Submitted:
16 August 2023
Posted:
16 August 2023
You are already at the latest version
Abstract
Keywords:
1. Introduction
2. Physical model and basic equations
3. Interactions of Airy beams with in-phase Gaussian beam and fourth-order diffraction
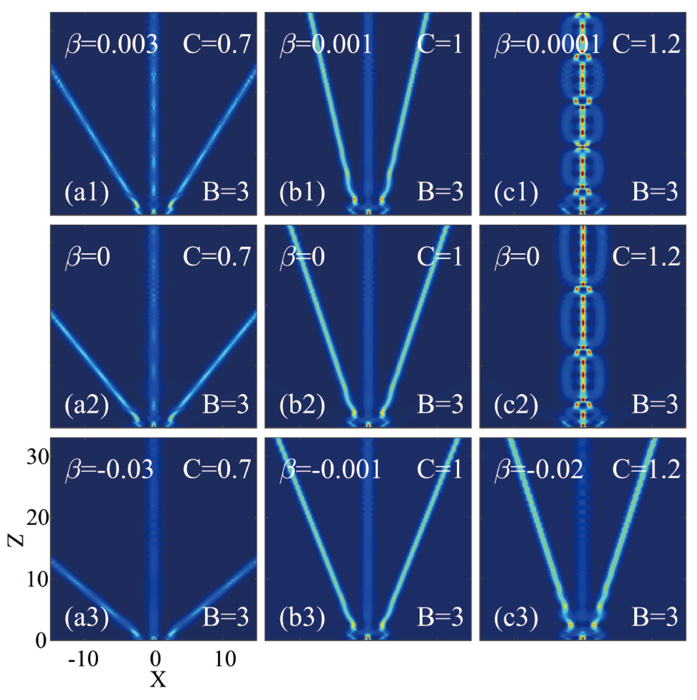
4. Interactions of Airy beams with out-of-phase Gaussian beam and fourth-order diffraction
5. Conclusions
Author Contributions
Funding
Data Availability Statement
Conflicts of Interest
References
- Siviloglou, G.A.; Christodoulides, D.N. Accelerating finite energy Airy beams. Opt. Lett. 2007, 32, 979–981. [Google Scholar] [CrossRef] [PubMed]
- Siviloglou, G. A.; Broky, J.; Dogariu, A.; Christodoulides, D. N. Observation of accelerating Airy beams. Phys. Rev. Lett. 2007, 99, 213901. [Google Scholar] [CrossRef] [PubMed]
- Bandres, M. A. Accelerating beams. Opt. Lett. 2009, 34, 3791–3793. [Google Scholar] [CrossRef] [PubMed]
- Efremidis, N. K.; Christodoulides, D. N. Abruptly autofocusing waves. Opt. Lett. 2010, 35, 4045–4047. [Google Scholar] [CrossRef] [PubMed]
- Greenfield, E.; Segev, M.; Walasik, W.; Raz, O. Accelerating light beams along arbitrary convex trajectories. Phys. Rev. Lett. 2011, 106, 213902. [Google Scholar] [CrossRef] [PubMed]
- Kaminer, I.; Bekenstein, R.; Nemirovsky, J.; Segev, M. Nondiffracting accelerating wave packets of Maxwell’s equations. Phys. Rev. Lett. 2012, 108, 163901. [Google Scholar] [CrossRef] [PubMed]
- Aleahmad, P.; Miri, M. A.; Mills, M. S.; Kaminer, I.; Segev, M.; Christodoulides, D. N. Fully vectorial accelerating diffraction-free Helmholtz beams. Phys. Rev. Lett. 2012, 109, 203902. [Google Scholar] [CrossRef]
- Zhang, P.; Hu, Y.; Li, T.; Cannan, D.; Yin, X.; Morandotti, R.; Chen, Z.; Zhang, X. Nonparaxial Mathieu and Weber accelerating beams. Phys. Rev. Lett. 2012, 109, 193901. [Google Scholar] [CrossRef]
- Efremidis, N.K.; Chen, Z.; Segev, M.; Christodoulides, D.N. Airy beams and accelerating waves: an overview of recent advances. Optica 2019, 6, 686–701. [Google Scholar] [CrossRef]
- Siviloglou, G.A.; Broky, J.; Dogariu, A.; Christodoulides, D. N. Ballistic dynamics of Airy beams. Opt. Lett. 2008, 33, 207–209. [Google Scholar] [CrossRef]
- Hu, Y.; Zhang, P.; Lou, C.; Huang, S.; Xu, J.; Chen, Z. Optimal control of the ballistic motion of Airy beams. Opt. Lett. 2010, 35, 2260–2262. [Google Scholar] [CrossRef] [PubMed]
- Broky, J.; Siviloglou, G.A.; Dogariu, A.; Christodoulides, D.N. Self-healing properties of optical Airy beams. Opt. Express 2008, 16, 12880–12891. [Google Scholar] [CrossRef] [PubMed]
- Baumgartl, J.; Mazilu, M.; Dholakia, K. Optically mediated particle clearing using Airy wavepackets. Nat. Photon. 2008, 2, 675–678. [Google Scholar] [CrossRef]
- Chong, A.; Renninger, W.H.; Christodoulides, D. N.; Wise, F. W. Airy–Bessel wave packets as versatile linear light bullets. Nat. Photon. 2010, 4, 103–106. [Google Scholar] [CrossRef]
- Polynkin, P.; Kolesik, M.; Moloney, J.V.; Siviloglou, G. A.; Christodoulides, D. N. Curved plasma channel generation using ultraintense Airy beams. Science 2009, 324, 229–232. [Google Scholar] [CrossRef]
