Submitted:
29 August 2023
Posted:
30 August 2023
You are already at the latest version
Abstract
Keywords:
1. Introduction
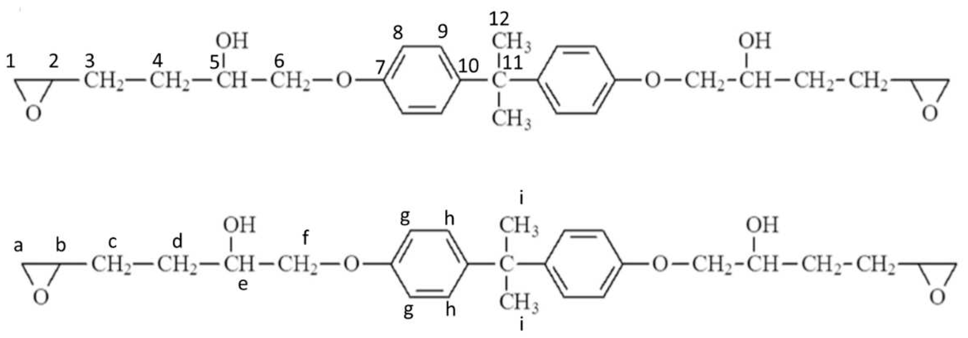
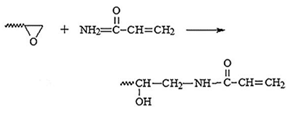
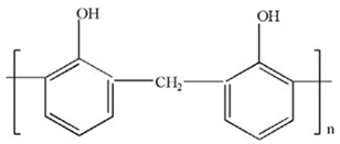
2. Role and Characterization of Sizing Agent Used for the Modification of Carbon Fibers:
2.1. Role of Sizing Agent in Enhancing the Interfacial Strength of CFRP’s:

2.2. Physical and Chemical Methods of Surface Modification of Carbon Fibers:
2.3. Surface Modification of Carbon Fibers with Nanoparticles:
2.4. Discussion and Summary:
Conclusion:
Acknowledgements
References
- He M, Qi P, Xu P, Cai Q, Li P, Jia X, Yang X (2019) Establishing a phthalocyanine based cross linking interphase enhances the interfacial performance of carbon fiber/epoxy composites at elevated temperatures. 2: Composites science and technology 173.
- Yao SS, Jin FL, Rhee KY, Hui D, Park SJ (2018) Recent advances in carbon fiber-reinforced thermoplastic composites: A review. 2: Composites Part B 142.
- Wang J, Zhen T, Liu W, Jiao W, Wang R (2019) Molecular dynamics simulations of the effect of sizing agent on the interface property in carbon fiber reinforced vinyl ester resin composite. 1: Applied Surface Science 479, 1192.
- Viswanathan B, Indra Neel P, Varadarajan TK (2009) Development of carbon materials for energy and environmental applications. 1: Catalysis Surveys from Asia 13.
- Liu P, Zhang S, Lu Ch, Yuan H (2016) Increased interfacial adhesion between carbon fiber and poly (vinylidene fluoride) by an aqueous sizing agent. 1: Surf Interface Annal 48, 1410.
- Inoue H (2019) Epoxy-amine adduct used in, e.g. sizing agent, comprises epoxy compound containing compound having alicyclic epoxy groups in each molecule, and amine compound containing having two or more amino groups in each molecule at both ends. 2018. [Google Scholar]
- Inoue H (2019) Water-dispersible-type resin composition used as processing agent and sizing agent for carbon fiber, comprises compound which is addition product of epoxy compound and amine compound, higher fatty acid ester, and surfactant. JP201905 6043–A.
- Xiao L, Xiao J (2019) Hybrid resin comprises e.g. monomers and intermediates, the monomer includes bisphenol A type epoxy E44, bisphenol A type epoxy E51, styrene, 2-Hydroxyethyl methacrylate, methacrylate, methacrylic acid, acrylonitrile and acrylamide. 1096.
- Hao R, Jiao X, Zhang X, Tian Y (2019) Fe3O4/graphene modified waterborne polyimide sizing agent for high modulus carbon fiber. 3: Applied Surface Science 485.
- Jiao W, Liu W, Yang F, Jiang L, Jiao W, Wang, R. (2017) Improving the interfacial property of carbon fiber/vinyl ester resin composite by grafting modification of sizing agent on carbon fiber surface. 1: J Mater Sci 52, 1381.
- Jiao W, Zheng T, Liu W, Jiao W, Wang R (2019) Molecular dynamics simulations of the effect of sizing agent on the interface property in carbon fiber reinforced vinyl ester resin composite. Applied Surface Science, 479:1192-1199.
- Li L, Yan C, Xu H, Liu D, Shi P, Zhu Y, Chen G, Wu X, Liu W (2019) Improving the interfacial properties of carbon fiber-epoxy resin composites with a graphene-modified sizing agent. 4: Applied polymer science 36, 4712.
- Schaefer A, Simat TJ (2004) Migration from can coatings: Part 3: Synthesis, identification and quantification of migrating epoxy-based substances below 1000 Da. Food additives and contaminants. 3: 21.
- Yu Z, Bai Y, Li Y, Wang X, Wang W, Liu J (2018) Fiber length distribution and thermal, mechanical and morphological properties of thermally conductive polycarbonate/chopped carbon fiber composites. 1: Polymer International 67, 1137.
- Peng X, Huang Y, Sun X, Han X, Fan R (2019) Effect of chromium coated carbon fiber on the thermal and mechanical properties of Cr@Gf/Cr@CF/Al composites. 7: Journal of materials science: Materials in electronics 30, 7226.
- Jeffries R (1971) Prospects for carbon fibers.
- Zhao X, Qi S, Liu J, Han X, Zhang F (2019) Preparation and mechanical performances of carbon fiber reinforced epoxy composites by Mxene nanosheets coating. 1: Journal of materials science: Materials in Electronics, 30, 1051.
- Zhang W, Deng X. Sui G, Yang X (2019) Improving interfacial and mechanical properties of carbon nanotube-sized carbon fiber/epoxy composites. 6: Carbon 145.
- Chand S (2000) Review: Carbon fibers for composites. 1: J Mat Sci 35, 1303.
- Shi LL, Ma L, Li P, Wang M, Guo S, Han P, Song G (2019) The effect of self-synthesized hydroxyl-terminated hyperbranched polymer interface layer on the properties of carbon fiber reinforced epoxy composites. Applied Surface Science. 3: 479.
- Fu J, Zhang M, Jin L, Liu L, Li N, Shang L, Li M, Xiao L, Ao Y (2019) Enhancing interfacial properties of carbon fibers reinforced epoxy composites via layer-by-layer self-assembly GO/SiO2 multilayer films on carbon fibers surface. 5: Applied Surface Science 470.
- Ge HY, Ma XL, Liu HS (2015) Preparation of emulsion-type thermotolerant sizing agent for carbon fiber and the interfacial properties of carbon fiber/epoxy resin composite. 4: J Appl Poly Sci 132, 4188.
- Ma XL, Ge HY, Liu HS (2016) Enhanced interfacial adhesion in carbon fiber/poly (acrylonitrile-butadiene-styrene) composite through fiber surface treatment by an emulsion sizing. 2: Polymer Composites 37, 2940.
- Yuan XM, Zhu B, Cai X, Liu JJ, Qiao K, Yu JW (2017) Optimization of interfacial properties of carbon fiber/epoxy composites via a modified polyacrylate emulsion sizing. 4: Appl Surf Sci 401.
- Yang Y, Lu CX, Su XL, Wu GP, Wang XK (2007) Effect of nano-SiO2 modified emulsion sizing on the interfacial adhesion of carbon fibers reinforced composites. 3: Mater Lett 61, 3601.
- Wang, Y. H. , Zhang, S. C., Liu, P. P. Jing, D. Q., Zhang, X. H., Preparation and characterization of polyimide-modified carbon fiber reinforced polyphenylene sulfide composites. New carbon materials, 34 (1), 2019, 68-74.
- Chen, Ch. , Zhou, J. P., Hong, Z, Huang, J. T., Qi, W. Z., Study of modified carbon fiber with carbon nanotubes sizing agent and its composites, China Plastics Industry, 47 (5), 2019, 121-124.
- Zhang, T. , Song, Y. X., Zhao, Y. Q., Effect of hybrid sizing with nano SiO2 on the interfacial adhesion of carbon fiber/nylon 6 composites. Colloids and surface Zhang, B. M., A-Physicochemical and Engineering Aspects, 553, 2018, 125-133.
- Wu, Z. J. , Cui, H. Y., Chen, L., Jiang, D. W., Weng, L., Ma, Y. Y., Li, X. J., Zhang, X. H., Liu, H., Wang, N., Zhang, J. X., Ma, Y., Zhang, M. Y., Huang, Y. D., Guo, Z. H., Interfacially reinforced unsaturated polyester carbon fiber composites with a vinyl ester-carbon nanotubes sizing agent. Composites Science and Technology, 164, 2018, 195-203.
- Jiao, W. W. , Cai, Y. M., Liu, W. B., Yang, F., Jiang, L., Jiao, W. C., Wang, R. G., Preparation of carbon fiber unsaturated sizing agent for enhancing interfacial strength of carbon fiber/vinyl ester resin composite. Applied Surface Science, 439, 2018, 88-95.
- Jiao, W. W. , Liu, W. B., Yang, F., Jiang, L., Jiao, W. C., Wang, R. G., Improving the interfacial property of carbon fiber/vinyl ester resin composite by grafting modification of sizing agent on carbon fiber surface. Journal of materials science, 52 (24), 2017, 13812-13828.
- Andideh, M. , Esfandeh, M., Effect of surface modification of electrochemically oxidized carbon fibers by grafting hydroxyl and amine functionalized hyper branched polyurethanes on inter laminar shear strength of epoxy composites. Carbon, 123, 2017, 233-242.
- He, H. W. , Li, K. X., Gao, F., Improvement of the bonding between carbon fibers and an epoxy matrix using a simple sizing process with a novolac resin. Construction and building materials, 116, 2016. 87-92.
- Cao, L. J. , Yang, Y., Lu, C. X., A sizing agent modified with carbon nanotubes used for the production of carbon fiber/bisphenol A epoxy composites. New Carbon Materials, 31 (2), 2016, 151-158.
- Yuan X, Zhu B, Cai X, Zhao S, Qiao K, Zhang M (2018) Effects of particle size and distribution of the sizing agent on carbon fiber/epoxy composites interfacial adhesion. Polymer composites E 2036–E2045.
- Zhang RL, Huang YD, Li N, Liu L, Su D (2012) Effect of the concentration of the sizing agent on the carbon fibers surface and interface properties of its composites. 4: Journal of Applied Polymer Science 125.
- Zhang RL, Liu Y, Huang YD, Liu L (2013) Effect of particle size and distribution of the sizing agent on the carbon fibers surface and interfacial shear strength (IFSS) of its composites. Applied Surface Science, 287:423-427.
- Vedrtnam, A. , Sharma, S. P., Study on the performance of different nano-species used for surface modification of carbon fiber for interface strengthening. Composites Part A-Applied Science and Manufacturing, 125, 2019, 1-11.
- Zhang, Y. , Zhao, Q., Li, L., Liu, Y., Gong, Y. J., He, M., Research progress of carbon fiber surface modification. Engineering plastics application, 47 (10), 2019, 135-139.
- Zhang, D. D. , Zhang, F., Yang, J. X., Li, X. F., Li, Y. X., Zeng, J., Research progress on surface modification of carbon fiber and its application in polyamide. Engineering plastics application, 47 (7), 2019, 141-146.
- Raphael, N. , Namratha, K., Chandrashekar, B. N., Sadasivuni, K. K., Ponnamma, D., Smitha, A. S., Krishnaveni, S., Cheng, C., Byrappa, K., Surface modification and grafting of carbon fibers: A route to better interface. Progress in crystal growth and characterization of materials, 64 (3), 2018, 75-101.
- Hung, P. Y. , Lan, K. T., Fox, B., Hameed, N., Lee, J. H, Hui, D.,, Surface modification of carbon fiber using graphene-related materials for multifunctional composites. Composites Part B-Engineering, 133, 2018, 240-257.
- Corujeira-Gallo, S. , Dong, H. S., Effect of microstructure on the plasma surface treatment of carbon fibers. Journal of composite materials, 51 (23), 2017, 3239-3256.
- Naito, K. , Effect of hybrid surface modifications on tensile properties of polyacrylonitrile- and pitch based carbon fibers. Journal of materials engineering and performance, 25 (5), 2016, 2074-2083.
- Liu, J. X. , Liu, H. L., Wu, G. S., Chemical grafting of salicylaldehyde onto carbon fiber for enhancing interfacial strength of silicone resin composites, Polymer composites, 41 (3), 2020, 911-919.
- Mao, L. , Pan, C. 14 Feb 2020, China, CN110794012–A. [Google Scholar]
- Ao, Y. , Zhang, M. 14 Feb 2020, China, CN110791963–A. [Google Scholar]
- Shi, X. H. , Chen, L., Zhao, Q., Long, J. W., Li, Y. M., Wang, Y. Z., Epoxy resin composites reinforced and fire-retarded by surficially-treated carbon fibers via a tunable and facile process. Composites Science and Technology, 187, 2020, 1-7.
- Zhao, D. , He, J. M., Zheng, N., Huang, Y. D., Improved atomic oxygen erosion resistance of the carbon fiber-epoxy interface with polyhedral oligomeric silsesquioxane. 2020. [Google Scholar] [CrossRef]
- Zheng, Y. , Chen, L., Wang, X. Y., Wu, G. S., Modification of renewable cardanol onto carbon fiber for the improved interfacial properties of advanced polymer composites. Polymers, 12 (1), 2020.
- Cai, F. , Modifying carbon fiber in carbon fiber polyamide 66 thermoplastic composite material by placing carbon fiber in organic solution for soaking, drying to form organic layer, subjecting to low-temperature treatment and oxidation treatment. 24 Dec 2019, CN110607693–A. [Google Scholar]
- Ashrafi, F. , Firouzzare, M., Ahmad, S. J., Sohrabi, M. R., Khosravi, M., Preparation and modification of force spin polypropylene nanofibers adsorption of uranium (VI) from simulated seawater. Ecotoxicology and environmental safety, 186, 2019, Article No. UNSP 109746, 1-9.
- Sun, X. L. , Song, J. Y., Zhang., Liu, J. Y., Ke, H. Z., Wei, Q. F., Cai, Y. B., Effects of chemical pretreatment on structure and property of polyacrylonitrile based pre-oxidized fibers. Journal of Engineered fibers and fabrics, 15, 2020, 1-8.
- Turan, K. , Kaur, P., Manhas, D., Sharma, J., Verma, G., Novel insights into the dispersed and acid-medidated surface modification of the carbon nanofibers. Materials Chemistry and Physics, 239, 2020, 1-9.
- Diblikova, L. , Masek, Z., Kral, M., The effect of carbon fiber plasma treatment on the wettability and interlaminar shear strength of geopolymer composite. Journal of the Australian ceramic society, 55 (4), 2019, 1139-1145.
- Chukov, D. , Nematulloev, S., Torokhov, V., Stepashkin, A., Sherif, G., Tcherdyntsev, V., Effect of carbon fiber surface modification on their interfacial interaction with polysulfone. Results in Physics, 15, 2019, 1-7.
- Cheng, Y. M. , Liu, P. F., Xiao, P., Li, Z., Jiang, T. H., Huang, Y. Q., Li, Y., Effect of surface chemical modification on the bioactivity of carbon fibers reinforced epoxy. Surface and coatings technology, 377, 2019, 1-10.
- Wang, F. , Wang, X. L., Jiang, Y. J., Niu, Z. W., Wu, W. S., Zhang, H. X., Study of adsorption performance and adsorption mechanism for U (VI) ion on modified polyacrylonitrile fibers. Journal of radio analytical and nuclear chemistry, 323, (1), 2020, 365-377.
- Liu, H. S. , Zhao, Y., Li, N., Zhao, X. R., Han, X., Li, S., Lu, W. K., Wang, K., Du, S. Y., Enhanced interfacial strength of carbon fiber/PEEK composites using a facile approach via PEI and ZiF-67 synergistic modification,, Journal of materials research and technology-JMR&T, 8 (6), 2019, 6289-6300.
- Liu, H. L. , Liu, J. X., Wu, G. S., Facile preparation of hyperbranched polysilaxone-grafted carbon fibers with improved interfacial strength of silicone resin composite. Polymer composites, 41 (11), 2019, 4257-4265.
- Ran, J. C. , Lai, X. J., Li, H. Q., Zeng, X. R., Remarkable enhancement of mechanical and tribological properties of polyamide 46/polyphenylene oxide alloy by polyurethane-coated carbon fiber. High performance polymers, 31, 2019, 1122-1131.
- Fang, C. , Hu, P., Dong, S., Song, J. T., Zhang, X. H., An efficient hydrothermal transformation approach for construction of controllable carbon coating on carbon fiber from renewable carbohydrate. Applied Surface Science, 491, 2019, 478-487.
- Zhan, W. , Cao, Y. Z., Yang, P, Chen, M. Z., Zhou, X. Y., Manufacturing and interfacial bonding behavior of plasma-treated carbon fiber reinforced veneer based composites. Composite structures, 226, 2019.
- Regner, S. , Drechsler, K., Sentpali, S., Modification of the fiber/matrix bonding by a plasma treatment to reduce the structure-borne sound transmission. Applied Acoustics, 153, 2019, 78-86.
- Li, W. W. , Liu, X. J., Feng, M., Yang, J., Bamboo-like ultra-high molecular weight polyethylene fibers and their epoxy composites. Composites science and technology, 182, 2019, 1-6.
- Feng, S. Z. , Luo, W. X., Wang, L. X., Zhang, S., Guo, N. N., Xu, M. J., Zhao, Z. B., Jia, D. Z., Wang, X. C., Jia, L. X., Preparation and property of extremely stable superhydrophobic carbon fibers with core-shell structure. Carbon, 150, 2019, 284-291.
- Zhou, J. T. , Liu, F. F., Dai, X. M., Jiao, L., Yao, H. B., Du, Z. J., Wang, H. F., Qiu, X. P., Surface modification optimization of high-performance polyimide fibers. Materials Research Express, 6(9), 2019, 1-12.
- Liu, A. , Fu, Y. B., Zai, J. Z., Duan, Z. W., Zai, X. R., Electrochemical and electric field response properties of highly sensitive electrodes based on carbon fiber with oxygen and nitrogen surface groups. IEEE Sensors Journal, 19 (11), 2019, 3966-3974.
- Jiang, Z. D. , Effects of plasma treatment of carbon fibers on interfacial properties of BMI resin composites. Surface and interface analysis, 51 (4), 2019, 458-464.
- Pan, Y. S. , Mao, J. H., Ding, J., Effect of carbon fiber surface modification on the mechanical properties of carbon fiber-reinforced ultrahigh-molecular weight polyethylene composite. Journal of materials engineering and performance, 28 (4), 2019, 1995-2005.
- Raju, D. , Mendoza, A., Wonnenberg, P., Mohanaraj, S., Sarbanes, M., Truong, C., Zestos, A. G., Polymer modified carbon fiber microelectrodes and wave form modifications enhance neutrotransmitter metabolite detection. Analytical methods, 11 (12), 2019, 1620-1630.
- Gao, B. , Du, W. T., Hao, Z. N., Zhou, H. F., Zou, D. C., Zhang, R. L., Bioinspired modification via green synthesis of Mussel-inspired nanoparticles on carbon fiber surface for advanced composite materials. ACS sustainable Chemistry and Engineering, 7 (6), 2019, 5638-5648.
- Fu, J. S. , Zhang, M. J., Jin, L., Liu, L., Li, N., Shang, L., Li, M., Xiao, L. H., Ao, Y. H., Enhancing interfacial properties of carbon fibers reinforced epoxy composites via layer-by-layer selfassembly GO/SiO2 multipayer films on carbon fibers surface. Applied Surface Science, 470, 2019, 543-554.
- Ma, L. C. , Wang, G., Li, X. R., Yang, C., Zheng, H., Yu, C. Y., Li, Q. J., Xin, J. P., Lv, B. K., Shen, Y. H., Song, G. J., Grafting hyper branched polymer with terminal hydroxyl groups onto carbon fiber surface in two-step polycondensation for improving the interfacial properties of carbon fiber/epoxy resin composite. Polymer composites, 40, 2019, E1378-E1387.
- Wang, K. ,, Li, M., Liang, Y. Q., Wang, J., He, L., Du, S. Y., Huang, Z. R., Huang, Q., Interface modification of carbon fibers with TiC/Ti2AlC coating and its effect on the tensile strength. Ceramics international, 45 (4), 2019, 4661-4666.
- Hassan, E. A. M. , Elagib, T. H. H., Memon, H., Yu, M. H., Zhu, S., Surface modification of carbon fibers by grafting PEEK-NH2 for improving interfacial adhesion with polyether ether ketone. Material, 12 (5), 2019, 1-11.
- Kruppke, I. , Scheffler, C., Simon, F., Hund, R. D., Cherif, C., Surface treatment of carbon fibers by oxy-fluorination, Materials, 12 (4), 2019, 1-18.
- Szabo, L. , Imanishi, S., Tetsuo, F., Hirose, D., Ueda, H., Tsukegi, T., Ninomiya, K., Takahashi, K., Lignin as a funcational green coating on carbon fiber surface to improve interfacial adhesion in carbon fiber reinforced polymers. Materials, 12 (1), 2019, 1-15.
- Randall, J. D. , Eyckens, D. J., Stojeevski, F., Francis, P. S., Doeven, E. H., Barlow, A. J., Barrow, A. S., Arnol, C. L., Moses, J. E., Henderson, L. C.,, Modification of carbon fiber surface by sulfur-fluoride exchange click chemistry. ChemPhysChem, 19 (23), 2018, 3176-3181.
- Ma, L. C. , Wu, G. S., Zhu, Y. Y., Li, X. R., Han, P., Wang, G., Song, G. J., An effective non-covalent grafting approach to functionalized carbon fiber with polyethylene imine in supercritical fluid to enhance the interfacial strength of carbon fiber/epoxy composites. Polymer Composites, 39, 2018, E2381-E2389.
- Ma, L. C. , Wu, G. S., Zhao, M., Li, X. R., Han, P., Song, G. J., Modification of carbon fiber surfaces with polyether amines: The role of interphase microstructure on adhesion properties of CF/epoxy composites. Polymer composites, 39, 2018, E2346-E2355.
- Song, B. , Wang, T. T., Sun, H. G.,, Liu, H., Mai, X. M., Wang, X. J., Wang, L., Wang, N., Huang, Y. D., Guo, Z. H., Graphitic carbon nitride (g-C3N4) inter facially strengthened carbon fiber epoxy composites. Composites Science and Technology, 167, 2018, 515-521.
- Zhu, P. , Ruan, F. T., Bao, L. M., Preparation of polyetherimide nanoparticles on carbon fiber surface via evaporation induced surface modification method and I ts effect on tensile strength and interfacial shear strength. Applied Surface Science, 454, 2018, 54-60.
- Moosburger-Will, J. , Lachner, E., Loffler, M., Kunzmann, C., Greisel, M., Ruhland, K., Horn, S., Adhesion of carbon fibers to a amine hardened epoxy resin: Influence of ammonia plasma functionalization of carbon fibers. Applied Surface Science, 453, 2018, 141-152.
- Deng, H. M. , Xu, J. Y., Li, X. Y., Ye, Y. L., Chen, H. Q., The synergistic action between anhydride grafted carbon fiber and intumescent flame retardant enhances flame retardency and mechanical properties of polypropylene composites. Science and technology of advanced materials, 19 (1), 2018, 718-731.
- Yuan, J. M. , Fan, Z. F., Yang, Q. C., Li, W., Wu, Z. J., Surface modification of carbon fibers by microwave etching for epoxy resin composite. Composites Science and Technology, 164, 2018, 222-228.
- Peng, C. Z. , Improving the interfacial property of carbon fiber/PI resin composite by grafting modification of carbon fiber surface. Surface and interface analysis, 50 (6), 2018, 628-633.
- Zang, C. X. , Wu, G. S., Jaing, H., Tuning interfacial strength of silicone resin composites by varying the grafting density of octamaleamic acid-POSS modified onto carbon fiber. Composites Part A-Applied Science and manufacturing, 109, 2018, 555-563.
- Fei, J. , Duan, X., Luo, L., Zhang, C., Qi, Y., Li, H., Feng, Y. Q., Huang, J. F., Grafting methyl acrylic onto carbon fiber via Diels-Alder reaction for excellent mechanical and tribological properties of phenolic composites. Applied Surface Science, 433, 2018, 349-357.
- Boehm, A. V. , Meininger, S., Tesch, A., Gbureck, U., Muller, F. A., The mechanical properties of biocompatible apatite bone cement reinforced with chemically activated carbon fibers. Materials, 11 (2), 2018, 1-12.
- Wang, L. , Gao, S. B., Wang, J. J., Wang, W. C., Zhang, L. Q., Tian, M., Surface modification of UHMWPE fibers by treatment and UV grafting for adhesion improvement. Journal of Adhesion, 94 (1), 2018, 30-45.
- Fang, Y. , Liu, Y., Liu, X. L., Xu,, S., Yang, B., Effect of carbon fiber surface dopamine modification on the properties of PVDF/CF composites. Journal of Functional polymer, 31 (4), 2018, 366-373.
- Xi, X. F. , Chen, Y. S., Wang, J., Li, Y. Y., Shao, X. D., He, L., Huang, Q., Pie, X. L., A multiscale hydrothermal carbon layer modified carbon fiber for composite fabrication. RSC Advances, 8 (41), 2018, 23339-23347.
- Giebel, E. , Herrmann, T., Simon, F., Fery, A., Buchmeiser, M. R., Surface modification of carbon fibers by free radical graft-polymerization of 2-hydroxyethyl methacrylate for high polymerization of 2-hydroxymethyl methacrylate for high mechanical strength fiber-matrix composites. Macromolecular materials as engineering, 302 (12), 2017, 1-5.
