differentiation. PLoS One 8, 0–9. [CrossRef]
- Zhang, Y., Zheng, Y., Wang, S., Fan, Y., Ye, Y., Jing, Y., Liu, Z., Yang, S., Xiong, M., Yang, K., Hu, J., Che, S., Chu, Q., Song, M., Liu, G.-H., Zhang, W., Ma, S., Qu, J., 2022. Single-nucleus transcriptomics reveals a gatekeeper role for FOXP1 in primate cardiac aging. Protein Cell. [CrossRef]
- Zheng, H., Pritchard, D.M., Yang, X., Bennett, E., Liu, G., Liu, C., Ai, W., 2009. KLF4 gene expression is inhibited by the notch signaling pathway that controls goblet cell differentiation in mouse gastrointestinal tract. AJP: Gastrointestinal and Liver Physiology 296, G490–G498. [CrossRef]
- Zhou, J., Herring, B.P., 2005. Mechanisms responsible for the promoter-specific effects of myocardin. J Biol Chem 280, 10861–9. [CrossRef]
- Zou, M.-L., Chen, Z.-H., Teng, Y.-Y., Liu, S.-Y., Jia, Y., Zhang, K.-W., Sun, Z.-L., Wu, J.-J., Yuan, Z.-D., Feng, Y., Li, X., Xu, R.-S., Yuan, F.-L., 2021. The Smad Dependent TGF-β and BMP Signaling Pathway in Bone Remodeling and Therapies. Front Mol Biosci 8. [CrossRef]





| Gene | Regulation over time | Max Expression Day | Relative Expression | Potential Effect |
| KLF-3 | Downregulated | 3 | 1.98x | Hypertrophy repressor |
| KLF-4 | Downregulated | 2 | 1.7x | Antiapoptotic |
| 3 | 2.8x | |||
| KLF-6 | Upregulated | 3 | 2.4 | Profibrotic |
| KLF-11 | Upregulated | 5 | 2.96x | Unknown |
| 6 | 3.05x | |||
| 13 | 3x | |||
| KLF-12 | Upregulated | 16 | 7.2x | Proapoptotic |
| 18 | 9.7x | |||
| KLF-13 | Upregulated | 18 | 53x | Proapoptotic / Anti-inflammatory |
| KLF-15 | Upregulated | 8 | 3x | Hypertrophy modulation |
Disclaimer/Publisher’s Note: The statements, opinions and data contained in all publications are solely those of the individual author(s) and contributor(s) and not of MDPI and/or the editor(s). MDPI and/or the editor(s) disclaim responsibility for any injury to people or property resulting from any ideas, methods, instructions or products referred to in the content. |
© 2023 by the authors. Licensee MDPI, Basel, Switzerland. This article is an open access article distributed under the terms and conditions of the Creative Commons Attribution (CC BY) license (http://creativecommons.org/licenses/by/4.0/).