Submitted:
29 August 2023
Posted:
29 August 2023
You are already at the latest version
Abstract
Keywords:
1. Introduction
2. Materials and Methods
2.1. Prediction of chaotic roll motions using RC
2.2. Control synthesis for chaotic roll suppression using backstepping algorithm.
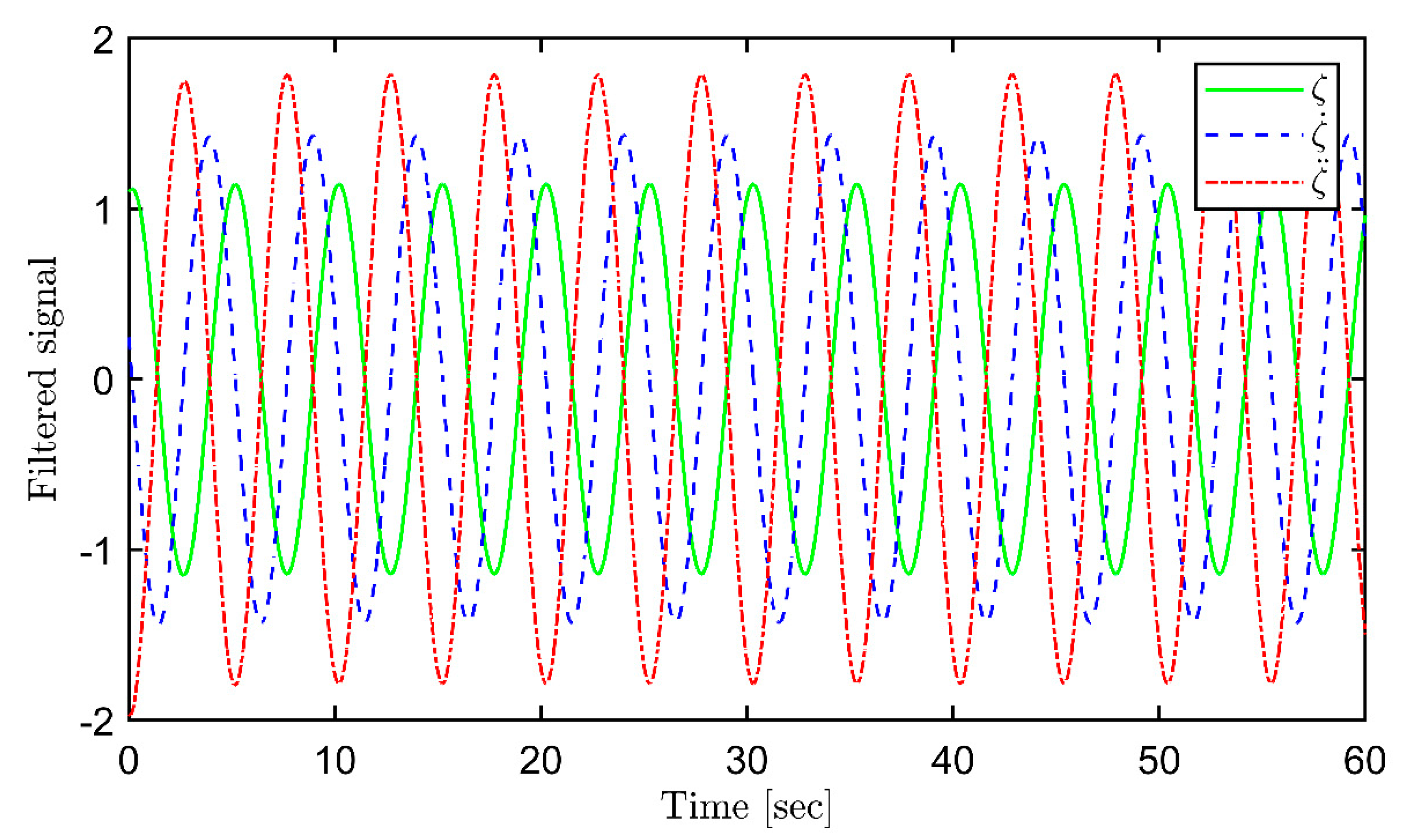
2.3. Frequency estimation
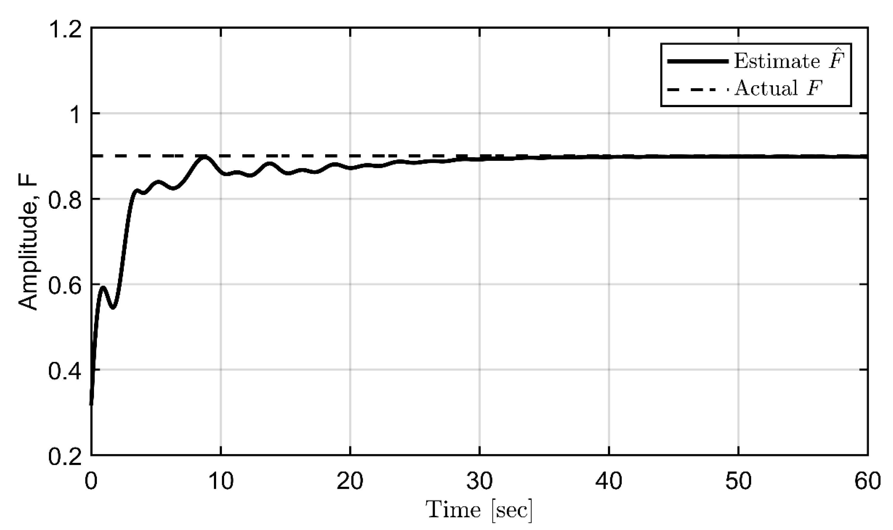
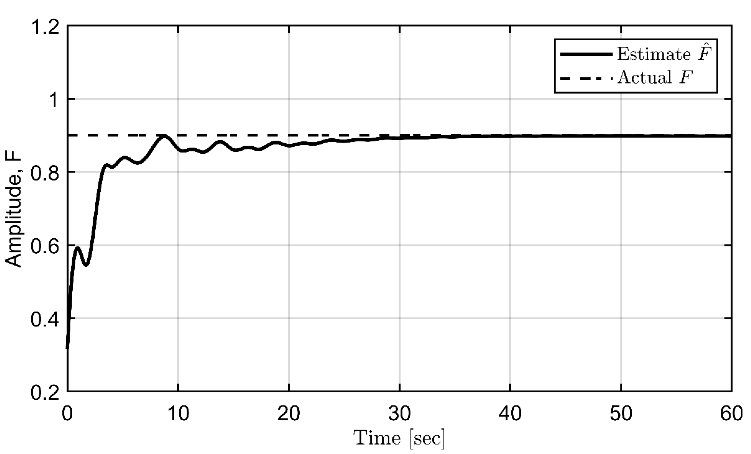
2.4. Estimation of offset, amplitudes, and phase
3. Simulation results
3.1. Dynamical analysis of chaotic roll motions
3.2. Prediction of chaotic roll motions using RC
3.3. Parametric identification of periodic disturbances
4. Conclusions
Author Contributions
Funding
Institutional Review Board Statement
Informed Consent Statement
Data Availability Statement
Conflicts of Interest
References
- Pyrkin, A.A.; Bobtsov, A.A.; Kolyubin, S.A.; Vedyakov, A.A. Precise frequency estimator for noised periodical signals. 2012 IEEE International Conference on Control Applications 2012, 92–97. [Google Scholar] [CrossRef]
- Na, J.; Yang, J.; Wu, X.; Guo, Y. Adaptive Parameter Identification of Sinusoidal Signals. IFAC Conference on Intelligent Control and Automation Science ICONS 2013, 46, 624–629. [Google Scholar] [CrossRef]
- Quinn, B.G.; Hannan, E.J. The Estimation and Tracking of Frequency: Cambridge Univ. Press: Cambridge, U.K, 2001. [CrossRef]
- Hou, M. Parameter identification of sinusoids. IEEE Transactions on Automatic Control 2012, 57, 467–472. [Google Scholar] [CrossRef]
- Slotine, J.J.E.; Li, W. Applied nonlinear control; Prentice Hall Englewood Cliffs: NJ, 1991. [Google Scholar]