- Liu, Y. , Fang, Y. C., Liu, X. L., Wang, X. L., Yang, B., Mussel-inspired modification of carbon fiber via polyethylene imine/poly dopamine co-deposition for the improved interfacial adhesion. Composites Science and Technology, 151, 2017, 164-173.
- Motozuka, S. , Tagaya, M., Hayashi, K., Kameyama, T., Oguri, H., Xu, Z., Mechanochemical surface modification on carbon fibers using a simple rubbing method. Journal of composite materials, 51 (25), 2017, 3577-3584.
- Gao, B. , Zhang, J., Hao, Z. N., Huo, L. J., Zhang, R. L., Shao, L., In-situ modification of carbon fibers with hyperbranched polyglycerol via anionc ring-opening polymerization for use in high-performance composites. Carbon 123, 2017, 548-557.
- Szczurek, A. , Barcikowski, M., Leluk, K., Babiarczuk, B., Kaleta, j., Krzak, J., Improvement of interaction in a composite structure by using a sol-gel functional coating on carbon fibers. Materials, 10 (9), 2017.
- Wang, C. F. , Chen, L., Li, J., Sun, S. F., Ma, L. C., Wu, G. S., Zhao, F., Jiang, B., Huang, Y. D., Enhancing the interfacial strength of carbon fiber reinforced epoxy composites by green grafting of poly(oxopropylene) diamines. Composites Part A – Applied Science and manufacturing, 99, 2017, 58-64.
- Chang, Q. X. , Zhao, H. J., He, R. Q., Improvement of interfacial adhesion in PP/PS blends enhanced with supersonic atmosphere plasma spraying-treated carbon fiber. Surface and interface analysis, 49 (8), 2017, 750-754.
- Sun, J. F. , Zhao, F., Yao, Y., Jin, Z., Liu, X., Huang, Y. D., High efficient and continuous surface modification of carbon fibers with improved tensile strength and interfacial adhesion. Applied surface science, 412, 2017, 424-435.
- Lee, E. S. , Lee, C. H., Chun, Y. S., Han, C. J., Lim, D. S., Effect of hydrogen plasma-mediated surface modification of carbon fibers on the mechanical properties of carbon-fiber reinforced polyetherimide composites. Composites Part B-Engineering, 116, 2017, 451-458.
- Friedrich, J. , Altmann, K., Wettmarshausen, S., Hidde, G.,, Coating of carbon fibers with adhesion-promoting thin polymer layers using plasma polymerization or electrospray ionization technique – A comparison. Plasma processes and polymers, 14 (3), 2017, 1-14.
- Wu, J. , Chen, H., Wu, Q., Liu,, H. B., Luo, Z. J., Surface modification of carbon fibers and the selective laser sintering of modified carbon fiber/nylon 12 composite powder. Materials and Design, 116, 2017, 253-260.
- Yang, X. W. , Jiang, X., Huang, Y. D., Guo, Z. H., Shao, L., Building nanoporous metal organic frameworks “armor” on fibers for high-performance composite materials. ACS Applied Materials and Interfaces, 9 (6), 2017, 5590-5599.
- Zhao, M. , Meng, L. H., Ma, L. C., Wu, G. S., Xie, F., Ma, L., Wang, W., Jiang, B., Huang, Y. D., Stepwise growth of melamine-based dendrimers onto carbon fibers and the effects on interfacial properties of epoxy composites. Composites science and technology, 138, 2017, 144-150.
- Liu, R. L. , Wang, Y., Ge, X. L., Yu, P., Liu, H. Q., Wang, M. C., Lu, W.,, Fu,, Q., Polydopamine/polyethyleneimine complex adhered to micrometer sized magnetic carbon fibers for high-efficiency hemoperfusion. Journal of biomaterials science, polymer edition, 28 (14), 2017, 1444-1468.
- Lan, D. S. , Xiong, L., Wanyan, H. T., Yuan, Y. M., Fan, Q., Zeng, X. K., Chen, Y. L., Cao, X. Y., Poly (glycidylmethacrylate) grafted to carbon fiber surface by RAFT polymerization for enhancing interface adhesion and mechanical properties of carbon fiber/epoxy composites. Polymers and polymer composites, 25 (1), 2017, 113-118.
- Moseenkov, S. I. , Krasnikov, D. V., Kazakova, M. A., Kuznetsov, V. L., Serkova, A. N., Modification of the surface of carbon fibers with multi-walled carbon nanotubes and its effect on mechanical characteristics of composites with epoxy resin. Russian Journal of Applied Chemistry, 89 (12), 2016, 1969-1977.
- Gao, B. , Zhang, R. L., Wang, C. G., Enhanced mechanical properties of carbon fiber composites by grafting different structural poly(amidoamine) onto fiber surface. Polymer testing, 56, 2016,192-199.
- Gao, B. , Zhang, R. L., He, M. S., Wang, C. G., Liu, L., Zhao, L. F., Wen, Z. J., Ding, Z. P., Interfacial microstructure and mechanical properties of carbon fiber composites by fiber surface modification with poly(amidoamine)/polyhedral oligomeric silsesquioxiane. Composites Part A-Applied Science and manufacturing, 90, 2016, 653-661.
- Shi, Y. N. , Li, M., Wang, N., Xing, M., Wu, X. L., Para-amino benzoic acid doped micro-grooved carbon fibers to improve strength and biocompatibility of PLA-PEG. Science China-Materials, 59 (11), 2016, 911-920.
- Yi, T. W. , Lee, W., Seong, D. G., Won, H. J., Kim, S. W., Um, M. K., Byun, J. H., Effect of phenoxy-based coating resin for reinforcing pitch carbon fibers on the interlaminar shear strength of PA6 composites. Composites Part A-Applied science and manufacturing, 87, 2016, 212-219.
- Wang, L. , Huang, R. H., Zhou, B. Q., Zhang, Y., Dong, Y. W., Carbon fibers modified with silicone peroxide containing vinyl groups for silicone rubber reinforcement. Materials Letters, 176, 2016, 38-41.
- Chen, H. F. , Wang, K. Y., Zhang, Y. J., Tang, P. S., Xu, M. H., Cao, F., Effect of acidification-oxidation on life of ribbon consisted of carbon fibers. Rare metal material and engineering, 45, 2016, 47-50.
- Rahmani, H. , Ashori, A., Varnaseri, N., Surface modification of carbon fiber for improving the interfacial adhesion between carbon fiber and polymer matrix. Polymers for advanced technologies, 27 (6), 2016, 805-811.
- Hu, H. B. , Zhang, X. Q., Liu, D., Yan, C., Chen, X., Hui, D., Zhu, Y. D., Cyclomatrix-type polyphosphazene coating: Improving interfacial property of carbon fiber/epoxy composites and preserving fiber tensile strength. Composites Part B-Engineering, 93, 2016, 244-251.
- Xu, D. X. , Liu, B. Y., Zhang, G., Long, S. R., Wang, X. J., Yang, J., Effect of air plasma treatment on interfacial shear strength of carbon fiber-reinforced polyphenylene sulfide. High performance polymers, 28 (4), 2016, 411-424.
- Wu, G. S. , Ma, L. C., Wang, Y. W, Lin, L., Huang, Y. D., Interfacial properties and impact toughness of methyl phenyl silicone resin composites by chemically grafting POSS and tetraethylene pentamine onto carbon fibers. Composites Part A-Applied Science and Manufacturing. 84, 2011, 1-8.
- Wang, L. , Liu, N., Guo, Z., Wu, D. P., Chen, W. W., Chang, Z., Yuan, Q. P., Hui, M.,, Wang, J. S., Nitric acid treated carbon fibers with enhanced hydrophilicity for Candida tropicalis immobilization in xylitol fermentation. Materials, 9 (31), 2016.
- Mordkovich, V. Z. , Karaeva, A. R., Urvanov, S. A., Kazennov, N. V., Zhukova, E. A., Novel flexible composites reinforced with CNT-grafted carbon fibers. MRS Advances, 1 (20), 2016, 1453-1458.
- Feng, M. J. , Wang, S. B., Yu, Y. L., Feng, Q. H., Yang, J. P., Zhang, B. M., The H3PO4/H2SO4/HNO3 chemical functionalization optimized performances of functionalized carbon fibers via preventing fibers from over-oxidation. Journal of the electrochemical Society, 163 (10), 2016.
- Borooj, M. B. , Shoushtari, A. M., Sabet, E. N., Haji, A., Influence of oxygen plasma treatment parameters on the properties of carbon fiber. Journal of adhesion Science and Technology, 30 (21), 2016, 2372-2382.
- Beggs, K. M. , Perus, M. D., Servinis, L., O’Dell, L. A., Fox, B. L., Gengenbach, T. R., Henderson, L. C., Rapid surface functionalization of carbon fibers using microwave irradiation in anionic liquid. RSC Advances, 6 (39), 2016, 32480-32488.
- Zhang, X. P. , Liu, L., Li, M., Chang, Y. J., Shang, L., Dong, J. L., Xiao, L. H., Ao, Y. H., Improving the interfacial properties of carbon fibers/vinyl ester composites by vinyl functionalization on the carbon fiber surface. RSC Advances, 6 (35), 2016, 29428-29236.
- Zai, X. R. , Liu, A., Tian, Y. H., Chai, F. G., Fu, Y. B., Oxidation modification of polyacrylonitrile based carbon fiber and its electro-chemical performance as marine electrode for electric field test. Journal of Ocean University of China, 19 (2), 2020, 361-368.
- Fu, Y. P. , Li, H. X., Cao, W. Y., Enhancing the interfacial properties of high modulus carbon fiber reinforced polymer matrix composites via electrochemical surface oxidation and grafting, Composites Part A-Applied Science and Manufacturing, 130, 2020, 1-11.
- Casimero, C. , Hegarty, C., Mc Glynn, R. J., Davis, J., Ultrasonic exfoliation of carbon fiber: electroanalytical perspectives. Journal of Applied Electrochemistry, 50, 2020, 383-394.
- Liang, Y. , Li, X., Semitekolos, D., Charitidis, C. A., Dong, H., Enhanced properties of PAN-derived carbon fibers and resulting composites by active screen plasma surface functionalization. Plasma Process Polym. 2020, 1-11.
- Sun, Y. , Yang, C., Lu, Y., Weak layer exfoliation and an attempt for modification in anodic oxidation of PAN-based carbon fiber. J Mater Sci., 55, 2020, 2372-2379.
- Sun, T. , Li, M. X., Zhou, S. T., Liang, M., Chen, Y., Zou, H. W., Multi-scale structure construction of carbon fiber surface by electrophoretic deposition and elctropolymerisation to enhance the interfacial strength of epoxy resin composites. Applied Surface Science, 499, 2020, Article no. 143929, 1-12.
- Cao, Y. H. , Farha, F. I., Ge, D. S., Liu, X. H., Liu, W., Li, G., Zhang, T., Xu, F. J., Highly effective E-heating performance of nickel coated carbon fiber and its composites for de-icing application. Composites, 229, 2019, 1-7.
- Eyckens, D. J. , Arnold, C. L., Randall, J. D., Stojcevski, F., Hendlmeier, A., Stanfield, M. K., Pinson, J., Gengenbach, T. R., Alexander, R., Soulsby, L. C., Francis, P. S., Henderson, L. C., Fiber with butterfly wings: Creating colored carbon fibers increased strength, adhesion, and reversible malleability. ACS Applied Materials and Interfaces, 11 (44), 2019, 41617-41625.
- Li, H. Y. , Liebscher, M., Ranjbarian, M., Hempel, S., Tzounis, L., Schrofl, C., Mechtcherine, V., Electrochemical modification of carbon fiber yarns in cementitious pore solution for an enhanced interaction towards concrete matrices. Applied Surface Science, 487, 2019, 52-58.
- Wen, Z. P. , Xu, C., Qian, X., Zhang, Y. G., Wang, X. F., Song, S. L., Dai, M. Z., Zhang, C., A two step carbon fiber surface treatment and its effect on the interfacial properties of CFIEP composites: The electro chemical oxidation followed by grafting of silane coupling agent. Applied surface science, 486, 2019, 546-554.
- Fu, Y. P. , Lu, Y. K., You,, T., Wu, J. L., Cao, W. Y., Study on multistage anodization for high-modulus carbon fiber. Surface and interface analysis, 51 (8), 2019, 798-808.
- Arnold, C. L. , Eyckens, D. J., Servinis, L., Nave, M. D.,, Yin, H. Y., Marceau, R. K. W., Pinson, J., Demir, B., Walsh, T. R., Henserson, L. C., Simultaneously increasing the hydrophobicity and interfacial adhesion of carbon fibers: a simple pathway to install passive functionality into composites. Journal of Material Chemistry A, 7 (22), 2019, 13483-13494.
- Schenck, T. K. , Bruck, B., Schulz, M., Sporl, J. M., Hermanutz, F., Cl auss, B., Mueller, W. M., Heidenreich, B., Koch, D., Horn, S., Buchmeiser, M. R., Carbon fiber surface modification for tailored fiber-matrix adhesion in the manufacture of C/C-SiC composites. Composites Part A – Applied Science and manufacturing, 120, 2019, 64-72.
- Zhang, S. B. , Dai, Q. L., The surface modification of carbon fiber for thermoplastic HDPE composites surface and interface analysis. 51 92), 2019, 184-189.
- Bu, A. M. , Zhang, Y. F., Zhang, Y. P., Chen, W. W., Cheng, H. W., Wang, L., Wang, Y. X., A novel electrolytic plasma spraying preparation of SiO2/SiC coating on carbon fiber fabric. Coatings, 8, 2018, 1-8.
- Barlow, S. T. , Lonie, M., Hao, R., Defnet, P. A., Zhang, B., Electrodeposited gold on carbon-fiber microelectrodes for enhancing amperometric detection of dopamine release from pheochromocytoma cells. Analytical Chemistry, 90 (16), 2018, 10049-10055.
- Arnold, C. L. , Beggs, K. M., Eyckens, D. J., Stojcevski, F., Servinis, L., Henderson, L. C., Enhancing interfacial shear strength via surface grafting of carbon fibers using the Kolbe decarboxylation reaction. Composites Science and technology, 159, 2018, 135-141.
- Mikolajcsyk, T. , Pierozynski, B., Influence of surface oxidation of nickel-coated carbon fiber on oxygen evolution reaction in alkaline solution. International Journal of electrochemical science, 12 (12), 2017, 11455-11464.
- Servinis, L. , Beggs, K. M., Scheffler, C., Wolfel, E., Randall, J. D., Gengenbach, T. R., Demir, B., Walsh, T. R., Doeven, E. H., Francis, P. S., Hederson, L. C., Carbon, 118, 2017, 393-403.
- Zhang, A. L. , Zhang, Y. H., Wang, S., Li, S. X., Guo, T. T., Electrochemical copolymerization of acrylic acid and acrylamide on the carbon fiber surface. High performance polymers, 29 (41), 2017, 386-395.
- Gallo, S. C. , Charitidis, C., Dong, H. S., Surface functionalization of carbon fibers with active screen plasma. Journal of vacuum science and technology, 35 (7), 2017, 1-11.
- Zhang, Y. Y. , Zhang, Y. Z., Liu, Y.,, Wang, X. L., Yang, B., A novel surface modification of carbon fiber for high-performance thermoplastic polyurethane composites. Applied Surface Science, 382, 2016, 144-154.
- Zhang, A. L. , Guo, T. T., Wang, S., Electro polymerization modification on surface of carbon fiber with acrylic acid. Journal of Shenyang University of Technology, 38 (5), 2016, 491-496.
- Yamamoto, T. , Uematsu, K., Irisawa, T., Tanabe, Y., Controlling of the interfacial shear strength between thermoplastic resin and carbon fiber by adsorbing polymer particles as carbon fiber using electrophoresis. Composites part A – Applied surface and manufacturing. 88, 2016, 75-78.
- Kim, D. K. , An, K. H.,, Bang, Y. H., Kwac, L. K., Oh, S. Y., Kim, B. J., Effects of electrochemical oxidation of carbon fibers on interfacial shear strength using a micro-bond method. Carbon letters, 19 (1), 2016, 32-39.
- Wu, B. , Zheng, G., Sun, Y., Cui, Y., Bu, B. Y., Surface properties of PAN-based carbon fibers modified by electrochemical oxidation in organic electrolyte systems. Journal of Materials Engineering, 44 (9), 2016, 52-57.
- Ke, F. Y. , Tang, J., Guang, S. Y., Xu, H. Y., Controlling the morphology and property of carbon fiber/polyaniline composites for supercapacitor electrode materials by surface functionalization. RSC Advances, 6 (18), 2016, 14712-14719.
- Beggs, K. M. , Randall, J. D., Servinis, L., Krajewsi, A., Denning, R., Henderson, L. C., Increasing the reactivity and IFSS of unsized carbon fiber by covalent surface modification. Reactive and functional polymers, 129, 2008, 123-128.
- Yamashita, A. , Sasaki, T., Tanaka, S., Electrochemical synthesis and immobilization of a bead work-like prussion blue on carbon fiber and the removal of cesium. Journal of Environmental Chemical Engineering, 5 (3), 2017, 2913-2920.
- Kakhki, R. M. , A review to recent developments in identification of carbon fiber electrodes. Arabian Journal of Chemistry 12 (7), 2019, 1783-1794.
- Zhang, M. Ding, L., Zheng, J., Liu, L. B., Alsulami, H., Kutbi, M. A., Xu, J. L., Surface modification of carbon fibers with hydrophilic Fe3O4 nanoparticles for nickel based multifunctional composites. Applied Surface Science, 509, 2020, 1-11.
- Zhu, P. , Shi, J., Bao, L. M., Effect of polyetherimide nanoparticle coating on the interfacial sheer strength between carbon fiber and thermoplastic resins. Applied Surface Science, 509, 2020, 1-8.
- Wu, G. , Liu, Y. 10 Jan 2020, China, CN110670352–A. [Google Scholar]
- Yandrapu, S. , Gagineni, P. K., Ramamoorthy, S. K., Ray, B. C., Prusty, R. K., Effects of electrophoretic deposition process parameters on the mechanical properties of graphene carboxyl-grafted carbon fiber reinforced polymer composite. Journal of Applied Polymer Science, 2020, article no. 48925, 1-11.
- Kareem, A. A. , Rasheed, H. K., Electrical and thermal characteristics of MWCNT’s modified carbon fiber epoxy composite films. Materials Sciene-Poland, 37 (4), 2019, 622-627.
- Zhou, L. , Fu, Y. W., Yin, T., Tian, X. F., Qi, L. H., Building the silicon carbide nanowire network on the surface of carbon fibers: Enhanced interfacial adhesion and high performance wear resistance. Ceramics International, 45 (17), 2019, 22571-22577.
- Zheng, Y. W. , Wang, X. Y., Wu, G. S., Chemical modification of carbon fiber with diethylene triamine penta acetic acid/holloysite nanotube as a multifunctional interfacial reinforcement for silicon resin composites. Polymers for advanced technologies, 31 (31), 2020, 527-535.
- Nandi, A. , Das, S., Halder, S., Chakraborty, A., Imam, M. A,, Ultrasonically assisted electrophoretic deposition of oxidized graphite nanoparticle onto carbon fiber, amending interfacial property of CFRP, Journal of composite materials, 2019.
- Zheng, Y. W. , Wang, X. Y., Wu, G. S., Facile strategy of improving interfacial strength of silicone resin composites through self-polymerized poly dopamine followed via the sol-gel growing of silica nanoparticles onto carbon fiber. Polymers 11 (10), 2019, 1-11.
- Zhao, W. , Yi, X., Wei, D., Surface modification method of carbon fiber involves embedding carbon fiber in mixed powder containing nanotitania powder and phenolic resin, carbonizing, washing, vacuum-drying, immersing in mixture containing of lithium fluoride. CN110219168-A, 10 Sep 2019.
- Kusiak-Nejman, E. , Czyzewski, A., Wanag, A., Dubicki, M., Sadlowski, M., Wrobel, R. J., Morawski, A. W., Photocatalytic oxidation of nitric oxide over AgNPs/TiO2 loaded carbon fiber cloths. Journal of environmental management. 262, 2020, 1-10.
- Fakhrhoseini, S. M. , Li, Q. X., Unnikrishnan, V., Naebe, M., Nano-magnetite decorated carbon fiber for enhanced interface shear strength, Carbon, 148, 2019, 361-369.
- Gangineni, P. K. , Yandrapu, S., Ghosh, S. K., Anand, A., Prusty, R. K., Ray, B. C., Mechanical behavior of graphene decorated carbon fiber reinforced polymer composites: An assessment of the influence of functional groups. Composites Part A-Applied Science and manufacturing, 122, 2019, 36-44.
- Huang, H. , Xu, N., Sun, G. R., Yang, X., Hu, J., Improvement of oxidation resistances of carbon fibers by coating SiC. Materials Research Express, 6 (6), 2019, 1-7.
- Cui, X. , Ma, L. , Wu, G. S., Mussel-inspired co-deposition of polydopamine/silica nanoparticles onto carbon fiber for improved interfacial strength and hydrothermal aging resistance of composites. Polymers, 2020, 12, 1–7. [Google Scholar]
- Yang, X. , Tu, Q. Z., Shen, X. M., Pan, M., Jiang, C. M., Zhu, P. X., Li, Y., Li, P., Hu, C. B., Surface modification of poly (p-phenylene terephalamide) fibers by polydopamine-polyethylene imine (graphene oxide) multilayer films to enhance interfacial adhesion with rubber matrix. Polymer testing, 78, 2019, 1-10.
- Puthongkham, P. , Venton, B. J., Nanodiamond coating improves the sensitivity and antifouling properties of carbon fiber microelectrodes. ACS Sensors, 4 (9), 2019, 2403-2411.
- Zhang, C. X. , Zhang, X. D., Wu, G. S., Enhancing interfacial strength and hydrothermal aging resistance of silicone resin composites by different modification of carbon fibers with silica nanoparticles. Polymer composites, 40, 2019, E975-E982.
- Levin, D. D. , Romashkin, A. V., Polikarpov Yu, A., Struchkov, N. S., Kireynov, A. V., Komarov, I. A., Increase of composite structures strength by carbon fiber surface modification with spray deposited carbon nanotubes. IOP conference series: Materials science and engineering, 683, 2019, 1-5.
- Zhang, X. D. , Wu, G. S., Grafting halloysite nanotubes with amino carboxyl groups onto carbon fiber surface for excellent interfacial properties of silicon resin composites. Polymer, 10 (10), 2018.
- Ma, Y. Y. , Yan, C., Xu, H. B., Liu, D., Shi, P. C., Zhu, Y. D., Liu, J. L., Enhanced interfacial properties of carbon fiber reinforced polyamide 6 composites by grafting graphene oxide onto fiber surface. Applied Surface Science, 452, 2018, 286-298.
- Zhao, N. , Ma, Z. K., Song, H. H., Wang, D. L., Xie, Y. G., Polyaniline/reduced graphene oxide-modified carbon fiber brush anode for high-performance microbial fuel cells. Interfacial Journal of Hydrogen Energy, 43 (37), 2018, 17867-17872.
- Xu, S. Q. , Jiang, Q., Surface modification of carbon fiber support by ferrous oxalate for biofilm wastewater treatment system. Journal of cleaner production, 194, 2018, 416-424.
- Liu, X. G. , Cui, X. J., Zhang, C. X., Zhang, X. D., Wu, G. S., Effects of different silanization followed via the sol-gel growing of silica nanoparticles onto carbon fiber on interfacial strength of silicone resin composites. Chemical physics letters, 707, 2018, 1-7.
- Cui, H. Z. , Jin, Z. Y., Zheng, D. P., Tang, W. C., Li, Y. B., Yan, Y. C., Lo, T. Y., Xing, F., Effect of carbon fibers grafted with carbon nanotubes on mechanical properties of cement-based composites. Construction and building materials, 181, 2018, 713-720.
- Qiu, J. W. , Li, J. S., Yuan, Z. S.,, Zeng, H. X., Chen, X. G., Surface modification of carbon fibers for interface improvement in textile composites. Applied composite materials, 25 (4), 2018, 853-860.
- Yadav, A. K. , Benerjee, S., Kumar, R., Kar, K. K., Ramkumar, J., Dasgupta, K., Mechanical analysis of nickel particle-coated carbon fiber – reinforced epoxy composites for advanced structural applications. ACS applied nano materials, 1 (8), 2018, 4332-4339.
- Luo, Z. J. , Chen, H., Wu, J., Xia, X. H., Liu, H. B., Yang, L., Surface modification of short carbon fibers with carbon nanotubes to reinforce epoxy matrix composites. Journal of nanoscience and nanotechnology, 18 (7), 2018, 4940-4952.
- Chen, B. B. , Li, X. F., Li, X., Jia, Y. H., Yang, J., Li, C. S., Hierarchial carbon fiber-SiO2 hybrid/polyimide composites with enhanced thermal, mechanical and tribological properties. Polymer composites, 39, 2018, E1626-E1634.
- Xie, F. , Hu, W. J., Ning, D. D., Zhuo, L. H., Deng, J. B., Lu, Z. Q., ZnO nanowires decoration on carbon fiber via hydrothermal synthesis for paper based friction materials with improved friction and wear properties. Ceramics International, 44 (4), 2018, 4204-4210.
- Senthilkumar, N. , Kumar, G. G., Manthiram, A., 3D hierarchical core-shell nanostructured arrays on carbon fibers as catalysts for direct urea fuel cells. Adv Energy Mater, 8, 2018, 1-11.
- Yu, P, Ma, J. C, Zhang, R., Zhang, J. Z., Botte, G. G., Novel Pd-Co electrocatalyst supported on carbon fibers with enhanced electrocatalytic activity for coal electrolysis to produce hydrogen. ACS Applied Energy Materials, 1 (2), 2018, 267-272.
- Xie, J. G. , Song, M. M., Fu, H. Q., Synthesis and properties of electrical conductive and antibacterial siloxane-modified carbon fiber-silver-acrylate nanocomposites. International Journal of Polymeric materials and polymeric biomaterials. 67 (16), 2018, 951-960.