- Minovich, A.; Klein, A.E.; Janunts, N.; Pertsch, T.; Neshev, D. N.; Kivshar, Y.S. Generation and near-field imaging of Airy surface plasmons. Phys. Rev. Lett. 2011, 107, 116802. [Google Scholar] [CrossRef] [PubMed]
- Dolev, I.; Epstein, I.; Arie, A. Surface-plasmon holographic beam shaping. Phys. Rev. Lett. 2012, 109, 203903. [Google Scholar] [CrossRef] [PubMed]
- Shiloh, R.; Tsur, Y.; Remez, R.; Lereah, Y.; Malomed, B. A.; Shvedov, V.; Hnatovsky, C.; Krolikowski, W.; Arie, A. Unveiling the orbital angular momentum and acceleration of electron beams. Phys. Rev. Lett. 2015, 114, 096102. [Google Scholar] [CrossRef]
- Voloch-Bloch, N.; Lereah, Y.; Lilach, Y.; Gover, A.; Arie, A. Generation of electron Airy beams. Nature 2013, 494, 331–335. [Google Scholar] [CrossRef]
- Ellenbogen, T.; Voloch-Bloch, N.; Ganany-Padowicz, A.; Arie, A. Nonlinear generation and manipulation of Airy beams. Nat. Photon. 2009, 3, 395–398. [Google Scholar] [CrossRef]
- Zhang, P.; Hu, Y.; Cannan, D.; Salandrino, A.; Li, T.; Morandotti, R.; Zhang, P.; Chen, Z. Generation of linear and nonlinear nonparaxial accelerating beams. Opt. Lett. 2012, 37, 2820–2822. [Google Scholar] [CrossRef] [PubMed]
- Jia, S.; Lee, J.; Fleischer, J. W.; Siviloglou, G. A.; Christodoulides, D. N. Diffusion-trapped Airy beams in photorefractive media. Phys. Rev. Lett. 2010, 104, 253904. [Google Scholar] [CrossRef] [PubMed]
- Hu, Y.; Huang, S.; Zhang, P.; Lou, C.; Xu, J.; Chen, Z. Persistence and breakdown of Airy beams driven by an initial nonlinearity. Opt. Lett. 2010, 35, 3952–3954. [Google Scholar] [CrossRef] [PubMed]
- Chen, R.; Yin, C.; Chu, X.; Wang, H. Effect of Kerr nonlinearity on an Airy beam. Phys. Rev. A 2010, 82, 043832. [Google Scholar] [CrossRef]
- Kaminer, I.; Segev, M.; Christodoulides, D. N. Self-accelerating self-trapped optical beams. Phys. Rev. Lett. 2011, 106, 213903. [Google Scholar] [CrossRef]
- Lotti, A.; Faccio, D.; Couairon, A.; Papazoglou, D. G.; Panagiotopoulos, P.; Abdollahpour, D.; Tzortzakis, S. Stationary nonlinear Airy beams. Phys. Rev. A 2011, 84, 021807. [Google Scholar] [CrossRef]
- Dolev, I.; Kaminer, I.; Shapira, A.; Segev, M.; Arie, A. Experimental observation of self-accelerating beams in quadratic nonlinear media. Phys. Rev. Lett. 2012, 108, 113903. [Google Scholar] [CrossRef]
- Chen, R.P.; Chew, K. H.; He, S. Dynamic control of collapse in a vortex Airy beam. Scientific Reports 2013, 3, 1406. [Google Scholar] [CrossRef]
- Driben, R.; Meier, T. Nonlinear dynamics of Airy-vortex 3D wave packets: emission of vortex light waves. Opt. Lett. 2014, 39, 5539–5542. [Google Scholar] [CrossRef]
- Allayarov, I. M.; Tsoy, E. N. Dynamics of Airy beams in nonlinear media. Phys.Rev. A 2014, 90, 023852. [Google Scholar] [CrossRef]
- Fattal, Y.; Rudnick, A.; Marom, D. M. Soliton shedding from Airy pulses in Kerr media. Opt. Express 2011, 19, 17298–17307. [Google Scholar] [CrossRef] [PubMed]