- Lin, J.-S.; Kanellakopoulos, I. Nonlinearities enhance parameter convergence in output-feedback systems. IEEE Trans. Autom. Control. 1998, 43, 204–222. [Google Scholar] [CrossRef]
- Na, J.; Yang, J.; Wu, X.; Guo, Y. Robust adaptive parameter estimation of sinusoidal signals. Automatica 2015, 53, 376–384. [Google Scholar] [CrossRef]
- Yilmaz, C.T.; Basturk, H.I. Output feedback control for unknown LTI systems driven by unknown periodic disturbances. Automatica 2018, 99, 112–119. [Google Scholar] [CrossRef]
- Na, J.; Mahyuddin, M.N.; Herrmann, G.; Ren, X.; Barber, P. Robust adaptive finite-time parameter estimation and control for robotic systems. Int. J. Robust Nonlinear Control. 2014, 25, 3045–3071. [Google Scholar] [CrossRef]
- Adetola, V.; Guay, M. Performance Improvement in Adaptive Control of Linearly Parameterized Nonlinear Systems $ $. IEEE Trans. Autom. Control 2010, 55, 2182–2186. [Google Scholar] [CrossRef]
- Strogatz, S. H. Nonlinear Dynamics and Chaos: With Applications to Physics, Biology, Chemistry, and Engineering; CRC Press, 2018. [Google Scholar]
- Jiménez-Casas. ; Castro, M.; Villanueva-Pesqueira, M. The Role of Elasticity on Chaotic Dynamics: Insights from Mechanics, Immunology, Ecology, and Rheology. Mathematics 2023, 11, 3099. [Google Scholar] [CrossRef]
- Ott, E.; Grebogi, C.; Yorke, J.A. Controlling chaos. Phys. Rev. Lett. 1990, 64, 1196–1199. [Google Scholar] [CrossRef]
- Y. Tang, J. Y. Tang, J. Kurths, W. Lin, E. Ott, L. Kocarev. Introduction to Focus Issue: When machine learning meets complex systems: Networks, chaos, and nonlinear dynamics. Chaos 2020, 30, 063151. [Google Scholar] [CrossRef] [PubMed]