- Awan, F. S. , Fakhar, M. A., Khan, L. A., Zaheer, U., Khan, A. P., Subhani, T., Interfacial mechanical properties of carbon nanotube-deposited carbon fiber epoxy matrix hierarchical composites. Composite Interfaces, 25 (8), 2018, 681-699.
- Zabihi, O. , Ahmadi, M., Li, Q.,, Shafei, S.,, Huson, M. G., Naebe, M., Carbon fiber surface modification using functionalized nanoclay: A hierarchical interphase for fiber-reinforced polymer composites. Composites Science and Technology, 148, 2017, 49-58.
- Fang, J. , Xie, Z. G., Wallace, G., Wang, X. G., Co-deposition of carbon dots and reduced graphene oxide nanosheets on carbon –fiber micro electrode surface for selective detection of dopamine. Applied surface science, 412, 2017, 131-137.
- Zhou, W. , Long, L., Xiao, P., Li, Y., Luo, H., Hu, W. D., Yin, R. M., Silicon carbide nano-fibers in-situ grown on carbon fibers for enhanced microwave absorption properties. Ceramics International, 43 (7), 2017, 5628-5634.
- Gao, B. , Zhang, R. L., He, M. S., Sun, L. C., Wang, C. G., Liu, L., Zhao, L. F., Cui, H. Z., Cao, A. P., Effect of a multiscale reinforcement by carbon fiber surface treatment with graphene oxide/carbon nanotubes on the mechanical properties of reinforced carbon/carbon composites. Composites Part A – Applied Science and manufacturing, 90, 2016, 433-440.
- Mei, H. , Zhang, S. M., Chen, H., Zhou, H. S., Zhai, X. Y., Chen, L. F., Interfacial modification and enhancement of toughening mechanisms in epoxy composites with CNT’s grafted as carbon fibers. Composites Science and Technology, 134, 2016, 89-95.
- Zhang, R. L. , Gao, B.,, Ma, Q. H., Zhang, J., Cui, H. Z., Liu, L., Directly grafting graphene oxide onto carbon fiber and the effect on the mechanical properties of carbon fiber composites. Materials and Design, 93, 2016, 364-369.
- Hoshi, K. , Maramatsu, K., Sumi, H., Nishioka, Graphene coated carbon fiber cloth for electrodes of glucose fuel cells. Japanese Journal of Applied Physics, 55 (2), 2016.
- Jiang, J. J. , Yao, X. M., Xu, C. M., Su, Y., Deng, C., Liu, F., Wu, J. J., Preparation of graphene oxide coatings onto carbon fibers by electrophoretic deposition for enhancing interfacial strength in carbon fiber composites. Journal of Electrochemical Society, 163 (5), 2016, D133-D139.
- Wu, G. S. , Ma, L. C., Wang, Y. W., Lie, L., Huang, Y. D., Interfacial properties and thermos-oxidative stability of carbon fiber reinforced methyl phenyl silicone resin composites modified with polyhedral oligomeric silsesquioxanes in the interphase. RSC Advances, 6 (6), 2016, 5032-5039.
- Wang, C. F. , Li, J., Sun, S. F., Li, X. Y., Wu, G. S., Wang, Y. W., Xie, F., Huang, Y., Controlled growth of silver nanoparticles on carbon fibers for reinforcement of both tensile and interfacial strength. RSC Advances, 6 (17), 2016, 14016-14026.
- Potschke, L. , Huber, P., Schriever, S., Rizzotto, V., Gries, T., Blank, L. M., Rosenbaum, M. A., Rational selection of carbon fiber properties for high-performance textile electrodes in bioelectrochemical systems. Frontiers in energy research, 7, 2019, 1-15.
- Ding, Y. , Gou, L., Li, Y., Modifying nano carbon fiber surface comprises e.g. subjecting nano carbon fiber to low temperature plasma treatment, coating the nano carbon fiber with polydopamine, coupling modification on the nano carbon fiber with coupling agent. CN110130102, 16 Aug 2019.
- Lv, X. , Wang, F., Mixed solution formulation for surface modification of conductive fibers, comprises nitric acid, lead nitrate, binder, and rest is pure water, adhesive is sodium silicate or starch with high purity, placing formulated mixed solution. CN110085825-A, 2 Aug 2019.
- Du, B. , Qian, J., He, C., Wang, X., Shui, A., Preparing carbon fiber having multi-scale silicon carbide-silicon oxide carbides ceramic coating on surface involves adding transition metal compound to water and mixing uniformly to obtain mixed solution and soaking carbon fiber. CN110042653, 23 Jul 2019.
- Qin, W. , He, J., Zhu, F., Meng, J., Method for surface modification of carbon fiber surface functionalization, involves soaking carbon fiber raw material with acetone, and preparing dopamine hydrochloride solution, and placing washed carbon fiber in dry box. CN1100168007-A, 16 Jul 2019.
- Ikeda, T. , Nishina, Y., Kano, S., Aoyagi, Y., Fujiwara, T., Mori, M., Surface modification method for carbon fiber of carbon nanostructure e.g. carbon nanotube involves cutting the C-C coupling of the carbon fiber by the ultraviolet rays which generate on the light emission process of gas. JP2019099989-A, 24 Jun 2019.
- Tao, F. , Preparing high thermal conductive polymer involves carrying out surface modification on carbon nanofibers and composite structure aluminum particles, and then mixing with filler and PVDF resin. CN109593305-A, 9 Apr 2019.
- Li, G. , Xu, P., Lin, J., Xiang, Z., Yu, Y., Yang, X., Modifying carbon fiber surface by aromatic condensed ring molecular assembly comprises carrying out imidization reaction, immersing carbon fiber and combining. CN109338730-A, 15 Feb 2019.
- Guo, P. , Preparing high-strength carbon fiber involves pretreating carbon fiber surface by first immersing carbon fiber in sulphuric acid solution, continuously stirring, filtering fiber out, and then using deionized water, until it is neutral. CN109371662-A, 22 Feb 2019.
- Guan, M. , Surface modification method of polymer fiber by soaking untreated carbon fiber in sulphuric acid solution, cleaning residual sulfuric acid in carbon fiber surface, oven drying and fixing carbon fiber filament ribbon on PTFE oriented frame. CN109265921-A, 25 Jan 2019.
- Ma, S. , Zhang, S., Jiao, Z., Sun, Z., Preparing modified carbon fiber comprises mixing carbon fiber in nitric acid solution and carrying out oxidation process, adding carbon oxide fiber into ethanol solution of the silane coupling agent and carryingout surface modification. CN108997719-A, 14 Dec 2018.
- Xu, H. , Chen, X., Yan, C., Liu, D., Zhu, Y., Thermoplastic sizing agent useful for surface modification of carbon fiber comprises cyclic phenyl sulfide mixture composed of cyclic phenyl sulfide. CM108951173-A, 7 Dec 2018.
- Park, S. W. , Jung, H. K., Shin, Y. J., Song, S. H., Surface modifying carbon fiber useful for reinforced plastic comprises dissizing the carbon fibers, surface modifying the surface of the desized carbon fiber, and sizing the plasma treated carbon fibers. KR2018128578-A; KR1968646-B1, 4 Dec 2018.
- Jin, Y. , Zheng, X., Fang, Y., Chen, J., He, G., Huang, C., Shi, B., Modifying of spiral nano carbon fibers involves mixing graphitized spiral nano carbon fiber with ethanol and ball milling to obtain spiral nano carbon fiber, and acidifying ball-milled spiral nanocarbon fiber. CN108864773-A, 23 Nov 2018.
- Li, M. , Improved power generation efficiency of a wind power generator and reducing noise, comprises choosing carbon fiber blade of wind power generator, subjecting the activation treatment, surface modification, and applying a performance coating. CN108864457-A, 23 Nov 2018.
- Park, Y. B. , Kim, B. J., Cha, S. H., Method for forming zinc oxide nanostructure of carbon fiber using plasma process, involves reforming surface of woven carbon fiber (WCF) using atmospheric pressure plasma and growing nanostructure on surface-modified surface. KR1919496-B1, 16 Nov 2018.
- Lv, Y. , Yao, L., Zhang, W., Zhang, J., Guo, Y., Method for surface modification of carbon fibers involves subjecting carbon fiber coated with thermostetting resin sizing agent to low-temperature heat treatment. CN108642882-A, CN108642882-B, 12 Oct 2018.
- He, Y. , Li, S., Zhang, Z., Xue, L., Miao, S., Wang, C., Carbon nanotube modified carbon fiber surface large-scale production equipment include anode insulating bracket, clamping hopper, anode discharge wire, electric push rod, oven, and electronic portion including pulse high-voltage generator. CN108442101-A, 24 Aug 2018.
- Wang, J. , Jiang, Y., Preparing high strength carbon fiber sizing agent comprises e.g. reacting acetic anhydride ammonium persulfate, sulfuric acid solution, polycarbonate, tetrahydrofuran, emulsifier, heating, agitating and ultrasonically dispersing. CN108360252-A, 3 Aug 2018.
- Wang, Z. Y. , Replacement method of oil agent of surface of carbon fiber, involves performing pasting step that covers second type oil agent to carbon fiber, after plasma surface treatment to provide plasma gas flow and making it act on carbon fiber. JP2018115396-A, 26 Jul 2018; JP6393348-B2, 19 Sep 2018.
- Joo, S. W. , Dillip, G. R., Kim, C. S., Carbon fiber/metal oxide complex composite used in electrode for ultrahigh capacity capacitor, comprises carbon fiber, and at least one metal oxide bonded to the carbon fiber. KR2018082799-A, ; KR1960154-B1, 4 Jul 2019. 19 July.
- Zhu, B. , Yuan, X., Qiao, K., Yu, J., Zhao, S., Preparing oxidized graphene modified carbon fiber by silane coupling agent assisted electrophoretic deposition comprise e.g. placing carbon fiber after desulfurization in aqueous solution containing amino propyl triethoxy-silane and ethanol. CN108286187-A, 17 Jul 2018.
- Jin, Y. , Chen, J., Wang, L., Jiang, C., Zhou, X., Li, B., Modification of nanosilica particles on spiral nano carbon fiber, condensing and refluxing liquids, suction filtering obtained mixture and drying filter residue. CN108219194-A, 29 Jun 2018; CN108219194-B, 17 Dec 2019.
- Tian, Y. , Zhang, X., Yang, Y., Surface-modification of carbon fiber involves carrying out electrochemical treatment using composite electrolyte containing mixture of water, glycol, oxalic acid and acetonitrile as solvent, and nitrogen containing compound. CN108193482-A, 22 Jun 2018.
- Song, G. , Ma, L., Tang, L., Li, J., Zhao, T., Grafting branched molecular tannic acid on carbon fiber surface by adding tannic acid into ethyl acetate, adding p-toluene sulfonic acid, stirring, obtaining reaction liquid, and adding dried acryl chloride carbon fiber into reaction liquid. CN107761375-A, 6 Mar 2018.
- Xue, Z. , Wenqi, C., Xiaoming, C., Hebin, H., Preparation of carbon fiber reinforced epoxy resin matrix composite by modified double-sizing agent involves dissolving silane coupling agent into ethanol solution, stirring, and introducing modified carbon. CN107629224-A, 26 Jan 2018.
- Chen, F. , Anti-static high-rigidity linear low density polyethylene composition for film comprises linear low-density polyethylene having certain density and certain value of melt flow rate, and surface modified carbon nanofibers modified surface. CN107365443-A, 21 Nov 2017.
- Lee, Y. S. , Jung, M. J., Park, M. S., Lee, S., Jo, H., Surface modification of carbon fiber by irradiation with acid involves supporting carbon fiber in acid solution, irradiating carbon fiber supported on acid solution, and then washing and drying carbon fiber, where radiation is electron rays. IR1789205-B1, 24 Oct 2017.
- Yang, H. , Feng, J., Yan, W., Modification of carbon fiber surface by in-situ polymerization of pyrrole comprises soaking carbon fiber in poly pyrrole aqueous dispersion, and reacting mixture with oxidizing agent to polymerize in situ on carbon fiber surface. CN107083680-A, 22 Aug 2017.
- Wang, L. , Chang, Z., Wei, Q., Hu, Y., Chen, W., Wang, J., Modifying immobilized enzyme vector by using microwave assisted method comprises e.g. pretreatment of enzyme vector, using organic reagents for carbon fiber surface treatment and drying, stirring and washing. CN107058280-A, 18 Aug 2017.
- Gao, S. , Chen, K., Xu, Z., Li, H., Hu, C.,, Luo, Y., Yang, H., Surface modification of carbon fiber used in e.g. biomedical material involves degelling carbon fiber, oxidising carbon fiber, reducing oxidized carbon fiber, cleaning, and drying. CN107034662-A, Aug 2017.
- He, Y. , Bai, Y., Li, S., Jing, C.,, Zhu, Y., Device for surface modification of carbon fibers by rapid attachment of double-phase carbon nanotubes, has power source which is comprised with high voltage module, positive connection line and negative connection line. CN106906642-A, 30 Jun 2017.
- Wang, R. , Lin, W., Jiao, W., Preparation of acylamide-based graft-modified carbon fiber involves dissolving modified in volatile organic solvent, heating, carrying out surface modification of carbon fiber with modifier solution and drying. CN106835695-A, 13 Jun 2017; CN106835695-B, 14 May.
- Ren, L. , Sang, L., Ding, F., Liu, X., Zhao, Q., Li, Y., Preparation of cathode used for oxygen dissolved seawater battery, involves forming surface active layer by subjecting poly acrylonitrile carbon fiber material surface matrix core to surface modification treatment and heat-treating surface. CN106654163, 10 May.
- Qian, X. , Ren, Q., She, Z., Song, Y., Yuan, H., Zhang, L., Zhao, C., Preparation method of bioactive carbon fiber used in sewage treatment, involves pre-oxidizing poly acrylonitrile fibers, carbonizing fibers, and performing activation treatment for modification of carbon fiber surface. CN106567158-A, 19 Apr 2017.
- Yin, R. , Zhou, W.,, Preparing carbon fiber sialon ceramics composite material comprises subjecting carbon fiber to surface treatment to obtain modified carbon fiber having silicon carbide coating on its surface, chopping, ball milling, drying and molding. CN106518124-A, 24 Mar 2017; CN106518124-B, 27 Aug 2019.
- Chu, Y. , Liu, S., Song, W., Wang, H., Wang, J., Producing surface modified layer of carbon fiber-titanium carbide – titanium diboride for ship involves utilizing friction agitation processing and forming S-shaped groove on upper surface of substrate and small holes in periphery of groove. CN106480451-A, 8 Mar 2017; CN106480451-B, 21 Aug 2018.
- Li, Y. , Method for surface modification of carbon fiber material involves putting carbon fiber material into extraction device, extracting in acetone solution, removing surface coating of carbon fiber material, and wetting with deionized water. CN106436273-A, 22 Feb 2017.
- Jiang, J. , Guo, Q., Zhou, L., Su, Y., Xu, C., Deng, G., Surface modification of carbon fiber involves graphene solution on carbon fiber surface, placing dried carbon fiber in plasma device and spraying plasma on surface of carbon fiber coated with nano graphene of graphene solution. CN106283601-A, 4 Jan 2017.
- Jiang, J. , Guo, Q., Zhou, L., Su, Y., Xu, C., Chen, X., Surface modification of carbon fiber by extracting carbon fiber material with acetone by boiling, cleaning in deionized water, putting into vacuum drying box, with mixed acid, magnetically stirring, washing and vacuum drying. CN106245319-A, 21 Dec 2016.
- Li, Y. , Carbon fiber coating modification process comprises e.g. adding tetra butyl titanate to ethanol solution, then adding alcohol solution of hydrochloric acid, stirring to obtain titanium dioxide sol, and post-processing. CN106245318-A, 21 Dc 2016.
- Li, Y. , Surface modification of carbon fiber involves dispersing material (CF-3) formed by processing carbon fiber in diethyl ether and lithium borohydride, to silane coupling agent hydrolysate, ultrasonically processing filters and drying. CN106192407-A, 7 Dec 2016.
- Gao, X. , Guo, S., Ding, C., Surface modification of carbon fiber comprising using titanic acid ester as coupling agent for carrying out surface treatment to the carbon fiber, then carrying out high-temperature air oxidation to the processed carbo n fiber. CN106032410-A, 19 Oct 2016.
- Gao, Z. , Tan, Y., Yang, H., Zhang, B., Wang, M., Preparation of atomic layer deposition modified confinement catalyst used for preparation of heterogeneous solid catalyst, involves dispersing dried carbon nanofibers in alcohol, depositing platinum nanoparticles and aluminum oxide. CN105771972-A, 20 Jul 2016; CN105771972-B, 20 Jul 2018.
- Liu, D. , Lv, F., Li, G., Li, S., Yi, W., Zhang, F., Zhou, Y., Li, C., Zhang, X., Li, N., Chen, Y., Preparing filter screen filler involves heating the carbon fiber, treating carbon fiber with concentrated nitric acid for surface modification and then dissolving fluorinated organosilane solution in dimethyl sulfoxide solutions. CN105350287-A, 24 Feb 2016; CN105350287-B, 18 Jul 2017.
- Ma, J. , Zhai, C., Zhang, Q., Preparing carbon fiber enhanced polyimide coated complex and short carbon fiber and subjecting to surface modification and increasing carbon fiber. CN105295373-A, 03 Feb 2016.
- Han, W. , Hong, C., Hu, P., Zhao, C., Zhang, X., Cheng, Y., An, J., Du, H., Zhou, S., Chemically grafting graphene oxide on carbon fiber surface comprises using modified Hummer’s method for preparing graphene oxide, oxidizing carbon fiber, carrying out carbon fiber surface modification and amination process and grafting. CN105239357-A, 13 Jan 2016.
- Zeininger, H. , Eder, F., Maleika, M., Modified carbon fiber used for preparing composite plastic, comprises silicone-containing coating laser having thickness less than preset value. WO2015197299-A1, 30 Dec 2015; DE102014212241-A1, 31 Dec 2015; EP3129543-A1, 15 Feb 2017; US2017130393-A1, ; JP2017524835-W, 31 Aug 2017. 11 May.
- Feng, R. , Sun, M., Sun, H., Yang, H., Nickel-graphite-poly (methyl meth acrylate) nano-composite wave-absorbing material useful e.g. in preparation of high temperature plastic, comprises e.g. modified sub-miron nickel plated carbon fiber and modified nano-nickel graphite. CN104592461-A, 6 May.
- Liu, J. , Production of polypyrrole/carbon fiber composite electromagnetic wave absorbing material, involves dispersing surface-modified carbon fiber in valine, adding pyrrole monomer and ammonium persulfate solution, reacting, washing and drying. CN104592514-A, ; CN104592514-B, 31 Aug 2016. 6 May.
- Qin, H. , Anodized carbon fiber surface treatment method involves carrying out anode oxidation treatment of carbon fiber beam, washing with distilled water, carrying out acetone extraction, rinsing with distilled water, and drying. CN104562631-A, 29 Apr 2015.
- Han, W. , Xue, Z., Wang, P., Zhao, G., Zhang, X., Cheng, Y., Surface modification of carbon fiber comprises e.g. carrying out surface halogenation and azidation of nano silicon dioxide, carrying out alkynylation of carbon fiber, and grafting nano silicon dioxide on surface of carbon fiber. CN104499270-A, 8 Apr 2015; CN104499270-B, 6 Jul 2016.
- Polycarbonate modified rubber, e.g. used in vehicle and electric industries comprises polycarbonate surface modified, organic montmorillonite, compatibilizer, light stabilizer, composite antioxidant and lubricant. (Inventor name not available in the Web of Science), CN104419181-A, 18 Mar 2015.
- He, J. , Li, J., Liu, C., Wei, F., Wang, Z., Carbon fiber surface modification method comprise extracting carbon fiber with acetone in a soxhlet extractor, drying, carrying out oxidation and acylation, then grafting with bis (3-aminophenyl) phenyl phosphine oxide. CN104195824-A, 10 Dec 2014; CN104195824-B, 27 Apr 2016.
- Guo, Z. , Huang, H., Pan, M., Surface modification method for carbon fiber powder used in e.g. aviation involves air preprocessing powder, heating in muffle furnace and immersing into oxidizing liquid for surface modification using strong oxidizing agent/sulfuric acid. CN104088132-A, 8 Oct 2014; CN10404088132-B, 16 Nov 2016.
- Sun, H. , Yao, C., Method for modifying carbon fiber that is utilized in anode material of vanadium redox flow battery, involves preprocessing carbon fiber fabric, depositing beta-lead oxide particles, and scanning fiber fabric for multiple times. CN104064781-A, 24 Sep 2014; CN104064781-B, 4 Jan 2017.
- Wang, B. , Duan, Y., Wang, H., Li, J., Chemically modifying microwave ultrasonic handled carbon fiber surface involves immersing carbon fiber in solvent among sonication carbon fibers, adding acid solution while ultrasonic dispersion and microwave radiation, adding initiator. CN104032565-A, 10 Sep 2014; CN104032565-B, 17 Aug 2016.
- Wang, C. , Pan, H., Zhang, X., Zheng, X., Jiao, S., Continuous surface modification of carbon fibers involves purifying by immersing carbon fiber in acetone solution while continuously stirring, cleaning using ultra-pure water to surface of carbon fibers, oxidizing, dispersing and drying. CN104018340-A, 3 Sep 2014; CN104018340-B, 9 Dec 2015.
- Xu, H. , Lu, Y., Oxygen and nitrogen co-doped poly acrylonitrile-based carbon fiber is prepared by electro chemical modification of raw material of poly acrylonitrile-based carbon fiber. WO2014127501-A1, 28 Aug 2014; CN104838051-A, 12 Aug, 2015; JP2016510367-W, 07 Apr 2016; CN104838051-B; JP6106766-B2, 05 Apr 2017; US9683314-B2, 20 Jun 2017; EP2960361-B1, 30 May.
- Cai, T. , Chen, D., Huang, X., Lie, Z., Song, W., Yi, M., Xie, H., Emulsion used for preparing modified carbon fiber for polyamide composite material, comprises specified amount of surface modifier containing hydroxyl group-containing compound, polyamide, emulsifier, organic solvent and water. CN103993484-A, 20 Aug 2014; CN103993484-B, 23 Dec 2015.
- Huang, Y. , Mengi, L., Ma, L., Pan, L., Wang,, Y., Qi, M., Yu, J., Modification of carbon fiber surface involves performing primary soxhlet-extraction in carbon fiber beam with acrylic ketone, removing impurity, leaching in supercritical acetone-water system, and removing carbon fiber epoxy coating. CN103966843-A, 6 Aug 2014; CN103966843-B, 2 Dec 2015.
- Xu, Z. , Wang, J., Huang, H., Hao, Y., Surface modification of carbon fiber comprises layering an industrial crbon fiber felt and an active metal in an inert material lining container, reacting under inert gas atmosphere, cooling, washing with water and the air-drying. CN103966837-A, 6 Aug 2014.
- Fan, X. , Liu, D., Xu, H., Yan, C., Zhang, X., Surface modification of carbon fiber used for interface modification composite material, involves preparing surface grafted polyphophazene carbon fiber, reacting with graphite, and obtaining surface grafted graphene carbon fiber. CN103850123-A, 11 Jun 2014; CN103850123-B, 3 Feb 2016.
- Xu, F. , Liu, B., Qiu, Y., Hu, Q., Zhang, Y., Carbon fiber interface modification comprises carrying out cryogenic treatment of carbon fiber with liquid nitrogen in cryogenic medium, and heating. CN103590233-A, 19 Feb 2014; CN103590233-B, 28 Oct 2015.
- Chen, S. , Feng, J., Surface modification of carbon fibers comprises a material containing catechol structure as surface modifying agent on a carbon fiber surface under polymerization condition. CN103572591-A, 12 Feb 2014.
- Cai, T. , Huang, X., Ma, L., Song, W., Xin, W., Zeng, X., Yi, M., Chen, D., Modifying carbon fiber surface, useful e.g. in aerospace, comprises e.g. performing electrolytic oxidation with strong alkaline electrolyte to electrochemically modify and performing electrolytic oxidation with week alkaline electrolyte. CN103541212-A, 20 Jan 2014; CN103541212-B, 18 May, 2016.
- Zhang, C. , Ma, L., Zhou, H., Meng, L., Qi, M., Yu, J., Modification method of surface-modified carbon fibers involves extracting carbon fiber into soxhlet extractor, cleaning acetone as extraction agent, removing surface impurities from carbon fibers, purifying soaking and washing. CN103450501-A, 18 Dec 2013; CN103450501-B, 26 Nov 2014.
- Xu, S. , Modification of poly acrylo nitrile-based carbon fiber surface involves plasma treating poly acrylonitrile based carbon fiber plasma under inert gas atmosphere and atomizing with grafting liquid. CN103361768-A, 23 Oct 2013.
- Huang, S. , Lv, C., Wu, G., Method for modifying carbon fiber surface, involves dissolving graphene oxide in water followed by obtaining graphene oxide water solution, and carrying out thermal treatment with coated carbon fiber on furnace to obtain finished product. CN103243544-A, 14 Aug 2013; CN103243844-B, 2 Sep 2015.
- Li, J. , Huang, Y., Song, Y., Hu, Z., Liu, L., Preparation of carbon fiber surface modification coating used for, e.g. aviation, by reacting monomer phenolic and aldehyde compounds with catalyst, diffusing in slurry to obtain phenolic resin pre polymer, drying and carbonizing. CN103061111-A, 24 Apr 2013.
- Tu, L. , Meng, J., yang, M., Li, L., Environment friendly carbon fiber surface modification for, e.g. lake water, by soaking carbon fiber precursor in acetone solution, drying, soaking in nitric acid, drying to obtain modified carbon fiber wire, and placing in gas atmosphere. CN103058356-A, 24 Apr 2013; CN103058365-B, 18 Jun 2014.
- Li, J. , Song, Y., Huang, Y., Hu, Z., Liu, L., Etching surface of controllable fiber e.g. carbon fiber, comprises passing continuous fibers to irradiation furnace, controlling twisting degree of fibers, reducing fibers from furnace, and washing fiber tow layers away by solvent. CN103046308-A, 17 Apr 2013; CN103046308-B, 27 Aug 2014.
- Meng, L. , Qi, M., Lin, Y., Zhang, C., Yu, J., Fan, D., Surface modification method of carbon fiber used in chemical industry, involves pre-processing carbon fiber bundle surface, carrying out surface oxidation treatment of obtained surface-treated carbon fiber bundle, washing and drying. CN102888750-A, 23 Jan 2013; CN102888750-B, 12 Mar 2014.
- Fang, L. , Deng, C., Jiang, J., Shi, J., Method of ultrasonic enhanced carbon fiber surface comprises surface preprocessing, washing and drying. CN102851940-A, 2 Jan 2013.
- Shi, J. , Deng, C., Jiang, J., Fang, L., Surface modification of carbon fiber used for composite material, involves coating sol solution of nano graphene and water on carbon fiber surface, drying and spraying plasma to surface of coated carbon fiber under specified conditions. CN102839534-A, 26 Dec 2012; CN102839534-B, 11 Jun 2014.
- Liu, J. , Liang, J., Wang, C., Electrochemical surface modification of carbon fiber involves preparing electrolyte solution, processing composite electrolyte system, providing carbon fiber, pouring into electrolyte cell, washing and drying. CN102660866-A, 12 Sep 2012.
- An, F. , Guo, J., Li, D., Lv, C., Wu, G., Electrochemical surface – modification of carbon fiber, involves carrying out electrochemical reaction using electrolyte containing modified carbon nanotubes, carbon fibers as anode, and conductive metal or graphite material as cathode. CN102505449-A, 20 Jun 2012.
- Fan, X. , Li, X., Ruan, C., Yu, L., Zhang, X., Yan, C.,, Zhu, Y., Modification of carbon fiber surface used for carbon fiber/polycaprolactam composite material, by reacting carbon fiber with hexa chloro cyclo triphosphazene, and reacting modified carbon fiber surface with caprolactam monomer. CN102493184-A, 13 Jun 2012; CN102493184, 26 Mar 2014.
- Li, J. , Luo, R., Xu, N., Modification of poly acrylonitrile-base carbon fiber by carbon nanotube, involves loading prefabricating component of carbon fiber pricking felt in catalyst precursor, calcining, deoxidizing, cooling, and thermally treating. CN101671951-A, 17 Mar 2010; CN10167951-B, 15 Feb 2012.
- Wu, G. S. , Ma, L. C., Liu, L., Wang, Y. W., Xie, F., Zhong, Z. X., Zhao, M., Jiang, B., Huang, Y. D., Interfacially reinforced methyl phenyl silicone resin composites by chemically grafting multiwall carbon nanotubes onto carbon fibers. 82, 2015, 50-58.
- Friedrich, J. F. , Wattmarshausen, S., Altmann, K., Hidde, G., Adehsion promotion by ESI deposition of thin polymer layers onto carbon fibers. Surface innovations, 3 (4), 2015, 215-227.
- Fang, C. Q. , Wu, J. X., Wang, J. L., Zhang, T., Modification of carbon fiber surfaces via grafting with Meldrum’s acid. Applied surface science, 356, 2015, 9-17.
- Wu, G. S. , Ma, L. C., Liu, L., Wang, Y. W., Huang, Y. D., Interfacial improvement of carbon fiber-reinforced with sizing agent containing functionalized carbon nanotubes journal of adhesion science and technology, 29 (21), 2015, 2291-2310.
- Kim, H. H. , Han, W., Lee, H. S., Min, B. G., Kim, B. J., Preparation and characterization of silicon nitride (Si-N) coated carbon fibers and their effects on thermal properties in composites. Materials science and engineering B-Advanced functional solid state materials, 200, 2015, 132-138.
- Pan, Y. S. , Chen, Y., Shen, Q. Q., Pan, C. L., Effect of carbon fibers surface modification on the flexural mechanical properties of carbon fiber reinforced polyether ether ketone biocomposites. Journal of Polymer Engineering, 35 (7), 2015, 657-663.
- Deng, C. , Jiang, J. J., Liu, F., Fang, L. C., Wang, J. B., Li, D. J., Wu, J. J., Effects of electrophoretically deposited graphene oxide coatings on interfacial properties of carbon fiber composite. Journal of materials science, 50 (17), 2015, 5886-5892.
- Wettmarshausen, S. , Friedrich, J. F.,, Meyer-Plath, A., Kalinka, G., Hidde, G., Weidner, S., Coating of carbon fibers with adhesion-promoting thin poly(acrylic acid) and poly(hydroxyehtylmethacrylate) layers using electrospray ionization. Journal of Adhesion Science and Technology, 29 (15), 2015, 1628-1650.
- Song, J. B. , Yuan, Q. P., Liu, X. S., Wang, D., Fu, F., Yang, W. B., Combination of nitrogen plasma modification and water borne polyurethane treatment of carbon fiber used for electric heating of wood floors. Bioresources, 10 (3), 2015, 5820-829.
- Grigoryan, N. S. , Gubanov, A. A., Vogramyan, J. A., Korshak, Y. V., Electrochemical modification of the carbon fiber surface. Russian Journal of Applied Chemistry, 88 (7), 2015, 1150-1156.
- Ma, L. C. , Meng, L. H., Wu, G. S., Wang, Y. W., Zhao, M., Zhang, C. H., Huang, Y. D., Improving the interfacial properties of carbon fiber-reinforced epoxy composites by grafting of branched polyethylene imine on carbon fiber surface in supercritical methanol. Composites Science and Technology, 114, 2015, 64-71.
- Montero, J. , de la Casa-Lillo, M. A., Sanchez-Montero, M. J., Martin-Sanchez, N., Izquierdo, C., Salvador, F., Effect of supercritical activation on the diameter of carbon fibers, Journal of supercritical fluids, 101, 2015, 131-139.
- Liu, L. S. , Wu, F., Yao, H. W., Shi, J., Chen, L., Xu, Z. W., Deng, H., Investigation of surface carbon fibers: Effects of fiber instinct structure and radiation medium. Applied Surface Science, 337, 2015, 241-248.
- Shelestova, V. A. , Zhandarov, S. F., Danchenko, S. G., Grakovich, P. N., Surface modification of carbon fiber by fluoropolymer in a low temperature plasma. Inorganic Materials: Applied Research, 6 (3), 2015, 219-224.
- Jiang, S. , Li, Q. F., Zhao, Y. H., Wang, J. W., Kang, M. Q., Effect of surface silanization of carbon fiber reinforced polyurethane composites. Composites Science and Technology, 110, 2015, 87-94.
- Yuan, H. J. , Lu, C. X., Zhang, S. C., Wu, G. P., Preparation and characterization of a polyimide coating on the surface of carbon fibers. New Carbon Materials, 30 (2), 2015, 115-121.
- Ivanov, K. G. , Grebennikov, S. F., Saklakava, E. V., Astashkina, O. V., Electrophysical properties of carbon fibers decorated with bismuth and indium. Free Chemistry, 46 (6), 2015, 373-377.
- Li, W. W. , Li, R. P., Li, C. Y., Zhang, L., Surface characterization and electrical property of carbon fibers modified by air oxidation. Surface and Interface analysis, 47 (3), 2015, 325-330.
- Pierozynski, B. , Mikolajczyk, T., Turemko, M., Czerwosz, E., Kozlowski, M., Hydrogen evolution reaction at Pd-modified carbon fibers in 0.1 M NaOH. International Journal of Hydrogen Energy, 40 (4), 2015, 1795-1799.
- Liu, Y. , Fang, Y. C., Qian, J. H., Liu, Z. Z., Yang, B., Wang, X. L., Bio-inspired polydopamine functionalization of carbon fiber for improving the interfacial adhesion of polypropylene composites. RSC Advances, 5 (130), 2015, 107652-107661.
- Ghaemi, F. , Yuanus, R., Ahmadian, A., Ismail, F., Salleh, M. A. M., Rashid, S. A., Few and multilayer graphene on carbon fibers: Synthesis and application. RSC Advances, 5 (991), 2015, 81266-81274.
- Yang, Y. Y. , Ibrahim, A. A., Stockdill, J. L., Hashemi, P., A density-controlled scaffolding strategy for covalent functionalization of carbon fiber microelectrodes. Analytical methods, 7 (17), 2015, 7352-7357.
- Li, J. , Improvement of interfacial adhesion in PP/PS blends enhanced with polyethylene-polyamine surface treated carbon fiber. Advanced materials research, 1061- 1062, 2015, 170–174. [Google Scholar] [CrossRef]
- Pierozynski, B. ,Mikolajczyk, T., Hydrogen evolution reaction at Ru-modified nickel-coated carbon fiber in 0.1 M NaOH. Polish Journal of Chemical Technology, 17, 2015, 18-22.
- Fei, J. , Luo, W., Huang, J. F., Ouyang, H. B., Wang, H. K., Cao, L. Y., Effect of hydrothermal modified carbon fiber through Diels-Alder reaction and its reinforced phenolic composites. RSC Adv., 5 (79), 2015, 64450-64455.
- Sumin, L. , Yutao, Z., Zhao, Z., Hua, T., Haojie, S., Yaping, W., Electrochemical and mechanical effects of acid and thermal treatments of carbon fiber. Advances Engineering Materials, 17 (1), 2015, 52-67.
- Ghaemi, F. , Yunus, R.,, Salleh, M. A. M., Rashid, S. A., Ahmadian, A., Lim, H. N., Effects of the surface modification of carbon fiber by growing different types of carbon nanomaterials on the mechanical and thermal properties of polypropylene. RSC Advances, 5 (36), 2015, 28822-28831.
- Servins, L. , Gengenbach, T. R., Huson, M. G., Henderson, L. C., Fox, B. L., A novel approach to the functionalization of pristine carbon fiber using azomethine 1, 3 dipolar cycloaddition. Australian Journal of Chemistry, 68 (2), 2015, 335-344.
- Servins, L. , Henderson, L. C., Andrighetto, L. M., Huson, M. G., Gengenbach, T. R., Fox, B. L., A novel approach to functionalized pristine unsized carbon fiber using in situ generated diazonium species to enhance interfacial shear strength. J. Mater. Chem. A., 3 (7), 2015, 3360-3371.
- Kim, M. , Lim, J. W., Lee, D. G., Surface modification of carbon fiber phenolic plate for the HT-PEMFC with nano-carbon black and carbon felts. Composite structures, 119, 2015, 630-637.
- Qin, W. Z. , Vautard, F., Askeland, P., Yu, J. R., Drzal, L., Modifying the carbon fiber-epoxy matrix interphase with silicon-dioxide nanoparticles. RSC Advances, 5 (4), 2015, 2457-2465.
- Li, N. , Liu, G., Wang, Z. P., Liang, J. Y., Zhang, X. X., Effect of surface treatment on surface characterization of carbon fibers and interfacial bonding of epoxy resin composites. Fibers and polymers, 15 (11), 2014, 2395-2403.
- Yuan, H. J. , Zhang, S. C., Lu, C. X., Surface modification of carbon fibers by a polyether sulfone emulsion sizing for increased interfacial adhesion with polyether sulfone. Applied Surface Science, 317, 2014, 737-744.
- Wan, L. Y. , Wang, Y. H., Electroless copper plating on carbon fiber surface by plasma treatment. Special casting and nonferrous alloys. 34 (10), 2014, 1020-1023.
- Cho, S. M. , Jung, H. T., Highly enhanced mechanical properties of polypropylene-long carbon fiber composites by a combined method of coupling agent and surface modification of long carbon fiber. Macromolecular Research, 22 (10), 2014, 1066-1073.
- Jiang, D. W. , Liu, L., Long, J., Xing, L. X., Huang, Y. D., Wu, Z. J., Yan, X. R., Guo, Z. H., Reinforced unsaturated polyester composites by chemically grafting amino-POSS onto carbon fibers with active double spiral structural spiral phosphodicholor. Composites Science and technology, 100, 2014, 158-165.
- Sun, J. S. , Xiong, L., Liang, H. B., Zuo, Z. L., Gao, H. P., Luo, L. Y., Zhu, W., Synthesis and characterization of carbon fiber functionalized with poly(glycidylmethacrylate) via catalytic chain transfer polymerization. Asian Journal of Chemistry, 26 (11), 2014, 3224-3226.
- Pinar, A. , Oleksiewiez, I., Wrobel, S., Assessment of the electrostatic properties of polyester knitted fabrics containing carbon fibers after enzymatic modification for improving hygroscopic properties. Fibers and Textiles in Eastern Europe, 22 (3), 2014, 84-90.
- Luo, H. L. , Xiong, G. Y., Yang, Z. W., Li, Q. P., Ma, C. Y., Li, D. Y., Wu, X. B., Wang, Z. R., Wan, Y. Z., Facile preparation and extraordinary microwave absorption properties of carbon fibers coated with nanostructured crystalline SnO2. Materials Research Bulletin, 53, 2014, 123-131.
- Xiang, L. , Yu, P., Hao, J., Zhang, M. N., Zhu, L., Dai, L. M., Mao, L. Q., Vertically aligned carbon nanotube-sheathed carbon fibers as pristine microelectrodes for selective monitoring of ascorbate in vivo. Analytical Chemistry, 86 (8), 2014, 3909-3914.
- Ma, L. C. , Meng, L. H., Fan, D. P., He, J. M., Yu, J. L., Qi, M. W., Chen, Z. W., Huang, Y. D., Interfacial enhancement of carbon fiber composites by generating 1, 3 dendritic hexamethylene tetramine functionalization. Applied Surface Science, 296, 2014, 61-68.
- Jin, X. , Fan, Y., Xue, Y. M., Wu, L. W., Lu, Y., Chen, J. P., Wang, X. P., Dong, D. M., Meng, F. B., Lu, Y. B., Wood, J. T., Tang, C. C., Electrospun CF-PHA nanocomposites: Effect of surface modifications of carbon fibers. International Journal of Polymeric Materials and Polymeric Biomaterials, 63 (5), 2014, 262-267.
- Guo, K. , Guan, H., Song, D. M., Effects of different modification methods on X-band radar reflectivity of carbon fiber fabric. Electroplating and Finishing, 33 (5), 2014, 189-192.
- Xu, Z. H. , Li, Z. H., Li, J., Fu, Y. F., The effect of CF and nano-SiO2 modification on the flexural and tribological properties of POM composites. Journal of Thermoplastic Composite Materials, 27 (3), 2014, 287-296.
- Kappler, I. , Hund, R. D., Cherif, C., Surface modification of carbon fibers using plasma technique. Autex Research Journal, 14 (1), 2014, 34-38.
- Tiang, D. W. , Liu, L., Zhao, F., Zhang, Q. B., Sun, S. F., He, J. M., Jiang, B., Huang, Y. D., Improved interfacial properties of carbon fiber/unsaturated polyester composites through coating polyhedral oligomeric silsesquioxane on carbon fiber surface. Fibers and Polymers, 15 (3), 2014, 566-573.
- Sui, K. Q. , Zhang, Q. B., Liu, Y. Y., Tan, L., Liu, L., Improved interfacial and impact properties of carbon fiber/epoxy composites through grafting hyper branched polyglycerol on a carbon fiber surface. E-Polymers, 14 (2), 2014.
- Chukov, D. I. , Stepashkin, A. A., Gorshenkov, M. V., Tcherdyntsev, W., Kaloshkin, S. D., Surface modification of carbon fibers and its effects on the fiber-matrix interaction of UHMWPE based composites. Journal of Alloys and Compounds, 586, 2014, 242-251.
- Wu, Z. J. , Meng, L. H., Liu, L., Jiang, Z. X., Xing, L. X., Jiang, D. N., Huang, Y. D., Interface enhancement of carbon fiber reinforced unsaturated polyester composites with sizing agent containing carbon nanotubes. Journal of reinforced Plastics and Composites, 33 (3), 2014, 242-251.
- Langston, T. A. , Granata, R. D., Influence of nitric acid treatment time on the mechanical and surface properties of high-strength carbon fibers. Journal of composite materials, 48 (3), 2014, 259-276.
- Shiba, K. , Tagaya, M., Samitsu, S., Motozuka, S., Effective surface functionalization of carbon fibers for fiber/polymer composites with tailor-made interface. ChemPlusChem, 79 (2), 2014, 197-210.
- Liu, Z. , Tang, C., Chen, P., Yu, Q., Li, W. K., Modification of carbon fiber by air plasma and its adhesion with BMI resin. RSC Advances, 4 (51), 2014, 26881-26887.
- Zhang, L. , Jiao, W. L., Preparation and performance of ZnO nanowires modified carbon fibers reinforced NiFe2O4 ceramic matrix composite. Journal of Alloys and Compounds, 581, 2013, 11-15.
- Chen, Z. Q. , Dai, X. J. J., Lamb, P. R., du Plessis, J., Leal, D. R. D., Magniez, K., Fox, B. L., Wang, X. G., Coating and functionalization of carbon fibers using a three-step plasma treatment. Plasma Processes and Polymers, 10 (12), 2013, 1100-1109.
- Pierozynski, B. , Kowalski, I. M., Mikolajcsyk, T., Turemko, M., Cathodic evolution of hydrogen at Pd-modified carbon fiber in 0.1 M NaOH. International Journal of Electrochemical Science, 8 (11) 2013, 12264-12272.
- Liu, W. B. , Zhang, S., Hao, L. F., Yang, F., Jiao, W. C., Li, X. Q., Fabrication of carbon nanotubes/carbon fiber hybrid in industrial scale by sizing process. Applied Surface Science, 284, 2013, 914-920.
- Kim, H. , Lee, Y. J., Lee, D. C., Park, G. G., Yoo, Y., Fabrication of the carbon paper by wet-laying of ozone-treated carbon fibers with hydrophilic functional groups.
- Qian, H. , Kucernak, A. R., Greenhalgh, E. S., Bismarck, A., Shaffer, M. S. P., Multifunctional structural super capacitor composites based on carbon aerogel modified high performance carbon fiber fabric. ACS Applied Materials and Interfaces, 5 (13), 2013, 6113-6122.
- Xiong, L. , Li, X., F., Liang, H. B., Huang, S. M., Preparation of poly(methylmethacrylate) functionalized carbon fiber via reversible addition-fragmentation chain transfer polymerization. Asian Journal of Chemistry, 25 (7), 2013, 4032-4034.
- Pierozynski, B. , Hydrogen evolution reaction at Pd-modified carbon fiber and nickel coated fiber materials. International Journal of Hydrogen Energy, 38 (19), 2013, 7733-7740.
- Liu, W. B. , Zhang, S., Hao, L. F., Jiao, W. C., Yang, F., Li, X. F., Wang, R. G., Properties of carbon fiber sized with poly(phthalazinone ether ketone) resin. Journal of Applied Polymer Science, 128 (6), 2013, 3702-3709.
- Vautard, F. , Fioux, P., Vidal, L., Dentzer, J., Schultz, J., Nardin, M., Defoort,, B., Modification of the carbon fiber surface by oxygen plasma and its influence on adhesion strength in acrylate-based composites cured by electron beam and ultraviolet light. Journal of Adhesion, 89 (6), 2013, 460-485.
- Pierozynski, B. , Kowalski, I. M., Hydrogen evolution reaction at Pd-modified nickel-coated carbon fiber in 0.1 M NaOH. International Journal of Electrochemical Science, 8 (6), 2013, 7938-7947.
- Zhang, Z. J. , Wang, Y. S., Deng, Q. Y., Wang, S. L., He, T., Surface modification of carbon fiber via electron-beam irradiation grafting. Surface and interface analysis, 45 (5), 2013, 913-918.
- Halouzka, V. , Hrbac, J., Jirovsky, D., Riman, D., Jakubec, P., Bartosova, Z., Masek, V., Mojzes, P., Vacek, J., Electrochemical pretreatment of carbon fiber microelectrodes based on sinusoidal-wave potential cycling and its application to amperometric sensing of bioactive compounds. Current analytical Chemistry, 9 (2), 2013, 305-311.
- Servinis, L. , Henderson, L. C., Gengenbach, T. R., Kafi, A. A., Huson, M. G., Fox, B. L., Surface functionalization of unsized carbon fiber using nitrenes derived from organic azides. Carbon, 54, 2013, 378-388.
- Vautard, F. , Fioux, P., Vidal, L., Dentzer, J., Schultz, J., Nardin, M., Defort, B., Influence of an oxidation of the carbon fiber surface by boiling nitric acid on the adhesion strength in carbon fiber-acrylate composites cured by electron beam. Surface and interface analysis, 45 (3), 2013, 722-741.
- Hou, Y.P. , Sun, T. Q., Wettability modification of polyacrylonitrile (PAN)-based high modulus carbon fibers with epoxy resin by low temperature plasma. Journal of adhesion, 89 (3), 2013, 192-204.
- Santos, A. L. , Botelho, E. C., Kostov, K. G., Nascente, P. A. P., da Silva, L. L. G., Atmospheric Plasma treatment of carbon fibers for enhancement of their adhesion properties. IEEE transactions of Plasma Science, 41 (21), 2013, 319-324.
- Kim, E. S. , Lee, T. H., Kim, E. J., Yoon, J. S., Surface modification of carbon fiber and the mechanical properties of the silicon rubber/carbon fiber composites. Journal of Applied Polymer Science, 126, 2012, E410-E418.
- Yuan, H. , Wang, C. G., Zhang, S., Lin, X., Effect of surface modification on carbon fiber and its reinforced phenolic matrix composite. Applied Surface Science, 259, 2012, 288-293.
- Yuan, H. , Wang, C. G., Lu, W. B., Zhang, S., Chen, Y., Yu, M. J., Liquid-phase oxidation modification of PAN-based carbon fiber surface. Journal of aeronautical materials. 32 (2), 2012, 65-68.
- Wu, W. , Jin, H. L., Zhang, J. G., Yu, Z. T., The epoxy chloropropane grafted carbon fiber on the mechanical and tribological properties of poly(methyl methacrylate) composite. Polymer-Plastics Technology and Engineering, 51 (6), 2012, 556-559.
- Fu, Y. F. , Xu, K., Li, J., Sun, Z. Y., Zhang, F. Q., Chen, D. M., The influence of plasma surface treatment of carbon fibers on the interfacial adhesion properties of UHMWPE composite. Polymer-Plastics Technology and Engineering, 51 (31), 2012, 273-276.
- Zhao, F. , Huang, Y. D., Uniform modification of carbon fibers in high density fabric by gamma-ray irradiation grafting. Materials Letters, 65 (23-24), 2011, 3351-3353.
- Wu, G. P. , Lu, C. X., Wang, Y. Y., Ling, L. C., Effect of boric acid on oxidative stabilization of polyacrylonitrile fibers. Fibers and Polymers, 12 (7), 2011, 979-982.
- Morozova, N. B. , Gelfond, N. V., Sysoev, S. V., Baklanova, N. I., Lyakhov, N. Z., Deposition of refractory caotings on carbon fibers from volatile Hf-containing precursors. Journal of Structural Chemistry, 52 (4), 2011, 766-770.
- Tikhomirov, A. S. , Sorokina, N. E., Avdeev, V. V., Surface modification of carbon fibers with nitric acid solutions. Inorganic mateirals, 47 (6), 2011, 609-613.
- Zhang, R. L. , Huang, Y. D., Liu, L., Tang, Y. R., Su, D., Xu, L. W., Effect of emulsifier content of sizing agent on the surface of carbon fibers and interface of its composites. Applied Surface Science, 257 (8), 2011, 3519-3523.
- Zhao, F. , Huang, Y. D., Grafting of polyhedral oligomeric silsesquioxanes on a carbon fiber surface: Novel coupling agents for fiber fiber/polymer matrix composites. Journal of Materials Chemistry, 21 (11), 2011, 3695-3703.
- Zhao, F. , Huang, Y. D., Improved interfacial properties of carbon fiber/epoxy composites through grafting polyhedral oligomeric silsesquioxane on carbon fiber surface. Materials Letters, 64 (24), 2010, 2742-2744.
- Das, M. , Ghosh, J., Basu, A. K., Effect of activation on boron nitride coating on carbon fiber. Ceramics International, 36 (8), 2010, 2511-2514.
- Wang, S. L. , Hu, Z. J., Lin, J., Chemical treatment of carbon fibers and the development of functional paper. Light Industry Machinery, 28 (5), 2010, 89-92.
- Im, J. S. , Kang, S. C., Lee, S. H., Lee, Y. S., Improved gas sensing of electro spun carbon fibers based on pore structure, conductivity and surface modification. Carbon, 48 (9), 2010, 2573-2581.
- Roberts, J. G. , Moody, B. P., McCarty, G. S., Sombers, L. A., Specific oxygen-containing functional groups on the carbon surface underlie an enhanced sensitivity to dopamine at electrochemically pretreated carbon fiber microelectrodes. Langmuir, 26 (11), 2020, 9116-9211.
- Li, J. Q. , Huang, Y. D., Fu, S. Y., Yang, L. H., Qu, H. T., Wu, G. S., Study on the surface performance of carbon fibers irradiated by gamma-ray under different irradiation dose. Applied Surface Science, 256 (7), 2010, 2000-2004.
- Georgion, P. , Walton, J., Simitzis, J., Surface modification of pyrolyzed carbon fibers by cyclic voltammetry and their characterization with XPS and dye adsorption. Electro Chimica Acta, 55 (3), 2010, 1207-1216.
- Hayne, D J., Stojcevski, F.; Knorr, D. B.; Tran, N. T.; Henderson, L. C.; Surface modification of carbon fibers using ring-opening metathesis polymerization composites Part A-Applied Science and manufacturing, 145, 2021, 106374.
- Wickramasingha, Y. A. , Dharmasiri, B.; Randall, J. D.; Yin, Y. T.; Andersson, G. G.; Nepal, D.; Newman, B.; Stojcevski, F.; Eyckens, D. J.; Henderson, L. C.; Surface modification of carbon fiber as a protective strategy against thermal degradation. Composites Part A-Applied Scienec and manufacturing, 153, 2022, 106740.