- Jaeger, H. , 2001. The echo state approach to analyzing and training recurrent neural networks., Tech. rep., GDM 148, German national resource center for information technology.
- Lukoševičius, M.; Jaeger, H. Reservoir computing approaches to recurrent neural network training. Comput. Sci. Rev. 2009, 3, 127–149. [Google Scholar] [CrossRef]
- Jaeger, H.; Haas, H. Harnessing Nonlinearity: Predicting Chaotic Systems and Saving Energy in Wireless Communication. Science 2004, 304, 78–80. [Google Scholar] [CrossRef] [PubMed]
- LeCun, Y.; Bengio, Y.; Hinton, G. Deep learning. Nature 2015, 521, 436–444. [Google Scholar] [CrossRef]
- Ferreira, A.A.; Ludermir, T.B.; de Aquino, R.R. An approach to reservoir computing design and training. Expert Syst. Appl. 2013, 40, 4172–4182. [Google Scholar] [CrossRef]
- Boffetta, G.; Cencini, M.; Falcioni, M.; Vulpiani, A. Predictability: a way to characterize complexity. Phys. Rep. 2002, 356, 367–474. [Google Scholar] [CrossRef]
- Long, L.N.B.; Cuong, T.N.; Kim, H.-S.; You, S.-S. Sustainability and robust decision-support strategy for multi-echelon supply chain system against disruptions. Int. J. Logist. Res. Appl. 2023, 1–31, Available at SSRN: https://ssrn.com/abstract=4020779. Int. J. Logist. Res. Appl. 4020; 31. [Google Scholar] [CrossRef]
- Lukoševičius, M. A Practical Guide to Applying Echo State Networks. In: Montavon, G., Orr, G.B., Müller, KR. (eds) Neural Networks: Tricks of the Trade. Lecture Notes in Computer Science, vol 7700. Springer, Berlin, Heidelberg. 2012. [Google Scholar] [CrossRef]
- Herbert Jaeger, 2007. Echo state network. Scholarpedia, 2(9):2330. http://www.scholarpedia.org/article/Echo_state_network.