- Artigas-Arnaudas, J.; Munoz, B. K.; Sanchez, M.; de Prado, J.; Utrilla, M. V. ; Urena, A; Surface modification of carbon fiber electrodes for structural super capacitors. Applied composite materials, 29 (2), 2022, 889-900.
- Dharmasiri, B. , Randall, J.; Yin, Y. T., Andersson, G. G., Doeven, E. H., Francis, P. S., Henderson, L. C., Eds.; Carbon reinforced carbon fibers: Using surface modification as a route to enhanced physical performance. Composites science and technology, 218, 2022. [Google Scholar]
- Zeng, L.; Liu, X. Q.; Chen, X. G.; Soutris, C. ; Pi-pi interaction between carbon fiber and epoxy resin for interface improvements in composites. Composites Part B-Engineering, 220, 2021, 108983.
- Eyckens, D. J. ; Jarvis, K; Barlow, A. J.; Yin, Y. T.; Soulsby, L. C.; Wickramasingha, Y. A.; Stojcevski, F.; Anderrson, G.; Francis, P. S.; Henderson, L. C.; Improving the effects of plasma polymerization of carbon fiber using a surface modification pretreatment. Composites Part A-Applied Science and manufacturing. 143, 2021, 106319.
- Xu, N.; Lu, C. R. Zheng, T.; Qiu, S.; Liu, Y. Y. Zhang, D. X., Xiao, D. S.; Liu, G. C.; Enhanced mechanical properties of carbon fiber/epoxy composites via in situ coating-carbonization of micron-sized sucrose particles on the fiber surface. Materials & Design, 200, 2021, 109458.
- Hwang, S. H. , Kim, Y. K., Seo, H. J., Jeong, S. M., Kim, J. I., Lim, S. K.; The enhanced hydrogen storage capacity of carbon fibers. The effect of hollow porous structure and surface modification. Nanomaterials, 11 (7), 2021, 1830.
- Artyukhov, D.; Kiselev, N.; Gorshkov, N.; Kovyneva, N. Ganzha, O.; Vikulova,, M.; Gorokhovsky, A.; Offor, P.; Boychenko, E.; Burmistrov, I.; Harvesting waste thermal energy using a surface-modified carbon fiber-based thermo-electrochemical cell. Sustainability, 13(3), 2021, 1377.
- Li, H. Y.; Liebscher, M.; Michel, A.; Quade, A.; Foest, R.; Mechtcherine, V. ; Oxygen plasma modification of carbon fiber rovings for enhanced interaction toward mineral-based impregnation materials and concrete matrices. Construction and building materials, 273, 2021, 121950.
- Wu, Q.; Razzak, A.; Bai, H. H. , Deng, H.; Ye, Z. Y.; Zhu, J. F.; Dopamine concentration dependent surface modification for gaining carbon fiber composites with enhanced interfacial adhesion. Composites communications, 29, 2021, 101047.
- Li, Y. X.; Weese, M. E.; Cryan, M. T.; Ross, A. E. ; Amine-functionalized carbon-fiber microelectrodes for enhanced ATP detection with fast-scan cyclic voltammetry. 13 (20) 2021, 2320–2330. [Google Scholar]
- Shi, J.; Yamamoto, Y.; Mizuno, M.; Zhu, C. H. ; Interfacial performance enhancement of carbon fiber/epoxy composites by a two-step surface treatment. Journal of mechanical science and technology, 35 (1), 2021, 91-97.
- Radjet, R.; Jarvis, K. L. , Fox, B. L.; McArthur, S. L.; Comparing the properties of commercially treated and air plasma treated carbon fibers. Surface and coatings technology, 408, 2021, 126751.
- Stanfield, M. K.; Eyckens, D. J.; Medard, H.; Decorse, P.; Pinson, J.; Henderson, L. C. ; Using redox active molecules to build multilayered architecture on carbon fibers and the effect on adhesion in epoxy composites. Composites Science and Technology, 202, 2021, 108564.
- Liu, H. S.; Zhao, Y.; Chen, F.; Li, N.; Sun, M. C.; Zhang, T. Y.; Sun, T. P.; Wang, K.; Du, S. Y. ; Effects of polyetherimide sizing involving carbon nanotubes on interfacial performance of carbon fiber/polyehterether ketone composites. Polymers for advances technologies, 32 (9), 2021, 3689-3700.
- Xiong, S.; Zhao, Y.; Wang, Y. K.; Song, J. P.; Zhao, X. R.; Li, S. ; Enhanced interacial properties of carbon fiber/epoxy composites by coating carbon nanotubes onto carbon fiber surface by one-step dipping method. Applied Surface Science, 546, 2021, 149135.
- Eyckens, D. J.; Arnold, C. L.; Simon, Z.; Genngenbach, T. R.; Pinson, J.; Wickramasingha, Y. A.; Henderson, L. C. ; Covalent sizing surface modification as a route to improved interfacial adhesion in carbon fiber-epoxy composites, 140, 2021, 106147.
- Moraes, A. G. D.; Haack, M. D.; Rezzende, M. C.; Amico, S. C. ; Spectroscopic analysis of chemically modified carbon fibers. 2021. [Google Scholar]
- Lysenko, A. A.; Medvedeva, N. G.; Gorberg, B. L. , Kuzikova, I. L.; Astashkina, O. V.; Uvarova, N. F.; Silver-containing carbon fibers. Preparation and properties. Fiber Chemistry, 52 (5), 2021, 324-329.
- Gravis, D.; Moisan, S.; Poncin-Epaillard, F. ; Characterization of surface physic-chemistry and morphology of plasma-sized carbon fiber. Thin solid films, 721, 2021, 138555.
- Lv, M. , Wei, X. F.; Peng, L. W.; Preparation of carbon fiber-polyacrylamide composite hydrogel based on surface electric-initiated polymerization. Journal of nanoelectronics and optoelectronics, 16(6), 2021, 861-868.
- Yan, F.; Liu, L.; Li, K. X.; Jin, L. , Zhang, M. J.; Liu, Y.; Xiao, L. H.; Ao, Y. H.; A novel pi bridging method to graft grapheme oxide onto carbon fiber for interfacial enhancement of epoxy composites. Composites science and technology, 201, 2021, 108489.
- Wang, S. D.; Yang, Y. C.; Mu, Y. F. Shi, J. Y.; Cong, X.; Luan, J. S.; Wang, G. B.; Synergy of electrochemical grafting and cross-linkable sizing agent to enhance the interfacial strength of carbon fiber/PEEK composites. Composites science and technology, 203, 2021, 108562.
- Shi, L. L.; Song, G. J.; Li, P. Y.; Li, X. R.; Pan, D.; Huang, Y. D.; Ma, L. C.; Guo, Z. H. ; Enhancing interfacial performance of epoxy resin composites via in-situ nucleophilic addition polymerization modification of carbon fibers with hyperbranched polyimidazole. Composites science and technology, 201, 2021, 108522.
- Andideh, M.; Ghoreishy, M. H. R.; Soltani, S.; Sourki, F. A. ; Surface modification of oxidized carbon fibers by grafting bis (triethoxy silyl propyl) tetrasulfide (TESPT) and rubber sizing agent: Application to short carbon fibers/SBR composites. Composites Part A – Applied Science and manufacturing, 141, 2021, 106201.
- Su, Y. A.; Liu, P. P. , Jing, D. Q.; Zhang, X. H.; Zhang, S. C.; Improved interfacial adhesion in carbon fiber/poly (ether ether ketone) composites with the sulfonated poly ether ether ketone sizing treatment. Journal of applied polymer science. 138 (45), 2021, e51326.
- Qiu, B. W. , Li, M. X.; Zhang, X. Q.; Chen, Y.; Shou, S. T.; Liang, M.; Zou, H. W.; Carboxymethyl cellulose sizing repairs carbon fiber surface defects in epoxy composites. Materials chemistry and physics, 258, 2021, 123677.
- Zhang, J.; Zhang, H.; Li, W. L.; Xu, G. W. .; Cui, Y. B; Maximizing utilization of carbon fibers by bimetallic-catalytic etching and electrochemical modification for difunctional aqueous supercapacitors. Sustainable Energy & Fuels, 5 (17), 2021, 4434-4443.
- Wu, D. L.; Sun, X. Y.; Liu, X. D.; Liu, L.; Zhang, R. L. , Simple-effective strategy for surface modification via annealing treatment polydopamine coating. Applied Surface Science, 567, 2021, 150813.
- Shcherbakov, A. S.; Mostovoy, A. S.; Yakovlev, N. A.; Arzamastsev, S. V. ; Effect of carbon nanotubes functionalization on the physicochemical and mechanical properties of modified-reinforced composites based on an epoxy resin. Russian Journal of applied chemistry, 94 (8), 2021, 1080-1087.
- Yang, C. C.; Zhu, D. D.; Sun, C. Y.; Chen, B. Y.; Li, Y. H.; Pulidindi, I. N.; Zheng, Z.; Wang, X. L. ; Electrothermal responsive self-healing for carbon fiber/epoxy interphase based on Diels-Alder adducts.
- Wang, L.; Shen, Y.; Zhang, Y. X.; Wei, Q. X.; Liang, Y.; Tian, H. L. , Wu, D. P.; Yuan, X. Q.; Yuan, Q. P.; Wang, J. S. A novel surface treatment of carbon fiber with Fenton reagent oxidization for improved cells immobilization and xylitol fermentation. Microporous and mesoporous materials, 325, 2021, 11131B.
- Tian, J.; Xu, T. , Zhang, Z. W.; An, L. Z.; Li, X. T.; Tan, Y. F.; Study on the construction of polyethyleneimine/nano-silica multilayer film on the carbon fiber surfaces to improve the interfacial properties carbon fiber/epoxy composites. Composite interfaces, 29 (4), 2021, 361-381.
- Tak, W. S.; Hwang, J. U.; Bin Eo, S.; Jeong, Y. K.; Moon, S. Y.; Kim, W. S. ; Electrical property of grapheme-coated fiber by self-assembly and thermal-reduction. Applied surface science, 551, 2021, 149430.
- Yamane, Y.; Yabutsuka, T.; Takaoka, Y.; Ishizaki, C.; Takai, S.; Fujibayashi, S. ; Surface modification of carbon fiber-polyether ether ketone composite to impart bioactivity by using apatite nuclei. Materials 14 (21), 202, 6691.
- Liu, T.; Bai, R. X.; Chen, Z. T.; Li, Y. Z.; Yang, Y. Z. ; Tailoring of polyethylene fiber surface by coating silane coupling agent for stain hardening cementitious composite. Construction and building materials, 278, 2021, 122263.
- Khan, A.; Dragatogiannis, D.; Jagdale, P.; Rovere, M. ; Rosso, Tagliaferro, A.; Charitidis, C.; Novel carbon fibers synthesis, plasma functionalization, and application to polymer composites. Express polymer letters, 15 (4), 2021, 361-374.
- Pan, L.; Xue, P. B.; Wang, M. L.; Wang, F.; Guo, H. X.; Yuan, X. S.; Zhong, L.; Yu, J. ; Novel superhydrophobic carbon fiber/epoxy composites with anti-icing properties. Journal of materials research, 36 (8), 2021, 1695-1704.
- Liu, L.; Ying, G. B. , Sun, C.; Min, H. H.; Zhang, J. X.; Zhao, Y. L.; Wen, D.; Ji, Z. Y.; Liu, X.; Zhang, C.; Wang, C.; Mxene (Ti3C2Tx) functionalized short carbon fibers as a cross-scale mechanical reinforcement for epoxy composites. Polymers, 13 (11), 2021, 1825.
- Kim, W. J.; Heo, Y. J.; Lee, J. H.; Rhee, K. Y.; Park, S. J. ; Effect of atmospheric pressure plasma treatments on fracture toughness of carbon fibers-reinforced composites. Molecules, 26 (12), 2021, 3698.
- Li, X. Q.; Jia, X. H.; Yang, J.; Li, Y.; Wang, S. Z.; Song, H. J. ; Interfacial modification and tribological properties of ZnO nanosheet carbon fiber reinforced poly(hexahydrotriazine) composites. Tribology international, 165, 2021, 107310.
- Zhu, Y. D.; Ma, Y. Y.; Yan, C.; Xu, H. B.; Liu, D.; Chen, G.; Shi, P. C.; Hu, J. F.; Gao, C. ; Imprived interfacial shear strength of CF/PA6 and CF/epoxy composites by grafting grapheme oxide onto carbon fiber surface with hyper branched polyglycerol. Surface and interface analysis, 53 (10), 2021, 831-843.
- Zhang, X. Q.; Sun, T.; Lei, Y. Z.; Liang, M.; Zou, H. W. ; Synergistically optimizing interlaminar behavior of CFRP composites by simultaneously applying amino-rich grapheme oxide to carbon fiber and epoxy matrix. Composites part A-Applied science and manufacturing. 145, 2021, 106372.
- Cho, B. G.; Joshi, S. R.; Han, J. H.; Kim, G. H.; Park, Y. B. ; Interphase strengthening of carbon fiber/polyamide 6 composites through mixture of sizing agent and reduced grapheme oxide coating. Composites Part A-Applied science and manufacturing, 149, 2021, 106521.
- Sun, Z.; Guo, F. L.; Wu, X. P.; Li, Y. Q.; Zeng, W.; Chen, Q.; Huang, T.; Huang, P.; Fu, Y. Q.; Ma, X. Y.; Hu, N.; Fu, S. Y. ; Experimental and simulation investigations of the effect of hybrid GO-thermoplastic polyimide sizing on the temperature-dependent tensile behavior of short carbon fiber/polyetherimide composites. Composites science and technology, 218, 2021, 109166.
- Chen, F.; Liu, X. F.; Liu, H. S.; Li, S.; Li, S. L.; Sun, T. P.; Zhao, Y.; Wang, K. ; Improved interfacial performance of carbon fiber/polyetherimide composites by polyetherimide and modified grapheme oxide complex emulsion type sizing agent. High performance polymers, 34 (3), 2021, 292-309.
- Asante, N. A. Wang, Y. F.; Bakhet, S.; Kareem, S.; Owusu, K. A.; Hu, Y. D.; Appiah, M.; Ambient temperature sulfonated carbon fiber reinforced PEEK with hydroxyapatite and reduced grapheme oxide hydroxoyapatite composite coating. Journal of biomedical materials research Part B-Applied biomaterials, 109 (12) 2021, 2174-2183.
- Yao, T. T.; Zhang, X. F.; Zhang, W. S.; Liu, Y. T.; Liu, Q. F.; Wu, G. P. ; Controlled attachment of polycarbonate nanoparticles on carbon fibers for increased resin impregnation and interfacial adhesion in carbon fiber composites. Composites Part B-Engineering, 224, 2021, 109218.
- Wang, D. D.; Peng, J. Y.; Huang, Y.; Sun, L.; Liu, M. Y.; Li, H.; Chao, M. R.; Gong, P. W.; Liu, Z.; You, J. M. ; Rational construction of fluorescence turn-off fluorinated carbon-fiber/Ag composites and their anticancer and antibacterial activities. ACS Applied biomaterials, 4(2), 2021, 1749-1759.
- Bin Ateeq, M. K.; Bin Durayhim, N. M.; Sulayem, M. M.; Al-Qahtani, W. A.; Khdary, N. H.; Alhassan, A. M.; Alzahrani, F. M. A.; Katubi, K. M. M.; Alsaiari, N. S. ; A functionalized carbon fiber for flexible extraction and determination of Hg (II) using Au (Np)-Thiol-CF inductively coupled plasma mass spectrometry. Water, 13 (13), 2021, 1829.
- Liang, H. R.; Zhu, M. F.; Ye, H. Q.; Zeng, C. Q.; Wang, S. M.; Niu, Y. A. ; Carbon fiber microelectrode array loaded with the diazonium salt-single-walled carbon nanotubes composites for the simultaneous monitoring of dopamine and serotonin in vivo. Analytica Chemica Acta, 1186, 2021, 339086. [Google Scholar] [CrossRef] [PubMed]
- Huner, K.; Sarac, A. S. ; Surface electro coating of single carbon fibre with electroactive 3, 4-ethylene dioxythiophene/1-p (tolylsulphnyl) pyrrole copolymer: effect of dielectric constant of solvent. Bulletin of materials science, 44 (4), 2021, 290.
- Dehghan, R.; Barzin, J. ; Membrane patterning through horizontally aligned microchannels developed by sulfated chooped carbon fibers for facile permeability of blood plasma components in low-density lipoprotein-apheresis. Separation and purification technology, 278, 2021, 119512.
- Lai, M. L. l Jiang, L.; Wang, X. K.; Zhou, H. L. Z.; Huang, Z. G.; Zhou, H. M.; Effects of multi-walled carbon nanotube/grapheme oxide-based sizing on interfacial and tribological properties of continuous carbon fiber/poly (ether ether ketone) composites. Materials Chemistry and Physics, 276, 2022, 125344.
- Subhani, K.; Jin, X.; Mohan, P. J.; Lau, P. J.; Lau, A. K. T.; Salim, N. V. ; Graphene aerogel modified carbon fiber reinforced composite structural supercapacitors. Composites communications, 24, 100663, 2021.
- Yang, L. L. , Wang, T. T.; Bao, C. H.; Shi, M, Huang, X. J.; Cheng, H. A novel grapheme quantum dots/choline chloride/gold microelectrode for sensitive and selective determination of dopamine in the presence of a high concentration of ascorbic acid. Journal of electro analytical chemistry, 895, 2021, 115512.
- Tong, Y. X.; Wang, L. F.; Song, J. J. , Zhang, M. Y.; Qi, H. T.; Ding, S. J.; Qi, A. L.; Self-terminiated electroless deposition of surfactant-free and monodispersed Pt nanoparticles on carbon fiber microelectrodes for sensitive detection of H2O2 released from living cells. Analytical Chemistry, 93 (49), 2021, 16683-16689.
- Li, X. K. , Sun, M. C.; Song, J. P.; Zhang, T.; Zhao, Y.; Wang, K.; Enhanced adhesion between PEEK and stainless-steel mesh in resistance welding of CF/PEEK composites by various surface treatments. High performance polymers, 33 (8), 2021, 892-904.
- Ghafoor, B.; Schrekker, H. S.; Morais, J.; Amico, S. C. ; Surface modification of carbon fiber with imidazolium ionic liquids. Composite Interfaces, 29 (8), 915-927.
- Pawar, S. S.; Hutchinson, S. A.; Eyckens, D. J.; Stojcevski, F.; Hayne, D. J.; Gengenbach, T. R.; Razal, J. M; Henderson, L. C. ; Carbon fiber sizing agents based on renewable terpenes. Composites science and technology, 220, 2022, 109280.
- Adstedt, K. ; Stpkecvslo. F.; Newamn, B., Hayne, D. J., Henderson, L. C., Mollenhauer, D., Nepal, D., Tsukruk, V., Eds.; Carbon fiber surface functional landscapes: Nanoscale topography and property distribution. ACS Applied Materials & Interfaces, 14 (3), 2022, 4699-4713. [Google Scholar]
- Xiong, Y.; Li, Y. C.; Chen, C. L.; Nie, X.; Chen, Z. J.; Zeng, W.; Fang, P. F.; Dong, X. W. ; The surface structure origin of carbon fiber with enhanced electrothermal properties prepared by modification of grapheme coating. Journal of Electronic materials, 51 (8), 2022, 4288-4298.
- Wang, S. D.; Zhang, S. W.; Yang, Y. C. Dong, Z. X.; Wang, G. B.; Direct electrochemical grafting of crystalline PAEK macromolecule on carbon fiber to enhance the interfacial properties of PEEK/CF composites. 220, 2022, 109262.
- Ahmed, K. , Qin, X. H.; Yang, Y. Q.; Yu, L. C.; Hamada, H.; Physicochemical and thermodynamic mechanical behavior of injection molded sized and de-sized CF/PP composites. Composite Interfaces, 2022.
- Huner, K.; Dolas, H.; Sarac, A. S. ; Surface modification of carbon ifbers with electroactive PEDOT/epoxy composites. Bull. Mater. Sci.; 45 (3), 2022, 168.
- Shelestova, V. A.; Tolstopyatov, E. M.; Grakovich, P. N.; Ivanov, L. F.; Stratanovich, V. A. ; An X-ray photoelectron study of the surface of carbon fibers after treatment in a low temperature octafluorocyclobutane plasma. Protection of metals and physical Chemistry of surfaces, 58 (3), 2022, 540-545.
- Zou, J. L.; Shi, J. F.; Yang, J. X.; Li, J.; Liu, Y. ; Electroless copper plating mechanism of mesophase pitch-based carbon fibers by the grafting modification of silane couple agents. Materials today communications, 32, 2022, 104053.
- Hassan, E. A. M.; Elabid, A. E. A.; Bashier, E. O.; Elagib, T. H. H. ; The effect of carbon fibers modification on the mechanical properties of polyamide composites for automobile applications. Mechanics of composite mateirals, 58 (2), 2022, 261-270.
- Dammulla, I. N.; Swain, G. M. ; Inhibiting the oxygen reduction reaction kinetics on carbon fiber epoxy composites through diazonium surface modification-impacts on the galvanic corrosion modification-Impacts on the galvanic corrosion of coupled aluminum alloys. Journal of the electrochemical society, 169 (7), 2022, 071501.
- Borisov, A. M.; Vysotina, E. A.; Mashkova, E. S.; Ovchinnikov, M. A.; Timofeev, M. A. ; Modification of the surface of a carbon fiber under high-fluence irradiation with carbon ions. Journal of surface investigation, 16 (2), 2022, 211-216.
- Liang, Y. A.; Li, X. Y. Giorcelli, M.; Tagliaferro, A.; Charitidis, C.; Dong, H. S.; Enhancement and evaluation of interfacial adhesion between active screen plasma surface-functionalized carbon fibers and the epoxy substrate. Polymers, 14 (4), 2022, 824.
- Wu, Q.; Yang, X.; Ye, Z. Y.; Deng, H.; Zhu, J. F. ; Dopamine-dependent graphene oxide modification and its effects on interfacial adhesion of carbon fiber composites. Surfaces and interfaces, 31, 2022, 102086.
- Klimenko, I. V. ; Pitch-based carbon fibers: Manufacturing status and modification of properties. Russian Journal of Physical Chemistry B, 16 (1), 2022, 148-154.
- Hu, Y.; Pang, S. J.; Yang, G. Y.; Yao, X. M.; Li, C. B.; Jiang, J. J.; Li, Y. J. ; MXene modified carbon fiber composites with improved mechanical properties based on electrophoretic deposition. Materials research bulletin, 150, 2022, 111761.
- Zhang, T.; Wang, Z.; Zhang, G.; Liu, S. L.; Long, S. R.; Yang, J.; Yang, J. C.; Wang, X. L. ; Improvement of interfacial interaction between poly(arylene sulfide sulfone) and carbon fiber via molecular chain grafting. Composites science and technology, 224, 2022, 109463.
- Gu, B.; Pu, G. H.; Ding, B. N.; Zhang, K.; He, R.; Fan, J. H.; Xing, T.; Wu, J. Y.; Yang, W. B. ; Improved interfacial bonding strength of silicone rubber/carbon fiber modified by dopamine. Polymer composites, 2022.
- Han, Y. K.; Zai, X. R.; Fu, Y. B. ; Effect of oxygen-containing groups on electrochemical and marine electric field response properties of carbon fiber electrode. IEEE Sensor Journal, 22 (14), 2022, 13864-13871.
- Munoz-Velez, M. F.; Rivas-Menchi, A.; Valadez-Gonzalez, A. ; A micromechanical study of the fatigue behavior of MWCNT modified carbon fibers/epoxy resin single filament composites subjected to cyclic loadings. Journal of composite materials, 2022.
- Li, H. Y.; Liebscher, M.; Yang, J.; Davoodadi, M.; Li, L. H.; Du, Y. H.; Yang, B.; Hempel, S. ; Electrochemical oxidation of recycled carbon fibers for an improved interaction toward alkali-activated composites. Journal of cleaner production, 368, 2022, 133093.
- Wang, Z.; Dong, Y.; Yang, J. C.; Wang, X. J.; Zhang, M. L.; Zhang, G.; Long, S. R.; Liu, S. L.; Yang, J. ; Improved interfacial shear strength in carbon fiber enhanced semi aromatic polyamide 6T composite via in-situ polymerization on fiber surface. Composites science and technology, 223, 2022, 109401.
- Darvishzadeh, A.; Nasouri, K. Structural engineering of nickel-coated carbon fibers with high electrical conductivity for EMI shielding. Journal of materials science-Materials in electronics, 33 (8), 2022, 5648-5660.
- Won, J. S.; Kwon, M.; Lee, J. E.; Lee, J. M.; Kwak, T. J.; Lee, S. G. ; Polyphenylene sulfide-modified carbon fiber reinforced high-strength composites via electrophoretic deposition. Journal of science-advanced materials and devices, 7 (3), 2022, 100456.
- Li, H. Y.; Zhao, D.; Liebscher, M.; Yin, B.; Yang, J.; Kaliske, M.; Mechtcherine, V. ; An experimental and neumerical study on the age depended bond-slip behavior between nano-silica modified carbon fibers and cementitious matrices, 128, 2022, 104416.
- Du, T. H.; Zhao, S. S.; Dong, W. Y.; Ma, W. D.; Zhou, X. Y.; Wang, W. Y.; Ma, W. D.; Zhou, X. Y.; Wang, Y. L; Zhang, M. ; Surface modification of carbon fiber-reinforced polyether ether ketone with MXene-nanosheets for enhanced photothermal antibacterial activity and osteogenicity. ACS biomaterials science and engineering, 8 (6), 2022, 1375-2389.
- Chen, J.; Zhao, Y.; Sun, M. C.; Liu, Z. W.; Liu, H. S.; Xiang, S.; Li, S.; Song, J. P.; Wang, K. ; Functionalized carbon fibers with MXene via electrochemistry aryl diazonium salt reaction to improve the interfacial properties of carbon fiber/epoxy composites. Journal of materials research and technology-JMR RT, 1a, 2022, 3699-3712.
- Qiu, X. T.; Gao, T.; Wang, X. T.; Tang, S. Q.; Gu, A. Q.; Xie, M. J.; Yu, Z. L. ; Cyclic (phenylene sulfide, treated carbon fiber for facile preparation of high performance PEEK based anti-wear composites. Materials Chemistry and Physics, 278, 2022, 125665.
- Xiao, J. Q.; Zhang, X. J.; Zhao, Z. H.; Liu, J.; Chen, Q. F.; Wang, X. X. ; Rapid and continuous atmospheric plasma surface modification of PAN-based carbon fibers. ACS omega, 7 (13), 2022, 10963-10969.
- Wu, Q.; Wang, Q. Q.; Liu, Q. L; Wang, F.; Liu, X. Zhu, J. F.; Interconnected Ni(OH)2 and polyether amine on carbon fiber surface for simultaneously improving interfacial adhesion of epoxy composites and electrochemical properties. Chinese journal of aeronautics, 35 (5), 2022, 419-428.
- Naito, K.; Nagai, C. ; Effect of carbon nanotube surface modification on tensile properties of carbon fiber epoxy impregnated bundle composites. Polymers and polymer composites, 30, 2022.
- Uematsu, H.; Nishimura, S.; Yamaguchi, A.; Yamane, M.; Ozaki, Y.; Tanone, S. ; Growth of polypropylene crystals in the vicinity of carbon fibers and improvement of their interfacial shear strength. Polymer Journal, 54 (5), 2022, 667-677.
- Wang, S. Y.; Wang, X. Z.; He, J. J.; Xin, M. ; Mechanical behavior and micro structure of grapheme oxide electrodeposited carbon fiber reinforced cement-based materials. Crystals, 12 (7), 2022, 964.
- Gangineni, P. K.; Dash, S. S.; Gupta, K. B. N. V. S. G.; Prusty, R. K.; Ray, B. C. ; Effect of post-cathodic EPD acetone washing of carbon fibers on the mechanical properties of grapheme carboxyl embedded CFRP composites. Transactions of the Indian Institute of metals, 75 (7), 2022, 1789-1795.
- Wang, Y. Q.; Wang, X.; Xie, M. H.; Zhou, Z.; Xu, H. ; A surface modification of polylactic acid composites for additive manufacturing with modified chopped carbon fiber and modified nano-hydroxyapatite. Polymer composites, 2022.












| Material | ρ (g/cm3) | Cp (J/g/K) | Tc (W/mK) |
|---|---|---|---|
| Carbon fiber, CF | 1.6 | 0.676 | 900 |
| Graphite fiber, GF | 2.2 | 0.71 | 100a (38b) |
| Aluminum | 2.7 | 0.895 | 237 |
| Sizing compound with structure | Carbon fiber | Performance enhancement of CFRP | Reference |
|---|---|---|---|
| Maleic anhydride grafted poly (vinylidene fluoride), MPVDF, aqueous sizing agent | T300, 3K | 42 % enhancement in ILSS | [5] |
| Fe3O4/rGO-modified polyimide aqueous sizing agent coated on the surface of CF’s under an applied magnetic field | BHM3, 3K | 159 % enhancement in ILSS. The enhancement was attributed to reduced agglomeration of graphene nano sheets by the orientation and uniform dispersion of Fe3O4 on graphene surface under applied magnetic field. | [9] |
| COOH-CNT modified sizing agent | JH-T800 | 10, 27 and 59 % enhancement in IFSS, ILSS and flexural strength compared to commercial CF-reinforced epoxy composites. | [18] |
| Emulsion type thermotolerant sizing agent (a resin synthesized by dodecyl amine and tetraglycidyl diaminodiphenyl-methane) | T700SC, 12K | 29.16 % enhancement in ILSS | [22] |
| Emulsion type sizing agent prepared with modified poly (acrylonitrile-butadiene-styrene) | T700SC, 12K | 26.6 % enhancement in ILSS | [23] |
| Modified polyacrylate emulsion | PAN based carbon fibers | 14.2 % enhancement in ILSS | [24] |
Nano-SiO2 modified epoxy emulsion (AG-80) sizing agent |
PAN based carbon fibers | 14 % enhancement in ILSS | [25] |
| Polyimide sizing performed by coating CFs with polyamic acid followed by thermal imidization; | Carbon fibers | Carbon atoms bonded to nitrogen and oxygen increased by 9.72 %; ILSS, axial compression strength and axial compression modulus of composite (with polyphenylene sulfide matrix) increased by 26.39, 26.02 and 19.64 % respectively. | [26] |
| Sizing composition with MWCNT dispersion(0.5 %) | Carbon fibers | Tensile strength increased by 70.8 %; Flexural strength and ILSS, increased by 42.8 and 72.9 % | [27] |
Polyurethane and nano SiO2 hybrid sizing; Nano SiO2 grafted with 3-glycidoxy propyl trimethoxy silane (GPTMS) coupling agent followed by dispersion in PU solution |
PAN based CFs; SYT49S (12 K) from Zhong Fushen Ying Carbon fiber limited Liability company (China) | 40 % increase in the transverse fibers bundle strength | [28] |
Amine functionalized CNT modified vinyl resin (M720); main polymer content in the sizing agent is 1 %
|
Unsized CF (12k, 7 μm diameter) Guangwei co., China | Polar functional groups, wettability, and surface roughness enhanced; ILSS and impact toughness of modified CF/unsaturated polyester (UP) composite enhanced by 32.3 and 55.2 % | [29] |
N-(4’4-diamino diphenyl methane)-2-hydroxy propyl methacrylate (DMHM)
|
PAN based CFs; T700 SC CF (12k), provided by Toray company, Japan | IFSS and ILSS of sized CF vinyl ester resin (SCF/VE) enhanced by 96.56 and 66.07 % | [30] |
Acrylamide functionalized epoxy (E44) sizing agent
|
PAN based CFs; T700 SC CF (12k), provided by Toray company, Japan | IFSS and ILSS of the modified CFs vinyl ester resin enhanced by 86.96 and 55.61 % | [31] |
Amine functionalized hyper branched polyurethane
|
PAN based 6000 filaments per tow (6k) provided by Toray company (T-300 textile industry, Japan); tensile strength, 3194 MPa; density, 1.77 g/cc; diameter, 7.8 μm;CF surface was electrooxidised with conc. HNO3 to generate COOH functionality to facilitate grafting with the sizing agent | ILSS enhancement in the epoxy composite was attributed to the improvement of fiber-matrix interface through chemical interaction and mechanical locking | [32] |
Novolac resin as sizing compound for the surface modification of CF; sizing was done in conventional process by immersing fiber tows in a novolac resin solution
|
PAN based CFs (3 k) provided by continuous polyacrylonitrile based CFs; diameter, 7.1 μmTensile modulus, 211 GPa; tensile strength,, 4.05 GPa | ILSS and impact strength enhanced by 22.5 and 56.8 % | [33] |
CNT modified epoxy sizing agent; sizing composition comprise of CNTs (0.75 wt.%), epoxy resin (E51), tweet-80, and span-60; stability of sizing emulsion enhanced by the presence of CNT in the sizing composition sedimentation is prevented by the addition of CNT to sizing composition;
|
PAN based carbon fibers, MT300, 3 K | Surface oxygen functional groups enhanced by 45.96 %; surface roughness increased by 73.1 %; contact angle reduced by 11.9 %; IFSS of the composite (bisphenol A epoxy resin matrix) enhanced by 14.7 % | [34] |
| Carbon fibers | Chemical method | Functionality improvement | Reference |
|---|---|---|---|
| CFs were obtained from Toray industries (diameter, 7 μm; tensile strength, 3500 MPa) | Salicylaldehyde (SLDH) was grafted chemically through 3-aminopropyltriethoxyilane (3-APS) bridges onto the surface of CFs | Contact angle with water decreased from 78.5 to 52.1° and the surface energy increased from 35.9 to 55.0 mNm-1; IFSS of the composite (CF-g-SLDH and methyl phenyl silicone resin, MPSR) was enhanced by 48.66 %; Hydrothermal aging resistance was enhanced by 18.5 %; | [45] |
| Carbon fiber (no further details available) | Deposition of hydrophobic (n-hexyl amine) layer on CF surface followed by a coating of outer catalyst layer (isolated single atomic sites of cobalt/hallow N-doped carbon spheres) | Modified CF used in the fabrication of microelectrode for sensing oxygen content in brain; four electron reduction of oxygen is achieved; H2O2 formation pathway suppressed preventing cell toxicity | [46] |
| Carbon fiber (PAN, asphalt, rayon, graphite) | Polymerization modification | Wettability of CFs with resin improved; physical and chemical interactions between CFs and resins improved | [47] |
| T700 12 K; unidirectional; areal density, 200 gm-2; produced by Toray industrial Co. Ltd., Japan | Aqueous solution coating of CFs; polyelectrolyte complexes (PEC) were formed by the reaction between oppositely charged PEI (polyethylene imine) and APP (ammonium polyphosphate) through an ion exchange reaction by soaking the CFs in the PEC at room temperature; | Phosphorous containing PEC coating on CFs (PEC@CF) imparted fire retardancy property to the carbon fiber reinforced epoxy composite; properties of CFRP enhanced as follows:Limiting oxygen index enhanced by 43 %; reduction in the peak heat release rate, 47 %; mechanical properties and glass transition temperature were enhanced; UL-94 V-0 rating achieved for the composite; | [48] |
| Carbon fibers (further details are not accessible) | Amine functionalized CFs were further grafted with polyhedral oligomeric silsesquioxane (POSS) species on the surface of CFs; uniform continuous layer of siloxane oligomers formed on CF surface; | ILSS and oxygen erosion resistance of interface of CF-epoxy resin composite improved; material suitable for environment in low-earth orbit for space exploration vehicles; | [49] |
| Long PAN based CFs (3 x 103 single filaments per tow); diameter, 6-7 μm; density, 1.76 gcm3; tensile strength, 3500 MPa; obtained from Toray Industries, Inc Tokyo, Japan | Cardanol molecules were granted onto CF surface by in situ polymerization; Initially, hydroxyl groups were formed on CF surface by treating CFs (suspended on a glass frame) with isopentyl nitrite and 4-amino phenol; polar hydroxyl groups served as grafting sites to adhere Cardanol by in situ polymerization of hexachlorocyclotriphosphazene (HCCP) and cardanol; | Wettability and surface energy enhanced by cardanol functionalization; Water contact angle decreased from 78.5 to 66.82 °C; surface energy increased from 35.86 to 47.53 mN.m-1; ILSS of CF-cardanol-UPR (unsaturated polyester resin) composite increased by 41.35 %; | [50] |
| Carbon fibers (PAN based; petroleum pitch based and coal pitch based) | Coating organic layer followed by oxidation;soaking CFs in organic solution (phenolic resin slurry or aliphatic hydrocarbon) followed by drying and low temperature heat treatment (180-220 °C); further, the organic layer was oxidized to form surface oxygen functionality in the presence of oxidizing gas (chlorine gas or SO2) carried by inert carrier gas (He or Ar) | Though not disclosed organic layer coating followed by oxidative treatment might have resulted in the formation of oxygen rich surface functional groups; high bonding strength achieved on CF-polyamide 66 thermoplastic composite. | [51] |
| Carbon nanofibers prepared from polypropylene (PP) by melt force spinning technology | CN-groups are formed on CF surface by grafting acrylonitrile and methacrylic acid monomers; cyano groups were converted to amidoxime groups by treatment with hydroxyl amine solution followed by treatment with alkali for enhancing the sorption capacity of amidoxime group to form complex with metal ions. | Amidoxime functionalized CFs used as adsorbent for U (VI) (83.24 mg/g in 60 min at pH = 4) from simulated sea water. | [52] |
| PAN fibers, provided by Jilin chemical industrial company, Ltd., China | Chemical treatment with hydroxylamine hydrochloride and mono ethanolamine followed by thermal oxidation in air; amidoxime groups formed on CF surface as a result of chemical treatment followed by oxidation. | Thermal stability, flame retardant and mechanical properties were enhanced; | [53] |
| Carbon fibers (CFs), supplied by Sigma Aldrich; diameters, 100 μmLength, 20-200 μm | CFs were dispersed by ultrasonic treatment in the aqueous solution of Triton X-100; the well dispersed CFs were surface functionalized (O, N, S) by oxidative treatment with H2SO4 and HNO3 (3:1) at 80 °C for 90 min; | Amount of oxygen functional groups on CNF surface increased by Triton X-100 mediated acid oxidation | [54] |
| PAN based carbon fibers;Diameter, 7 μm;Fibers surface treated with epoxy resin based sizing agent (1.3 %); Supplied from Toho Tenax Europe GmbH, Japan, in the form of carbon fiber tape; | Surface oxidation by plasma treatment; prior to Ar plasma treatment the sizing was removed by treatment with acetone at 50 °C for 18 h; Ar plasma treatment was done by cold radio frequency (RT) plasma multi-jet at atmospheric pressure; | Wettability measured by glycerol contact angle decreased from 90-35°; oxygen functionalities (alcohol, ether, carboxyl, ester groups) increased; ILSS increased from 20.8 to 31 MPa | [55] |
| Carbon fibers based on 3K-1200-200 twill weave fabrics; | Thermal oxidation (300-500 °C for 30 min in air atmosphere) | Oxygen functionalities (hydroxyl, ethereal, carbonyl, carboxyl and epoxy) were formed on the CF surface; ILSS of CF-Poly sulfone composites increased from 42.8 to 62.9 MPa; formation of chemical bonds between CF and polysulfone matrix lead to enhancement in ILSS; | [56] |
| T300 PAN based carbon fiber plain cloth from Toray, Japan | CF-epoxy composite was treated with conc. H2SO4 (97 wt.%) followed by CaCl2 (1 M). The composite was surface functionalized with SO3H and Ca2+ species; | Biocompatibility of CF-epoxy composite enhanced by the presence of –SO3H and Ca2+ species on the surface ; uniform dense coating of apatite was formed on the composite when soaked in simulated body fluid (SBF) indicating the application in orthopedic and dental implants | [57] |
| Carbon fibers, PAN based | Oximation (treatment with Na2CO3 and hydroxyl amine hydrochloride lead to formation of amidoxime groups) followed by alkaline hydrolysis (lead to partial hydrolysis of amidoxime groups to carboxylate groups); oxygen content increased from 2.71 to 35.92 % upon modification; | Radioactive waste mitigation; Adsorption of U (VI) from radioactive waste, 163 mg/g; efficient and economic removal of U (VI) from radioactive waste; U (VI) coordinates with amidoxime (=N-OH/=N-O-), -NH2/-NH-, and carboxyl groups through a penta-coordination complexation; | [58] |
| Carbon fibers, T700SC, 12k | Desized CFs were pulled through PEI (polyetherimide) sizing agent solution in N-methyl-pyrrolidone (NMP) followed by in situ functionalization with zeolitic imidazolate frame work-67 (ZIF-67) by immersing PEI sized CF tows in 2 – methylimidazole followed by reaction with Co(NO3)2 6 H2O (24 h, RT); PEI sizing layer controls the relative amount of ZIF-67 crystals adhered to the CF surface; | 40.5 % enhancement in IFSS of modified CF/PEEK | [59] |
| Carbon fibers, 3 x 103 single filaments per tow; diameter, 7 μm; density 1.76 g/cm3; tensile strength, 3500 MPa; tensile modulus, 230 GPa; provided by Toray industries, Inc., | Hyper branched polysiloxane grafting by sol-gel polymerization; | Water contact angle decreased from 78.5 to 52.1°; surface energy increased from 35.9 to 55.5 mNm-1; ILSS and impact strength of CF-MPSR composite increased from 56.02 and 33.78 % respectively; | [60] |
| Carbon fibers (no further information accessible) | Polyurethane coated CFs used as reinforcing material for polyamide46/polyphenylene oxide (PA46/PPO) | Mechanical, tribological and heat resistance properties enhanced; volumetric wear resistance decreased by 95 %; tensile strength increased from 82 to 282 MPa. | [61] |
| Carbon fibers (T800SC), PAN based; used in the form of carbon fabric provided by Nanjing Tianniao corporation, China | Carbon coated CFs by hydrothermal process (180 °C) using glucose as carbon precursor; | BET specific surface area increased from 6 to 44 m2/g; specific capacitance enhanced from 15 to 106 F/g; IFSS increased from 39.8 to 51.3 MPa; applicable for wearable (flexible textile) electronic devices | [62] |
| Carbon fibers in the form of carbon fabric (density, 1.55 g/cc), provided by Torayca, Japan | Air plasma (6 kW processing power) oxidation and etching using atmospheric pressure plasma jet (APPJ) system; polar functional groups formed on the surface; active species (OH, N2, O) are generated during plasma irradiation; | Water contact angle decreased by 49.7 %; surface free energy increased by 41.3 %; Sheer strength of modified CF-reinforced plywood increased by 50 %; | [63] |
| Carbon fibers, T700 based non-crimp fabric (NCF UD, 400 gsm) | Hydrophobic (C8, unsaturated fluorinated monomer) coating on CF surface by inert gas plasma treatment; | 71 % growth of loss factor; CFRP (epoxy matrix, biresin CR80) material with reduced sound emission due to reduction of the fiber-matrix bonding via hydrophobic and non-polar treatment; | [64] |
| Ultrahigh molecular weight polyethylene (UHMWPE) fibers; diameter, 40 μm; provided by Dacheng Advanced Material Co., Ltd., China | Chromic acid pretreatment; bamboo like polyethylene crystals were formed on the surface of pretreated UHMWPE using solution crystallization; pretreated UHMWPE were added to the p-xylene solution of polyethylene (110 °C for 10 min); the mixture cooled to 96 °C and allowed to crystallize for 3 h | Strength and toughness of modified UHMWPE epoxy composites improved simultaneously; tensile modulus increased from 57.8 to 73.5 GPa; bending modulus increased from 45.4 %; ILSS enhanced by 71.9 % ; | [65] |
| Carbon fibers prepared from oxidized coal, polyacrylonitrile and pitch | Depositing pitch on the modified carbon surface and subsequent carbonization; | Super hydrophobic CFs with a water contact angle of 159.5°; used for gravity driven oil/water separation ; 98 % separation efficiency; flux, 3600 L/m2 h; | [66] |
| Polyimide (PI) organic carbon fibers | Surface modification with silane coupling agent (KH-550) is better than SiO2 sol-gel or ozone treatment; formation of Si-O-Si groups at the interface of PI/epoxy composite; | Polar surface functionality (Si-O-Si) increased; surface roughness increased by an order of magnitude; water contact angle decreased from 111.1 to 82.3°; IFSS and ILSS of PI/Epoxy composites enhanced by 15.6 and 18.2 % respectively. | [67] |
| Rayon carbon fibers | Oxidation and grafting modification to generate enriched oxygen and nitrogen groups; | Improved electric double layer performance; lower capacitative impedance; high sensitivity marine electric field sensor; | [68] |
| Carbon fibers | Inductively coupled RF plasma (ICP) treatment for surface oxidation; carboxyl and hydroxyl groups are formed; | Interfacial property of composites with bismaleimide (BMI) resin enhanced; surface roughness, surface free energy, and wettability improved | [69] |
| Carbon fibers (length, 2 mm) provided by Nanjing WeiDa composite Material Co Ltd., Nanjing, China | Conc. HNO3 treatment (60 °C, 3 h) | Flexural strength and modulus of CF reinforced ultrahigh molecular weight polyethylene (UHMPE) increased to as high as 157 Ma and 9.82 GPa respectively; | [70] |
| Carbon fibers from Good fellow, Huntingdon, England | Polymer (PEI) surface coating; | Limit of detection of 3-methoxy tyramine, 3 MT; 3, 4-dihydroxyphenyl acetic acid, DOPAC, 58.2 nM (enhanced by 80 %) | [71] |
| Carbon fibers (T700-12K-50C, average diameter, 7 μm) Toray Industries Inc., | Copolymerization of dopamine and poly (amidoamine); | IFSS, ILSS and impact strength increased by 78.57, 62.39 and 75.12 % respectively | [72] |
| Carbon fibers (PAN based, T 300, 3K, diameter 7 μm; density, 1.76 gcm-3, tensile strength, 3.53 GPa) | Layer by layer (LbL) selfassembly to deposit graphene oxide/silica (GO/SiO2) multilayers on CF surface based on electrostatic interactions; | IFSS, ILSS and flexural strength increased by 86.1, 89.3 and 30.4 % | [73] |
| Carbon fibers supplied by Jilin carbon co. Ltd., ; coated with epoxy resin; density, 1.76 gcm-3; diameter, 6.44 μm; | Desizing, oxidation with AgNO3 and K2S2O8 (to form CF-COOH); treatment with LiAlH4 (to produce CF-OH); grafting with γ-amino propyl triethoxy silane (γ- APS) as coupling agent | IFSS, flexural strength, and flexural modulus enhanced by 52.9, 29.1 and 42.6 % | [74] |
| Carbon fiber tow (3K, T300, Toray co, Ltd., Japan) | Uniform TiC/Ti2AlC coating by in situ reaction with molten salts; subsequent pyrolytic carbon layer deposition through pyrolysis of phenolic resin; desizing followed by coating with TiC/Ti2AlC with Ti and Al powders as respective precursors; | High resistance to temperature, oxidation and corrosion; application in high performance CF/SiC composites for aerospace, and nuclear industries; | [75] |
| CF fabric (3K-T300-plain) supplied by Toray industries, Inc., Tokyo, Japan | Aminated polyether ether ketone (PEEK-NH2) grafted to CF surface; | ILSS improved by 33.4 %;Modified CF is compatible with PEEK matrix for CFRP formation | [76] |
| Carbon fiber, PAN based with epoxy/polyurethane sizing (H TS 40 FB, Teijin Carbon Europe GmbH,, Wuppertal, Germany) | Oxyfluorination (F2/N2 mixture with 10:90 vol %) at room temperature for 180 S | Desized; surface bound fluorine content and oxygen functionality enhanced; strength of fibers increased by 10 % | [77] |
| Carbon fiber T700SC-12000-50C; diameter, 7 μm; tensile strength, 4.9 GPa; with 1 % sizing on the surface | Amine functionalization of CF surface using 4-(aminomethyl benzene derivative; grafting tosylated lignin derivative to arylamine functionalized CF | IFSS increased by 27 and 65 % with epoxy and cellulose propionate matrices | [78] |
| Carbon fibers | Grafting of aryl sulfate with aryl amine pendant groups; Exposure of fibers to an atmosphere of sulfuryl fluoride (SO2F2) gas lead to fluoro sulfate functionality ; exchange with aryl silyl ether to form pendant aryl amino group | IFSS improved by 130 % in the epoxy resin composite | [79] |
| Carbon fibers, PAN based; diameter, 7 μm; density, 1.76 gcm-3 ; provided by Sino steel Jilin carbon co, China | Desizing; oxidation with AgNO3 and K2S2O8; CF-COOH is grafted with polyethylene imine in supercritical methanol | Polarity, wetness, roughness of modified CFs enhanced;Water contact angle decreased from 85.68 to 36.54°; surface energy increased from 31.3 to 66.62 mNm-1IFSS of the modified CF epoxy composite increased by 40.60 % | [80] |
| Carbon fibers, PAN based; based; diameter, 7 μm; density, 1.76 gcm-3 ; provided by Sino steel Jilin carbon co, China | Polyether amines; covalently grafted and coated onto oxidized CF surface (CF-COOH) to form CF-g-PEA | Polarity, wettability, roughness, and IFSS increased | [81] |
| Carbon fibers | In situ formation and deposition of graphitic carbon nitride (g-C3N4) on CF surface | Polar functional groups, roughness, wettability enhanced; water contact angle decreased from 75.37 to 46.37°; surface energy increased by 65.6 %; ILSS, IFSS, tensile strength, absorbed energy of impact enhanced by 16.4, 43.2, 16.9 and 30.3 % | [82] |
| Carbon fibers, T300; diameter 7 μm provided by Toray, Japan | Evaporation induced surface modification; deposition of polyether imide (PEI) nanoparticles on the CF surface; PEI, optimal conc. 0.2 %; | IFSS enhanced by 44.02 % | [83] |
| SIGRA FIL® C30 T050 supplied by SGL carbon GmbH | Low pressure ammonia plasma treatment | Nitrogen content of the fibers enhanced; wettability and surface energy are enhanced | [84] |
| H TS 340, provided by Toho Lamac Co., Ltd., Tokyo, Japan | Grafting of maleic anhydride followed by deposition of intumescent flame retardant (IFR) | Synergistic activity of maleic anhydride grafting and intumescent flame retardant (P, N and O) on the enhancement of flame retardency and mechanical property | [85] |
| Mesophase pitch based CFs without sizing | Microwave oxidative etching of CF surface (dispersed in water) in the presence of micro plasma ; etching of surface GO layer | Oxygen containing functionalities enhanced; nitrogen heterocyclic rings of the bulk of CFs were exposed; IFSS of modified CF with epoxy resin composite enhanced | [86] |
| T300 grade CFs (3K) produced by the institute of coal, chemistry, Chinese Academy of Sciences | Grafting of acrylamide on CF surface | IFSS and ILSS of polyimide composites enhanced by 86.96 and 55.61 % | [87] |
| CF (3K; diameter, 7 μm) provided by Toray industries | Hydroxyl groups were formed on CF surface (by aryl diazonium reaction) followed by chemical grafting with octamaleamic acid-polyhedral oligomeric silsequioxanes (OMA-POSS) | Polarity and roughness increased with grafting density; IFSS and ILSS enhanced in the silicon composites by 65.87 and 70.89 % | [88] |
| PAN based CFs from Jilin Jiyanhigh technology fiber, Co Ltd., Jilin, China | Methyl acrylate grafting to generate carboxyl functionality | Shear and tensile strength of modified CF’s enhanced by 90.3 and 78.7 %; wear rate decreased by 52.7 % in the phenolic composite of methyl acrylate grafted CF’s | [89] |
| Carbon fibers (length, 10 mm; diameter, 7 μm) | Desized by boiling in propan-2-ol; chemical prefunctionalization by treatment with either H2O2 or aqua regia followed by treatment with 1 M CaCl2 at 80 °C for 24 h; deposition of calcium phosphate crystals on CF surface; | Mechanical properties (strength and work of fracture) of calcium phosphate cement (CPC) were enhanced by injectable and load bearing substitutes; strength increased by a factor of 4 and work of fracture increased by 2 orders of magnitude; | [90] |