- Zhou, J.; Wen, C. Adaptive Backstepping Control. In: Adaptive Backstepping Control of Uncertain Systems. Lecture Notes in Control and Information Sciences, vol 372. Springer, Berlin, Heidelberg. 2008; 31. [Google Scholar] [CrossRef]
- Lee, S.-D.; Song, Y.-S.; Kim, D.-H.; Kang, M.-R. Path following Control of an Underactuated Catamaran for Recovery Maneuvers. Sensors 2022, 22, 2233. [Google Scholar] [CrossRef]
- Jeong, G.-S.; Lee, S.-J. Autonomous surveillance maneuvers for marine vessels in specially designated waters with a focus on the consecutive port and starboard turning cases. J. Korean Soc. Mar. Eng. 2022, 46, 237–247. [Google Scholar] [CrossRef]
- Lee, S.-D.; You, S.-S. Dynamical Rolling Analysis of a Vessel in Regular Beam Seas. J. Korean Soc. Mar. Environ. Saf. 2018, 24, 325–331. [Google Scholar] [CrossRef]
- Lee, S.-D.; Phuc, B.D.H.; Xu, X.; You, S.-S. Roll suppression of marine vessels using adaptive super-twisting sliding mode control synthesis. Ocean Eng. 2019, 195, 106724. [Google Scholar] [CrossRef]
- Lee, S.-D.; You, S.-S.; Xu, X.; Cuong, T.N. Active control synthesis of nonlinear pitch-roll motions for marine vessels. Ocean Eng. 2021, 221, 108537. [Google Scholar] [CrossRef]
- Lee, S.D., You, Sam-Sang, Long, Le Ngoc Bao, Phuc, Bui Duc Hong. 2022. Active control for parametric instability and resonance of container ship model. available at SSRN: https://ssrn.com/abstract=4239145. 4239.
- P.A. Ioannou, J. P.A. Ioannou, J. Sun, 1996. Robust adaptive control, Upper saddle river, NJ: Prentice hall. 78.
- Lynch, S. Poincaré Maps and Nonautonomous Systems in the Plane. In: Dynamical Systems with Applications using MATLAB®. Birkhäuser, Cham. 2014. [Google Scholar] [CrossRef]
- Lynch, S. Electromagnetic Waves and Optical Resonators. In: Dynamical Systems with Applications using MATLAB®. Birkhäuser, Cham. 2014. [Google Scholar] [CrossRef]
- Ott, E. Chaos in Dynamical Systems. (2nd ed.). Cambridge: Cambridge University Press. 2002. [Google Scholar] [CrossRef]
- Dey, K.K.; Sekh, G.A. Effects of Random Excitations on the Dynamical Response of Duffing Systems. J. Stat. Phys. 2021, 182, 1–14. [Google Scholar] [CrossRef]
- BenSaïda, A. A practical test for noisy chaotic dynamics. SoftwareX 2015, 3-4, 1–5. [Google Scholar] [CrossRef]
- Bramburger, J.J.; Kutz, J.N. Poincaré maps for multiscale physics discovery and nonlinear Floquet theory. Phys. D: Nonlinear Phenom. 2020, 408, 132479. [Google Scholar] [CrossRef]
- Guckenheimer, J.; Holmes, P. An Introduction to Chaos: Four Examples. 1983, 66–116, In: nonlinear oscillations, dynamical systems, and bifurcations of vector fields. Applied Mathematical Sciences, vol 42. Springer, New York, NY. [CrossRef]
- Grebogi Celso, Ott Edward, Yorke James A. Chaos, strange attractors, and fractal basin boundaries in nonlinear dynamics". Science 1987, 238, 632–638. [CrossRef]
- Annaswamy, A.M. Adaptive Control and Intersections with Reinforcement Learning. Annu. Rev. Control. Robot. Auton. Syst. 2023, 6, 65–93. [Google Scholar] [CrossRef]














| Parameters | Value |
|---|---|
| ) | 0.081 |
| ) | 0.419 |
| ) | 1.746 |
| Parameters | Value |
|---|---|
| Leaking rate () | 0.08 |
| Spectral radius () | 0.75 |
| Range of input () | 0.5 |
Disclaimer/Publisher’s Note: The statements, opinions and data contained in all publications are solely those of the individual author(s) and contributor(s) and not of MDPI and/or the editor(s). MDPI and/or the editor(s) disclaim responsibility for any injury to people or property resulting from any ideas, methods, instructions or products referred to in the content. |
© 2023 by the authors. Licensee MDPI, Basel, Switzerland. This article is an open access article distributed under the terms and conditions of the Creative Commons Attribution (CC BY) license (http://creativecommons.org/licenses/by/4.0/).