| UHMWPE (ultrahigh molecular weight polyethylene) fibers (diameter, 20 μm; molecular weight, 4.5 million) | Ozone treatment (generate oxygen functionality) followed by UV irradiation polymerization grafting of glycidyl methacrylate (GMA) onto UHMWPE fiber (ultrahigh molecular weight polyethylene) | Interfacial adhesion force of UHMWPE fibers with rubber matrix enhanced by 79 % | [91] |
| Carbon fibers | Desizing CFs were coated with a layer of polydopamine with di-coating method; | Bending strength and modulus increased by 71.3 and 36.9 % | [92] |
| Carbon fibers | Hydrothermal treatment with glucose followed by carbonization to form amorphous carbon layer on CF surface | ILSS of CF/polyimide composite enhanced; IFSS of CF/polyether ether ketone is enhanced; oxygen functionality (C-O, C=O) generated | [93] |
| T700SC-12000-60E CFs, epoxy sized, provided by Toray carbon Europe | Grafting of hydroxyethyl methacrylate on CF surface by free radical polymerization of vinylic monomers | Tensile strength and ILSS increased by 10 and 20 % | [94] |
| CF, T700 SC 12K, Toray, Japan | Co deposition of polyethyleneiminie/polydopamine (PEI/PDA) on CF surface by oxidation co-polymerization | Surface energy enhanced by 70.5 %; 45.7 % increase in apparent activation energy (290 kJ/mol) which is a reflection of strong interaction between PEI/PDA layer and matrix; | [95] |
| Carbon fibers | Mechano chemical modification by simple rubbing | Surface modification facilitated surface oxidation; oxygen functionalities (hydroxyl, alkoxide, carbonyl and carboxyl groups were generated); modification confined to first few atomic layers | [96] |
| Carbon fibers, JT-400A-3K, diameter, 6.8 μm; linear density, 0.175±6 g/m; density, 1.76 g/cm3; provided by Jilin Shen Zhou Carbon fiber Co Ltd., | Chemical grafting of hyper branched polyglycerol (HPG) via anionic ring-opening polymerization | IFSS and ILSS the epoxy composite enhanced by 90.69 and 49.83 % | [97] |
| Carbon fibers (5631 12K) provided by Toho Tenax Co Ltd., Tokyo, Japan | Sol-gel coating prepared by the hydrolysis and condensation reactions between tetraethyl ortho silicate (TEOS) and one of the four organic compounds namely, (3-amino propyl) trimethoxy silane, (3-mercaptopropyl) trimethoxy silane, 2-(3, 4-epoxy cyclo hexyl) ethyl trimethyoxy silane and methyl trimethoxy silane, depending on the kind of functionality required | Si-O-Si, epoxy, SH, CH3 functionalities were generated on CF surface; Stiffening and clumping of fibers is prevented by functionalization; oxide network structure with organic functional groups is generated; surface enhancement is maximum in coatings leading to the formation of epoxy functional groups | [98] |
| Carbon fibers (T700SC-12000-50C, 12k); tensile strength, 4.9 GPa; diameter, 7 μm; density, 1.8 gcm-3 | Surface functionalization using poly(oxopropylene) diamines (D-400) as coupling and curing agents | Polarity, wettability and surface roughness enhanced; tensile strength increased by 8.2 %; IFSS of modified CF/epoxy composite enhanced by 79.1 % | [99] |
| PAN based CFs (CH-CF 1k), provided by Shanghai Chem Fiber Technology Co, Ltd, ChinaSingle filaments per two, 12000; tensile strength, 4.9 GPa; tensile modulus, 230 GPa; diameter, 7 μm; elongation, 2.1 % | Supersonic atmospheric plasma spraying; the power composition used for spraying is 30-50 wt.% Si, 30-40 % KMnO4, 10-20 wt. % C and 4-8 wt.% TiO2; slurry of the spray powder prepared in distilled water with polymeric binder | ILSS of the polypropylene/polystyrene (blends) composites with modified CFs enhanced; water contact angle of the composite enhanced by 50 %; O/C ratio enhanced by 67.9 % | [100] |
| Carbon fibers produced by Toho Tenax Co, Ltd., USA | Hydrogen plasma treatment, via plasma enriched chemical vapour deposition (working temperature, 500 °C; pressure 360 mTorr); | Density of functional groups increased; tensile properties enhanced both at room temperature and high temperature (150 °C); | [102] |
| Carbon fiber rovers (bundles) | Coating thin layers (2-30 nm) of polymers, namely, poly(acrylic acid) and poly(hydroxyl ethyl methacrylate) using electron spray-ionization (ESI); | Adhesion between CF and polymer matrix (epoxy resin) enhanced; IFSS enhanced by 170-285 % | [103] |
| PAN based chopped carbon fibers provided by Hangzhou Gaoke composite Co Ltd., | Oxidation with conc. HNO3 followed by thermal treatment of 400 °C for 2 h; | Oxygen functionality generated (C-O; O-C=O); tensile modulus, flexural strength, flexural modulus of composites (nylon 12, PA12, matrix) enhanced by 11, 11, and 5 % | [104] |
| Carbon fibers (T700-12000-50C) from Toray industries | Oxidation of CFs by treatment with HNO3 at 80 °C for 4 h followed by depositing nanoporous Zr based metal organic frame works (UiO-66-NH2) on CF surface; | Surface energy and tensile strength enhanced by 102 and 11.6 % respectively; ILSS enhanced by 50.2 % | [105] |
| PAN based CFs provided by Sino steel Jilin carbon Co, China | Step wise growth of melamine-based dendrimers | Surface roughness, and wettability enhanced; IFSS and impact strength of the epoxy based composite enhanced by 61.8 and 39.9 % | [106] |
| Micrometer sized magnetic carbon fiber (MSMCF) | Coating polydopamine/polyethyleneimine complex on micrometer sized magnetic carbon fiber (MSMCF) | Sorbent for extracorporeal blood-cleansing in hemoperfusion | [107] |
| Carbon fibers | Grafting poly (glycidyl methacrylate) chains onto CF surface by RAFT polymerization | Compression strength, tensile strength, flexural strength and ILSS of epoxy composite enhanced by 63.1m 37.9, 55.6 and 122.5 % respectively | [108] |
| Tenax® HTS 45 12K 800 tex CFs provided by Toho Tenax | Oxidation with conc HNO3 (70 °C, 90 min); co oxide and Fe2CoO4 were deposited on CF; | Flexural modulus and flexural strength enhanced by 16 and 62 % respectively | [109] |
| JT-400A-3K, diameter, 6.8 μm; linear density, 0.175±6 g/m; density, 1.76 g.cm3; provided by Jilin Shen Zhou carbon fiber co., | Chemical grafting of linear amine terminated poly (amido amine), PAMAM, dendrimers | ILSS enhanced by 53.13 % in the modified CF epoxy composite | [110] |
| JT-400A-3K, provided by Jilin Shen Zhou carbon fiber co., | Grafting of polyhedral oligomeric silsesquioxane (44) through poly (amido amine) PAMAM, coupling agent to generate CF-PAMAM-POSS | Surface energy and wettability enhanced; ILSS and IFSS of composites (epoxy matrix) increased by 48 and 89 % | [111] |
| PAN based T800 unsized CF’s | Doping with para-amino benzoic acid (PABA) | cytotoxicity minimized; compressive strength enhanced by 27.4 % | [112] |
| Pitch based carbon fibers (XN-50®, Nippon graphite fiber Co.,); strength, 3.9 GPa; modulus, 520 GPa | Coating of ester functionalized phenoxy resin based material on CF surface; | ILSS enhanced by 20 % in the composites with polyamide 6 (PA 6) matrix | [113] |
| PAN based CFs provided by Toray, Japan | Treatment with silicone peroxide [tris(tert-butyldioxy)-vinyl-silane (VTPS)] Si-CH=CH2 groups generated that acted as covalent bonding bridges between CF and resin matrix (polydimethyl siloxanes, PDMS) | Tensile strength and tear strength enhanced by 52.3 and 340 % | [114] |
| Carbon fibers | Oxidative treatment with conc. H2SO4 and HNO3 in the presence of KMnO4 for 16 h; modified CF was woven into a fabric and cut into a certain width of base band for application as ribbon for printer (printeronix p7010 and p7003H) | Improved life time of the printer ribbon (50 million/number of characters); CF based materials fulfil the nylon 66 ultra-high ribbon requirements | [115] |
| High strength PAN based CF (T1000 GB; Toray industries Inc.) High-modulus pitch based carbon fibers ( K 13 D; Mitsubishi plastics Inc.,) | Amine functionalized CFs obtained by treatment with different agents, namely, ethylene diamine; 4, 4 diaminodiphenyl sulfone, and p-amino benzoic acid (PAB); | N/C ratio increased ; IFSS of the composite (epoxy matrix) enhanced | [116] |
| T700S, average diameter, 7 μm; provided by Toray industries, Inc., Japan | Coating of amine capped poly(cyclotriphosphazene-co-4, 4’-oxydianiline) through in-situ polymerization under mild reaction conditions | Tensile strength increased by 10 % by the healing of surface defects by the formation of poly phosphazene sheath; IFSS increased by 70.5 % | [117] |
| Carbon fibers | Plasma treatment; environmentally safe method | IFSS of the micro composite (poly phenylene sulfide, PPS matrix) increased by 17 % | [118] |
| Carbon fibers (3K), provided by Toray industries, diameter 7 μm; density, 1.76 gcm-3 | Grafting of octaglycidyl polyhedral oligomeric silsesquioxane (gly-POSS) and tetraethylene peptamine (TEPA) were grafted to CF surface in succession | Fiber polarity, wettability and surface energy were enhanced; ILSS and impact toughness of composite (with methyl phenyl silicone, MPSR resin matrix) enhanced by 56.6 and 34.9 % | [119] |
| Carbon fibers in the form of reinforcement cloth bought from Shanghai Yingjia Special fiber Material Co Ltd., Shanghai, China | Oxidation with conc. HNO3 for 3 h; Candida tropicalis immobilized on CF surface for Xylitol fermentation | Hydrophilicity generated; immobilization efficiency of Candida tropicalis enhanced (0.98 g/g modified CF); xylitol yield (70.13 %) and productivity (1.22 gL-1h-1) were enhanced | [120] |
| PAN derived CFs, UKN-M-12K provided by Argon Ltd, Russia;Specific weight, 1.75 g/cc; diameter , 7 μm; elastic modulus, 220 GPa; tensile strength, 3.0 GPa | Coating of Al2O3 (3.3 wt. %) (by soaking in Al(OH)3 followed by annealing at 800 °C) as protective layer followed by grafting with CNT | IFSS of the composite (with polyurethane matrix) enhanced by 144 %; composite stiffness and thermal conductivity enhanced; flexible composites with outstanding delamination resistance | [121] |
| PAN based T800 CFs supplied by Petro China Jilin Petrochemical company (Jilin, China) | Controlled chemical oxidation with H3PO4/H2SO4/HNO3; soaking in mixed H3PO4/H2SO4/HNO3 for 1 h at 60 °C; | Anode electrode material for Li ion batteries; presence of H3PO4 in the electrolyte restricted the formation of surface defects during modification; tensile strength of the original CF’s preserved | [122] |
| PAN based CFs, T300, with 3000 single filaments per tow; provided by advanced fiber research center, Iran | Oxygen plasma treatment (1 min; 125 W; oxygen flow rate, 1000 1 cm3STP/min); high power and long exposure reduced the tensile strength and ILSS of CFs | ILSS of the composite (epoxy matrix) enhanced by 28 %;reactive functional groups increased; surface roughness enhanced | [123] |
| Carbon fibers | Microwave irradiation in ionic liquid [1]-ethyl-3-methyl imidazolium bis (trifluoromethyl sulfonyl) imide] and organic solvent, 1, 2-dichlorobenzene | 28 % enhancement in interfacial adhesion | [124] |
| PAN based CFs, T300 B, provided by Toray Co., | Vinyl groups of coupling agent N-(4-amino-phenyl-2-methyl-acrylamide (APMA) were grafted CF surface, APMA-CF | IFSS and the flexural strength of composite (vinyl ester resin matrix) enhanced by 90.53 and 19.4 % respectively | [125] |
| Carbon fibers | Electro-chemical method | Functionality improvement | Reference |
|---|---|---|---|
| Toray T700, 7 μM diameter (polyacrylonitrile based carbon fibers) | Electrochemical oxidation:Carried out in a two-electrode cell (PAN anode and graphite cathode) with H3PO4 (0.5 M) as electrolyte with a current density of 5 A/g for 5 min. | Due to oxidation, the amount of oxygen functional groups, namely, hydroxyl, carbonyl and carboxylate increased; these groups made the carbon fibers hydrophilic; contact angle decreased from 142 to 52° | [126] |
| High modulus carbon fiber (HMCF, 6 K), diameter 5.2 μm;Bulk density – 1.846 g/cm3Linear density – 0.238 g/mTensile strength – 4.0 GPaTensile modulus – 410 GPa | HMCF was anodized (oxidized) by electrochemical oxidation in the electrolyte (NH4)2SO4 followed by electrochemical grafting with diethylenetriamine (DETA) by electro chemical grafting; | As a result of the two stage electrochemical oxidation and grafting, oxygen and nitrogen containing surface functional groups were formed on the surface of the highly inert and unreactive HMCF; ILSS of functionalized HMCF/epoxy composites increased by 257 %; | [127] |
| Carbon fiber (no further details available) | A ultrasound (40 kHz; ultrasonic bath) assisted anodic oxidation (+2 V) in alkaline medium; sono anodization was performed by immersing electrochemical cell in a ultrasonic clean bath; kinetics of electro-oxidation increased by sonication; | C-O functionality increased at the expense of C-C and C=C; carbon edge defects increased; contact angle decreased from ~115 to ~40°; increase in wettability is attributed to formation of carboxyl and C-OH functionalities; | [128] |
| HT40 E13 6K 400 tex provide by TohoTenax®-E (PAN derived CF, epoxy sized diameter, 7 μm; tensile modulus, 238 GPa; tensile strength, 3.9 GPa) | Active screen plasma functionalization; radicals generated in the plasma using gas mixtures of N2-H2-Ar modify the CF surface; the applied voltage was in the range of 300-400 V between the active screen (cathode) and the wall of the furnace (anode); | Structural disorder of modified CFs reduced; surface crystallite size and tensile strength of the modified CFs increased; Flexural strength of the CF-epoxy composite increased by 3.8 % and ILSS increased from 43.7 to 43.9 MPa; | [129] |
| HF 100 PAN based carbon fiber (12 K, tensile strength ≥ 3530 Mpa; elastic modulus, 230 GPa; density, 1.789 cm-3; diameter, 7 μm); provided by Jiangsu Hengshen Incorporated Company (Jiangsu, China); obtained by carbonization without surface treatment and sizing; | Anodic oxidation (current density: 0-6 Am-2) with 5 wt.% NaOH followed (electrolyte) followed by rinsing with HCl (0.1 M) | IFSS of CF-epoxy composite is enhanced by 15 % when CFs are treated in NaOH electrolyte followed by HCl treatment | [130] |
| Carbon fibers without sizing agent; supplied by Hengshen Co Ltd., Jiangsu, China; diameter, 7 μm; density, 1.78 g/cm3 | Electrophoric deposition (EPD) of graphene oxide (particle size distribution, 0.5-10 μm) on CFs followed by electro polymerization of itaconic acid and p-aminobenzoic acid; For EPD process, | ILSS of CF-epoxy (E51) composite enhanced by 37.6 %; tensile strength of CF monofilament increased from 3.01 to 3.22 GPa; water contact angle decreased from 119.9 to 30.2°; Tg increased by 7.15 °C and storage modulus (E’ at 35 °C) increased by 73.9 % | [131] |
| Pure carbon fiber was provided by Suzhou Institute of Nano-Tech and Nano-Bionics (SINANO), Chinese Academy of Sciences | Ni coated on CF surface was achieved by electroplating method; NiSO4 6 H2O was the main Ni source; CF is used as cathode placed between two nickel anode plates in the electroplating bath; | Electro thermal conversion efficiency of Ni coated carbon fiber (NCCF) bundles was 32.5 % higher than untreated fiber based composites; The composite material has E heating (de-icing) application in aerospace, wind turbine, civil infrastructure building for cold climatic regions | [132] |
| Pristine unsized CF, 12k tow, Carbon Nexus | Electro reductive grafting of aryl diazonium salts followed by in situ polymerization of monomers onto CF surface to impart colour to CF; | Blue CFs with application in smart composites produced; exposure to different solvents varied the colour of CFs from blue through the visible spectrum; tensile strength of treated fibers increased by 12 % ; 300 % enhancement in the fiber to matrix (epoxy) adhesion observed compared to control; | [133] |
| Carbon fibers, PAN based with epoxy sizing supplied by Toho Tenax (Tenax® - EHTS40 F13 12 K yarn fineness 800 tex Toho Tenax Europe GmbH Wuppertal, Germany) | Oxygen containing calcium species (calcite) was coated on CF by anode electro oxidation in cement pore solution (3 V, 15 M); | Shear bond strength of CF increased by 37.9 %; compatibility and mechanical properties of modified CF-cement based composites enhanced. | [134] |
| Carbon fibers, PAN based, 6000 filaments per tow; prepared in the laboratory | Two stage process of surface modification; electro oxidation (enhanced oxygen functionalities) and grafting of silane coupling agent (KH 550) | IFSS and ILSS of CF/EP composites increased by 73.1 and 61.2 % respectively. | [135] |
| HMCF (high modulus carbon fiber), tensile modulus, 410 GPa; tensile strength, 4.0 GPa; diameter, 52 μm, 6 K) obtained by the carbonization of PAN based CF (at 2400 °C) | Multi stage anodization (electron oxidation, with NH4HCO3 followed by (NH4)2SO4; | ILSS increased by 299 % (from 23.3 to 93.1 Mpa) | [136] |
| Carbon fibers (unsized and unoxidised); provided by Carbon Nexus at Deakin University, Australia | Electrochemical reduction of nitro aryl diazonium salt to graft amine groups of CF surface followed by depositing perfluoroalkyl chains on CF surface | Hydrophobicity generated; fiber to matrix adhesion increased as high as 216 %; water contact angle increased from 98.4 to 135.5° | [137] |
| Carbon fibers (PAN based) HTA 40 E13 3K CF from Toho Tenax Europe GmbH (HTA) | Thermal desizing followed by electrochemical oxidation with NH4HCO3 solution as electrolyte | Interfacial fracture toughness enhanced; surface oxidation of CF improved the siliconization (liquid silicon infiltration) leading to enhancement of mechanical property | [138] |
| Continuous carbon fibers (T700 SC-12K), diameter, 7 μm; tensile strength, 4.51 GPa; tensile modulus, 248 GPa | Electro oxidation with 1 M HNO3, at 150 mA, for 1 h | Reactive oxygen and nitrogen functional groups formed (C-O, C=O, C-N, C=N, O=C-O); surface roughness enhanced; interfacial adhesion between modified CFs and high density polyethylene (HDPE) enhanced | [139] |
| Carbon fiber fabric | Electrolytic plasma spraying for coating SiO2/SiC on carbon fiber fabric using Na2SiO3. 9H2O as electrolyte; spraying distance (15 mm) is a crucial parameter; | Oxidation resistance temperature increased up to 1000 °C; tensile strength enhanced by 48.77 %; | [140] |
| Carbon fiber (5 μm diameter) | Electro deposition of gold thin film on CF surface | Improved performance as microelectrode for the detection of catecholamine and dopamine | [141] |
| Carbon fibers (unsized, electrolytically oxidized) provided by carbon Nexus at Deakin University, Australia | Surface grafting through Kolbe decarboxylation reaction; electrochemical oxidative grafting of benzyl groups (-CH2-Ar-CH2-Ar) | IFSS increased by 112 % | [142] |
| Ni coated carbon fibers, 12k 50 NiCCF tow, provided by Toho-Tenax | Desizing followed by electro oxidation in NaOH (0.1 M) in the potential range of 1600-1800 mV vs RHE | Oxygen evolution reaction (in the water electrolysis for H2 production) reaction kinetics enhanced from the reduction of charge transfer resistance and modification of Tafel polarization slopes | [143] |
| Carbon fibers unsized and electronically oxidized, produced by carbon Nexus at Deakin University, Australia | Reductive electrochemical deposition of diazonium salt to generate pendant amine and carboxylic groups | Composites of CF with amine pendant groups with epoxy matrix showed 172 % enhancement in IFSS | [144] |
| Carbon fibers | Electrochemical copolymerization of acrylamide and acrylic acid using cyclic voltammogram in H2SO4 electrolyte | Tensile strength of the composite (with epoxy matrix) enhanced | [145] |
| Toray carbon fibers (T-700-12k-60E); strength, 4.9 GPa; modulus, 230 GPa; density, 1.80 g/cm3; diameter, 7 μm; sizing type, 60E, sizing volume, 0.3 vol % | Functionalization with active screen plasma treatment (300 V for 5 min) with a gas mixture of 25 % N2 and 75 % H2; | surface enriched with nitrogen functionality; amine and pyridone type nitrogen were introduced; quinone (C=O) and ester (O-C=O) type oxygen functionalities were formed; wettability increased; water contact angle decreased from 80 to 41° | [146] |
| PAN based carbon fibers (T700 SC, 12K tow fibers) provided by Toray industries Inc., | Electrochemical oxidation of CF in H2SO4 electrolyte followed by grafting with 4, 4’-diphenyl methane diisocyante (MDI) | Tensile strength of MDI-CF composites (polyurethane matrix) increased by 99.3 % ; friction loss decreased by 49.09 % | [147] |
| Carbon fibers | Coating of polyacrylic acid layer of CF surface by the elctropolymerization of acrylic acid | ILSS of the composite (epoxy matrix) enhanced by 123 % | [148] |
| Carbon fibers HTS40, Toho Tenax | Adsorption of poly(methyl) methacrylate (PMMA) particles on the desized CF surface by electrophoresis | IFSS enhanced | [149] |
| PAN based CFs; 48k; A-company, Jeonju, Korea | Electrochemical oxidation; electrolyte (ABC) undisclosed | Oxygen (-OH, C=O, COOH) and amine functionalities were introduced; toughness of CFs increased; IFSS of composite (with epoxy matrix) enhanced by 144 %;Surface energy increased from 70.6 to 82.5 mN/m (16.8 %) | [150] |
| PAN based CFs | Electrochemical coating using electrolytes; fatty alcohol polyethylene ether ammonium phosphate (O-3PNH-4; 5 % mass fraction) showed best performance | Hydrophilic acidic functional groups formed; surface energy enhanced | [151] |
| T700 carbon fibers provided by Toray, Japan | nanofibers of polyaniline (PANI) were grown on modified CF surface by in situ electrochemical polymerization; | Functionalization of CF with nitrogen containing compounds enhanced the electrochemical performance of PANI composite for supercapacitor application; faster charge transfer; smaller internal resistance and improved electro chemical performance | [152] |
| CFs based on PAN provided by carbon nexus, Australia | Covalent surface modification; electrochemical grafting of biphenyl groups using diazo benzene precursor | Electric resistance of CFs increased by 250 %; IFSS of epoxy composites enhanced by 19 % | [153] |
| Carbon fibers | Immobilization of Prussian blue crystals on CF surface by electrochemical modification | Potential adsorbent for Cs+ over a wide range of pH values (acidic and basic) | [154] |
| Carbon fibers | Modification method | Functionality enhancement | Reference |
|---|---|---|---|
| Carbon fibers from Donghua university (no further details available) | Hydrophilic Fe3O4 NPs were grafted on the surface of CFs using polyol-assisted hydrothermal method (CFs@ Fe3O4); | Presence of hydrophilic Fe3O4 NPs improved interfacial adhesion of CFs; Hydrophobic CFs were converted to hydrophilic magnetic CF, CFs@Fe3O4@SiO-C/Ni; | [156] |
| T300, diameter 7 μm, provided by Toray, Tokyo, Japan | Coating nanoparticles of polyetherimide (PEI) on carbon fibers by evaporation induced surface modification; | IFSS enhanced by 20.5, 37.7, 52.7, 49.6, 42.5 and 58.0 % as the thermoplastic resin in the composite is varied from PVC, PC, PA6, PP, PA66 to PEI respectively | [157] |
| Carbon fibers (no further details provided) | Desized carbon fibers added to a solution (solvent is atleast one of water, alcohol, acetone, and tetrahydrofuran) of ferrocene derivative Subsequently the ferrocene functionalized CFs were either oxidized or electrooxidized | Though not disclosed, the surface modification of CFs might have formed nanoparticles of Fe3O4 on CF surface making the CFs magnetic and hydrophilic leading to enhancement of their performance in composite materials and catalysis. | [158] |
| T300 (average filament diameter 7 μm); 3 K plain weave mat type carbon fibers; tensile strength, ~3500 MPa; supplied by Toray, Japan | Grafting graphene based nanofillers to CF surface by cathodic electrophoretic deposition (EPD) | IFSS and flexural strength of composite (CF-DGABE type epoxy) enhanced by 35 and 26.6 % respectively | [159] |
| T700-12 K (bidirectional PAN derived); supplied by Toray | Functionalization with MWCNTs by dip-coating technique | Structural, electrical and thermal properties of the composite (modified CF with epoxy matrix) increased | [160] |
| Carbon fibers in the form of carbon cloth (1 K, T300); supplied by Toray Inc., Japan, China | Silicon carbide nanowire functionalized CFs prepared by Si coating followed by thin carbon layer coating and graphitization; | Contact angle decreased by 32°; wear resistance increased by 78 % | [161] |
| Carbon fibers (3K, diameter, 7 μm;Tensile modulus, 230 Gpa; tensile strength, 3500 Mpa;provided by Toray industries, Inc., | Halloysite nanotubes (HNTs) were grafted to CF surface through diethylenetriamine-penta acetic acid bridges | Surface polarity, energy and wettability increased; 17.95 % increase in storage modulus; glass transition temperature enhanced by 17 °C in the CF-MPSR (methyl-phenyl silicone resins) composite; water contact angel decreased from 78.5 to 42.76°; surface energy increased from 35.87 to 62.71 mN.m-1; ILSS and IFSS enhanced by 76.52 and 72.73 % | [162] |
| Carbon fibers (no further information accessible) | Coating oxidized graphite NPs on CF surface with ultrasonically assisted direct current electrophoretic deposition (at 50 V for 5 min) | Transverse fiber bundle test strength enhanced by 113 %; aspect ratio of CF surface enhanced upon modification with oxidized graphite NPs. | [163] |
| Carbon fibers,Diameter, 7 μm;Provided by Toray industries, Tokyo, Japan. | Functionalization with SiO2 NPs through the hydrolysis of tetra ethyl ortho silicate (TEOS) onto poly dopamine coated CFs; | ILSS and IFSS of CF/PDA/SiO2-silicone composites enhanced by 57.28 and 41.84 % | [164] |
| Carbon fibers (no further information accessible) | Functionalization with nanoparticles of Ti, Al by reacting CF with nano powers of Titanium, Aluminum in the presence of KCl, NaCl and phenolic resin and subjecting the treated CF to carbonization at 900 °C for 60 min followed by treatment of the carbon film coated Ti, Al functionalized CFs with LiF and HCl. | ILSS of the composite increased by 20-30 % ; thermal stability of the resulting fiber is claimed to be enhanced upto 900 °C; probably, TiC and AlC NPs might have formed on the CF surface imparting thermal stability to the material | [165] |
| Carbon fibers supplied as carbon fiber cloth (CFC, PAN based) by Avantor performance materials, Poland, S. A., | Ag NPs were deposited on TiO2 by wet impregnation and NaBH4 reduction; Ag NP coated TiO2 was supported on carbon fiber cloth (CFC) by spraying and drying method; Ag/TiO2-CFC | Photo catalyst for the partial oxidation of NO to N2O; NO2 formation hindered by Ag NPs; NO removal rate, 95 %;Possibility of N2O reduction to N2 by modifying Titania | [166] |
| Carbon fiber bundles (24 K, pristine, unsized) supplied by Carbon Nexus, Waurn Ponds, Australia | Deposition of Fe3O4 (magnetite NPs) using ammonium iron (II) sulphate precursor; thermal treatment in N2 at 1000 °C | IFSS improved by 84.3 %; surface energy enhanced by 5.5 % ; ILSS enhanced by 25.9 % | [167] |
| 3 K plain weave mat carbon fiber (T 300), filament diameter, 7 μm | Electrophoretic deposition (EPO) of graphene based nano fillers (GBN), graphene, graphene oxide, graphene hydroxyl, graphene carboxyl; | Graphene-COOH modified CF should highest enhancement in flexural strength (9.6 %) and inter laminar shear strength (22.9 %) | [168] |
| Carbon fiber (diameter, 7 μm, length, 0.1-1 mm) provided by Toray, Japan | Spark plasma sintering for coating SiC; | Improvement in oxidation resistance; temperature (on set) of oxidation increased by 140 °C; (usually untreated CFs gets oxidized rapidly at 500 °C) | [169] |
| T300-3K, 7 μM (from Toray Industries, Inc, Tokyo, Japan) | Uniform layer of SiO2 nanoparticles was coated on the surface of CFs using a polydopamine (PDA) resulting in a nanohybrid coating (PDA/SiO2). | Surface energy of CF was enhanced by 42.5 % due to nano hybrid layer coating. Likewise, water contact angle decreased from 78.5 to 41.89°; ILSS of the composite, CF-PDA/SiO2-methyl phenyl silicone resin (PMSR) increased by 63.59 % by the modification of CF’s with nanohybrid coating. | [170] |
| Carbon (polyphenylene terephthalaide, p-PPTA) fibers, Kevlar® K-29, dtex 3300; provided by Changzhou Gaoyuan group co., Ltd., Changzhou, China | Grafting polydopamine (PDA) plyethyleneimine (PEI)-graphene oxide onto CF surface; | Adhesive properties of CF to rubber matrix enhanced; | [171] |
| Carbon fiber (T-650), 7 μm diameter; Cytec Engineering Materials, West Peterson, NJ | Carboxylated nanodiamond (ND) functionalized CFs | Carbon fiber microelectrodes (CFMEs) for neuro transmitter (for example dopamine) detection; sensitivity of detection increased by 2.1 times; limit of detection improved to 3 ± 1 nm | [172] |
| Carbon fibers (tensile strength, 3500 MPa, Toray industries, Inc., ) | Chemical grafting of silica nanoparticles (SiO2 NPs) using the bridging toluene 2, 4-diisocyanate | Water contact angle decreased from 78.5 to 44.12°; surface energy increased from 35.87 to 50.36 mN/m; ILSS and IFSS enhanced by 50.97 and 35.92 % | [173] |
| Carbon fibers provided by Toho Tenax, HTS 45 E23, linear density 800 tex, Japan | CNT deposition by aerosol spray deposition | Tensile strength of the modified CF/epoxy composite enhanced | [174] |
| Carbon fibers (3 x 103 single filaments per tow; diameter, 7 μm; tensile strength 3500 MPa; tensile modulus 230 GPa; provided by Toray industries Inc., Tokyo, Japan | Carboxyl functionalized holloysite nanotubes (HNTs) grafted to CF surface using 3-aminopropyl triethoxy silane (APS) | Water contact angle decreased from 78.5 to 42.95°; surface energy increased from 35.87 to 62.13 mNm-1; anti hydrothermal aging behavior of the modified CF/methyl phenyl silicone resin (MPSR) composite improved; ILSS retention ratio enhanced by 93.61 % upon hydrothermal aging; | [175] |
| Carbon fiber (12 K, 1.80 g/cm3), diameter, 7 μm; provided by Shenying carbon fiber co Ltd., China | Graphene oxide (GO) modified with hexamethylene diisocyanate (HDI) tripolymer coupling agent and grafting the modified GO to the oxidized CF surface | IFSS enhanced by 40.2 % | [176] |
| Mesophase pitch-based CFs (Mitsubish Chemical Corp) used in the form of brush | Surface coating of CF with poly amine (PANI)/reduced graphene oxide (rGO) | Power density of microbial fuel cell increased by 1.21 times when used as anode electro catalyst; | [177] |
| Unsized T300 PAN-based 12 K tow fibers; provided by Jilin petro chemicals, China | Oxidation with conc. HNO3 followed by treatment with ferrous oxalate; deposition of magnetite (Fe3O4) nanoparticles on CF surface | Removal efficiency of chemical oxygen demand, ammonia nitrogen and total phosphorous increased by 7.18, 10.30, and 9.40 % | [178] |
| Carbon fibers, diameter 7 μm; tensile strength, 3500 MPa; purchased from Toray industries; | Grafting 3-aminopropyl triethoxy silane (APS) to CF; CF-Silaxone was further functionalized with SiO2 NPs (through TEOS hydrolysis) | Presence of Si-O-C bonds at the interface increased hydrothermal aging resistance; ILSS and IFSS increased by 46.79 and 39.61 % | [179] |
| Carbon fibers, 3 mm length and 7 μm diameter | CNT grafted to oxidized CF surface through 3-amino propyl tri ethoxysilane (KH550) coupling agent | Flexural strength of cement pastes at 3, 7 and 25 days enhanced by 48.5, 42.2 and 45.5 % | [180] |
| Carbon fibers, 12K A-42 procured from Dow Aksa, Turkey | Coating of porous carbon with Fe (small particles); Aqueous desized CFs were soaked in a solution of glucose and FeSO4 7H2O followed by drying and high temperature carbonization 950 °C in Ar/H2 for 6 h) | Modified CF find application in textile composites | [181] |
| CF continuous biwoven 0°/90° PAN-based, supplied by MIS zoltek corporation Inc., | Electroless coating of Ni (nano to μm size) on CF surface (20 min); | 70 % enhancement in storage modulus; flexural strength and ILSS enhanced by 20 and 69 % | [182] |
| T-700 PAN CFs provided by Japan, Tenax Co., | In situ growth of CNTs on CF surface using Fe nanoparticles as catalyst by CVD | Flexural strength of the epoxy composite enhanced by 28.1 % | [183] |
| PAN based CF (length, 25-56 μm; diameter, 7 μm); provided by Nanjing fiber glass R and D Institute, China | Coating CF surface with SiO2 NPs (500 nm) by treatment with TEOS in the presence of NH3 | Hardness and elastic modulus of polyimide composites enhanced by 22 and 12.2 % respectively; wear resistance enhanced by 75 % | [184] |
| Carbon fibers (diameter, 6-8 μm; length, 3-5 mm) provided by Nanjing Weida composite material Co Ltd., China | Growth of ZnO nanowires on the CF surface via hydrothermal synthesis | Paper based friction materials; greater wear resistance; stable dynamic friction coefficient; excellent tribological properties; promising wet paper-based friction material | [185] |
| Carbon cloth fibers | Hydrothermal and chemical bath deposition were used to grow Co3O4 nanowires on carbon cloth fibers; and further modified with NiO and MnO2 to produce core shell structure; | Cell configuration of Co3O4@NiO (1:2)/cc(a|c)Co3O4@MnO2 (1:2)/cc , where cc is the carbon cloth support used, exhibited maximum power density of 33.8 mWcm-2 | [186] |
| Carbon fiber | PdCo alloy NPs were supported on CFs by impregnation and reduction process and PdCo/CF was used as anode electro catalyst for the electrolysis of coal for hydrogen production | 16.9 % enhancement in the anode electrocatalyst performance for hydrogen production from coal electrolysis | [187] |
| Carbon fiber T 300 (length, 1 mm; diameter 7 μm; strength, 4900 MPa; tensile modulus, 240 GPa) provided by the Japanese company Toho | Oxidized CF (with oxygen functionality; carboxyl, hydroxyl, carbonyl) was produced by treatment with HNO3; oxygen functionality reduced to hydroxyl groups by treatment with LiAlH4 and NaBH4; hydroxyl groups were further treated with silane coupling agent (vinyl triethoxy silane) to obtain silanized CF which were subsequently functionalized with Ag (treatment with AgNO3 and reduction with NaBH4) nanoparticles followed by grafting with acrylate | Silanized CF-silver-acrylate composite exhibited improved performance of electrical conductivity and antibacterial activity with allocation in medicine; | [188] |
| High strength PAN-based 232 twill weave 3K carbon fabric provided by CNME international, China | Functionalized (hydroxyl carbonyl and ether type) multi walled CNTs were coated on CF surface by electrophoretic deposition (EPD); | Flexural strength and ILSS of modified CF epoxy composites increased by 15 and 18 % respectively | [189] |
| PAN based carbon fiber tow (unsized/untreated, JILIN tow-24K precursor) provided by Carbon Nexus at Deakin University | Amino functionalized nano clay (montmorillonite) nano plates were grafted to the glycedyl trimethyl ammonium chloride functionalized CFs by cation exchange process; | Surface roughness, coefficient of friction and BET specific surface area of carbon fibers were enhanced by 61, 10 and 5 % respectively; | [190] |
| Carbon fibers produced using wet-spun poly acrylonitrile (PAN) as the precursor fiber; unsized carbon fibers provided by carbon Nexus facility at Deakin University | Electrochemical deposition of graphene oxide sheets followed by modification with carbon dots | Improved selectivity and sensitivity (6.5 nA/μM) in the detection of neurotransmitter (dopamine); detection limit 0.02 μM | [191] |
| Toray T700 carbon fibers, diameter, 7 μm; length, 10 cm; | In-situ growth of SC nanofibers by catalytic chemical vapour deposition at 1000 °C using Ni nanoparticles as catalyst coated on CF surface by electroplating from NiSO4 precursor (15 wt.%) | Enhanced microwave absorbance and oxidative resistance; reflectivity of microwave radiation is less than -10 dB in the frequency range of 9.2 to 11.7 GHz; | [192] |
| JT-400A-3K, provided by Jilin Shen Zhou carbon fiber Co Ltd., | Co-grafting of CNT’s and graphene oxide on CF surface leading to uniform coating | Polar functional groups and surface energy enhanced; ILSS and IFSS of composites (epoxy matrix) enhanced by 48.12 and 83.39 % | [193] |
| Carbon fibers (1K T-300TM) provided by Toray industries, Japan | MWCNT’s oxidized by conc. HNO3 treatment followed by grafting onto the CF surface by electrophoretic deposition | Tensile strength, failure strain, Young’s modulus of the composites (epoxy matrix) increased by 9.86, 44.01, and 12.4 % respectively | [194] |
| T700, provided by Toray, Japan | Amine functionalized graphene oxide (GO-NH2) grafted covalently to CF surface | 36.4 % enhancement in IFSS | [195] |
| Carbon fiber cloth | Graphene coating; Glucose oxidase immobilized modified CF used as anode and Bilirubin oxidase immobilized modified CF as cathode in the biofuel cells | Improved performance as electrodes for bio(glucose) fuel cells; power density of the fuel cell enhanced by 85.4 % | [196] |
| PAN based CF two, T700, 12K; provided by Toray industries, Japan | Graphene oxide deposition; treatment with H2O2 and HNO3 in a electrophoretic deposition process | ILSS of the composite (with epoxy resin matrix) enhanced by 55.6 % | [197] |
| Carbon fibers provided by Toray industries Inc., | Grafting of trisilanolphenyl-polyhedral oligomeric silsesquioxanes (trisilanolphenyl-POSS) nanoparticles using toluene – 2, 4-diisocaynate (TDI) as briding agent | ILSS and impact resistance of composite (methyl phenyl silicone resin, MPSR matrix) enhanced by 41.91 and 28.65 % respectively | [198] |
| Carbon fibers, T700SC-12000-50C, 12K, provided by Toray industries, Inc., | Ag NPs deposited on CF by electrochemical means in the presence of poly(vinyl pyrrolidone) to control the geometric shape and size of Ag NP’s | Tensile strength of Ag-CF enhanced by 52.7 %; IFSS of composite (epoxy matrix) enhanced by 27.2; 2 fold enhancement in electrical conductivity compared to pristine CF observed | [199] |
| Surface modification method | Reference |
|---|---|
| UV-ray irradiation for C-C bond scission | [205] |
| Imidization for molecular assembly of condensed aromatic ring structure | [207] |
| Oxidation with H2SO4 | [208,209] |
| Oxidation with HNO3 followed by Si-O-Si grafting by treatment with silane coupling agent | [210] |
| Sizing with thermoplastic comprising of cyclic phenyl sulfide | [211] |
| Desizing, plasma treatment followed by sizing | [212] |
| Graphitized spinal nano CF mixed with ethanol and ball milled followed by acid treatment | [213] |
| Desizing; oxidation with a mixture of H2SO4 and HNO3; CN functionalization followed by applying performance paint for CF blade for wind power application | [214] |
| CF in the form of woven carbon fiber (WCF) were treated with plasma followed by coating nanoparticles of ZnO | [215] |
| Sizing with thermosetting resin; -COOH groups generated on the CF surface | [216] |
| CNT functionalized CF; ILSS increased by 15 % | [217] |
| Sizing with polycarbonate followed by silane agent KH-550 to generate Si-O-Si functionality | [218] |
| Desizing; plasma treatment; coating with thermoplastic type resin oil agent (oil agent is of a poly urethane, polyethylene, polypropylene or acrylic type); interfacial bonding in composites enhanced | [219] |
| ZnO NP functionalized CF for ultrahigh capacity super capacitor application | [220] |
| Graphene oxide grafting to silane functionalized CF’s by electrophoretic deposition; IFSS of the composite enhanced | [221] |
| Nano silica (20-100 nm) functionalized spiral nano carbon fiber | [222] |
| Electro oxidation of CF (obtained from heating asphalt and PAN at 1200-3000 °C) using composite electrolyte containing nitrogen (urea) and –OH group (glycerol) containing compound; oxygen and nitrogen content enhanced; adhesion of CF to rein matrix improved | [223] |
| Acryl chloride based CF grafted with branched tannic acid; IFSS increased from 49.5 to 93.2 Mpa | [224] |
| CF modified with double sizing agent; treatment with silane agent (generates Si-O-Si groups) followed by grafting amino functionalized MWCNTs; cutting performance of composite enhanced by 24 %; tensile property improved by 29 %; | [225] |
| Carbon nanofiber surface modified by treatment with silane, titanate and aluminate coupling agents; impact strength increased by 30 % | [226] |
| Electron beam (50-1000 kgy; 1-3 mev) irradiation of acid treated CFs; multifunctional groups formed; mechanical strength improved | [227] |
| Polypyrrole coating on CF’s by in situ polymerization of aqueous solution of pyrrole in the presence of oxidizing agent; good adsorption efficiency for sewage pollutants | [228] |
| Enzymes (xylanase, invertase, alphaarabinose, glycosidase and lignin peroxidase) grafting on to organic agent (succinic acid, lactic acid in the presence of H3PO4) modified by microwave irradiation (15 min; 915-2450 MHz); potential catalyst for biomass conversion; | [229] |
| CF oxidized (with KMnO4, H2O2, potassium perchlorate, potassium ferrate) and reduced (with HCl, HBr, oxalic acid, oxalate) followed by grafting biological species; used as biological bomb and biomedical material | [230] |
| Double phase CNTs grafted to CF surface for power source devices | [231] |
| CF is surface grafted with acryl amide; improvement in shear strength and mechanical property | [232] |
| Nitrogen doping on CF surface by heat treatment in nitrogen containing atmosphere (NH3 gas; N2 gas); application as oxygen reduction electro catalyst (cathode) in oxygen dissolved seawater battery | [233] |
| Electro oxidation, carbonization and activation resulted in acid-base active sites; enhanced hydrophobicity and pollutant adsorption from sewage waste; | [234] |
| SiC NPs coating on CF followed by ball milling; toughness and wear resistance of material enhanced | [235] |
| CF functionalized with titanium carbide and titanium diboride NPs, CF/TiC-TiB2; wear resistance, corrosion resistance and fatigue resistance enhanced; material is applicable for the fabrication of ship, automobile and air craft components; | [236] |
| Ultrasound assisted electro chemical oxidation with KMnO4 in the presence of ammonium salts like ammonium carbonate; tensile strength increased; | [237] |
| Graphene (mono/multilayer) coating followed by plasma (methane, ethane, ethane, ethyne, benzene, and ethanol) treatment | [238] |
| Desizing, oxidation (with H2SO4 and HNO3) followed by grafting of thermosetting resin (unsaturated polyester resin, epoxy or phenolic resin); minimal performance loss; | [239] |
| Oxidation with H2SO4; reduction with LiBH4; deposition of TiO2 NPs from tert butyltitanate precursor; wettability, roughness of the modified CF enhanced; mechanical properties of the composite increased; | [240] |
| Treatment with silane coupling agent KH560 (RTM: 3-glycidoxy propyl trimethoxy silane); dispersion of the CF by treatment in diethyl ether and LiBH4 under ultrasound irradiation | [241] |
| TiO2 NPs deposited on CF surface by treatment with titanium acid ester coupling agent; followed by thermal treatment in air at 600 °C; ILSS improved to 124.6 MPa; | [242] |
| Pt NPs and Al2O3 NPs (using trimethyl aluminum precursor) were deposited on CF surface; heterogeneous catalyst with reduced hydrogenation activity; | [243] |
| Oxidation (treatment with H2SO4 and HNO3) followed by treatment with fluorinated organosilane in DMSO; used as filter screen filler with pore size 2-100 μm | [244] |
| Oxidation with conc. HNO3 followed by polyimide coating; improvement in mechanical property; | [245] |
| Desizing, oxidation (conc HNO3 treatment), amination (by treatment with 3-amino propyl triethoxy silane) grafting graphene oxide; wettability and surface roughness enhanced; strength enhanced by 20-50 %; toughness enhanced by 35-40 % | [246] |
| Coating silicone layer (< 1μm); modified CF should excellent stability; enhanced strength and rigidity of the CFRP | [247] |
| Grafting of methyl methacrylate (MMA) monomer to Ni (submicron) coated CF; application in high temperature plastics with electromagnetic shielding potential | [248] |
| Hydroxy functionalized CF (treatment with EtOH followed by ball milling) were grafted with pyrrole monomers followed by oxidation with H2SO4; modified CF/poly pyrrole composite exhibited excellent electromagnetic wave absorption performance in 7-17 GHz microwave band | [249] |
| Anode electro oxidation in the presence of ammonium bicarbonate; graphite plate used as cathode in the anodized surface treatment | [250] |
| SiO2 NPs functionalized CFs; thermal stability, wettability and roughness of CF are improved; in the composite material stress concentration is alleviated | [251] |
| Hydroxy functionalized CF (by treatment with ethanol) and grafting acrylate monomer followed by oxidation with inert gas plasma; modified CF-polycarbonate composite find application in electric, aerospace, military and chemical industries | [252] |
| Desizing, oxidation, acylation and grafting bis (3-aminophenyl ) phenyl phosphine oxide | [253] |
| Carbon fiber in power form is oxidized with conc. H2SO4; oxygen functionality generated ; modified CF find application in aviation vehicles, buildings and chemical industries | [254] |
| Carbon fiber fabric modified with β-PbO2 by linear sweep voltammetry; used as anode material for vanadium redox flow battery (VFB) ; energy conversion efficiency and power density increased | [255] |
| Removal of styling agent; acidification ; in situ polymerization of amine monomer under microwave and sonication with sodium nitrite as initiator leading to polyamide amine grafting; specific desired functionality generated depending on the modifying chemical agent; wettability of modified CF improved; strength of the composite enhanced; | [256] |
| Oxidation with conc. HNO3 | [257] |
| Oxygen and nitrogen co-doped CF (PAN based) through electrochemical oxidation; excellent pseudo capacitance property | [258] |
| Treatment with modified with hydroxyl group containing compound and poly amide; modified CF/polyamide composite is used for transportation, sports, medical and civil construction equipment | [259] |
| Aniline functionalized CF; enhanced roughness and IFSS | [260] |
| Mesoporous inter leaving multilayer graphene modified CF by coating with active metal (Li, Na, K, Cs) layer, carbon fiber felt, high temperature activation in inert atmosphere followed by removal of active metal and generating mesoporosity and graphitic carbon | [261] |
| Oxidation, grafting of hexachlorocyclotriphosphazene phosphine followed by reacting with graphite to coat graphene on CF surface | [262] |
| Cryogenic treatment of CF with liquid nitrogen; surface roughness of CF enhanced | [263] |
| Grafting catechol type structure (treatment with epinephrine) on CF surface by polymerization; useful in CFRP, luminescent and antibacterial materials | [264] |
| Electro oxidation with strong electrolyte (alkali metal hydroxide) followed by electro oxidation with week electrolyte (aq. NH3); modified CF/composite material useful in aerospace, defense and civil fields; | [265] |
| Oxidation with potassium persulfate (K2S2O4) and AgNO3; mechanical performance enhanced; | [266] |
| Plasma treatment under inert atmosphere for high temperature carbonization of CF (PAN based) sized with E-51; grafting liquid modifiers (maleic anhydride/acrylic acid) by atomizing spray nozzle, wettability, surface energy increased; ILSS enhanced | [267] |
| Electrochemical deposition of graphene oxide followed by thermal treatment (80-600 °C; 10 sec – 60 min) in air/oxygen/ozone/nitrogen/argon/ammonia gas; | [268] |
| Coating of phenolic (o-cresol, m-cresol) monomer and aldehyde (formaldehyde; n-propionaldehyde) in the presence of alkali metal hydroxide catalyst followed polymerization and carbonization; Shear strength increased by 12-53 %; adsorption capacity of the fiber enhanced; | [269] |
| Oxidation with HNO3 (45-85 mass %) followed by hydrothermal treatment (120-180 °C; 126 MPa, 3-6 h) followed by thermal activation (800-950 °C; 2-4 h; N2/CO2); useful for the treatment of Sewage sludge; | [270] |
| Surface etching by high energy particles beam (γ ray beam/plasma beam/X-ray beam; of energy 25-120 eV for 80-150 min) followed by cleaning with solvent under ultrasonic irradiation to generate micro nano groves on the surface; interfacial bonding strength enhanced; | [271] |
| Oxidation by treatment with a mixture of H2SO4 and KMnO4; oxygen content enhanced by 22.7 %; strength improved; useful in aerospace, automobile, transportation; construction and chemical industries; | [272] |
| Ultrasonic treatment (20-100 kHz; 200-2000 W; 20-70 °C; 15-40 min); treatment with silane coupling agent followed by oxidation with K2Cr2O7/sodium hypochlorite/H2O2/potassium persulfate; ultrasound pretreatment enhanced surface chemical modification; mechanical property of the CF enhanced; | [273] |
| Nano graphene coating followed by plasma treatment; mechanical, conductivity and heat resistance properties enhanced; | [274] |
| Electro chemical treatment in the presence of salts like ammonium bicarbonate, ammonium chloride, ammonium sulfate and ammonium oxalate (0.1-3 mA/cm2; 10-180 sec; 10-60 °C); tensile strength increased; shear strength enhanced; | [275] |
| CNTs (single and multiwalled) oxidation with H2SO4 and HNO3; oxidized CNT’s were electrochemically grafted to CF’s | [276] |
| Grafting with hexachlorocyclotriphosphazene followed by caprolactum monomers; surface reactivity of CF enhanced; | [277] |
| CNT’s were grown on CF surfaces by chemical vapour deposition with Ni catalyst | [278] |
Disclaimer/Publisher’s Note: The statements, opinions and data contained in all publications are solely those of the individual author(s) and contributor(s) and not of MDPI and/or the editor(s). MDPI and/or the editor(s) disclaim responsibility for any injury to people or property resulting from any ideas, methods, instructions or products referred to in the content. |
© 2023 by the authors. Licensee MDPI, Basel, Switzerland. This article is an open access article distributed under the terms and conditions of the Creative Commons Attribution (CC BY) license (http://creativecommons.org/licenses/by/4.0/).