- Abdollahpour, D.; Suntsov, S.; Papazoglou, D. G.; Tzortzakis, S. Spatiotemporal airy light bullets in the linear and nonlinear regimes. Phys. Rev. Lett. 2010, 105, 253901. [Google Scholar] [CrossRef] [PubMed]
- Panagiotopoulos, P.; Papazoglou, D.G.; Couairon, A.; Tzortzakis, S. Sharply autofocused ring-Airy beams transforming into non-linear intense light bullets. Nature Communications 2013, 4, 2622. [Google Scholar] [CrossRef] [PubMed]
- Zhang, M.; Huo, G.; Zhong, H.; Hui, Z. Interactions between self-accelerating beams in photorefractive media. Opt. Express 2017, 25, 22104–22112. [Google Scholar] [CrossRef] [PubMed]
- Zhang, M.Z.; Zhang, T. Y.; Huo, G. W.; Hui, Z.Q.; Duan, Z. L.; Zha, X. W. Temporal analysis of Airy beam propagation in photorefractive media. Commun. Nonlinear Sci. Numer. Simulat. 2019, 76, 45–50. [Google Scholar] [CrossRef]
- Wiersma, N.; Marsal, N.; Sciamanna, M.; Wolfersberger, D. All-optical interconnects using Airy beams. Opt. Lett. 2014, 39, 5997–6000. [Google Scholar] [CrossRef]
- Wiersma, N.; Marsal, N.; Sciamanna, M.; Wolfersberger, D. Spatiotemporal dynamics of counterpropagating Airy beams. Scientific Reports 2015, 5, 13463. [Google Scholar] [CrossRef]
- Marsal, N.; Wiersma, N.; Sciamanna, M.; Wolfersberger, D. Counterpropagating interactions of self-focusing Airy beams. Scientific Reports 2019, 9, 5004. [Google Scholar] [CrossRef]
- Diebel, F.; Bokić, B. M.; Timotijević, D. V.; Jović Savić, D. M.; Denz, C. Soliton formation by decelerating interacting Airy beams. Opt. Express 2015, 23, 24351–24361. [Google Scholar] [CrossRef]
- Zhang, Y.; Belic, M.; Wu, Z.; Zheng, H.; Lu, K.; Li, Y.; Zhang, Y. Soliton pair generation in the interactions of Airy and nonlinear accelerating beams. Opt. Lett. 2013, 38, 4585–4588. [Google Scholar] [CrossRef]
- Zhang, Y.; Belić, M. R.; Zheng, H.; Chen, H.; Li, C.; Li, Y.; Zhang, Y. Interactions of Airy beams, nonlinear accelerating beams, and induced solitons in Kerr and saturable nonlinear media. Opt. Express 2014, 22, 7160–7171. [Google Scholar] [CrossRef] [PubMed]
- Driben, R.; Konotop, V. V.; Meier, T. Coupled Airy breathers. Opt. Lett. 2014, 39, 5523–5526. [Google Scholar] [CrossRef] [PubMed]
- Rudnick, A.; Marom, D. M. Airy-soliton interactions in Kerr media. Opt. Express 2011, 19, 25570–25582. [Google Scholar] [CrossRef]
- Zhang, X.; Pierangeli, D.; Conti, C.; Fan, D.; Zhang, L. Control of soliton self-frequency shift dynamics via Airy soliton interaction. Opt. Express 2018, 26, 32971–32980. [Google Scholar] [CrossRef] [PubMed]
- Zhang, X.; Chen, L.; Cheng, K.; Yao, N.; Sheng, J. Generation of single or double parallel breathing soliton pairs, bound breathing solitons, moving breathing solitons, and diverse composite breathing solitons in optical fibers. Opt. Express 2018, 26, 15683–15692. [Google Scholar] [CrossRef]
- Mayteevarunyoo, T.; Malomed, B. A. The interaction of Airy waves and solitons in a three-wave system. J. Opt. 2017, 19, 085501.
- Zhang, L.; Zhang, X.; Wu, H.; Li, C.; Pierangeli, D.; Gao, Y.; Fan, D. Anomalous interaction of Airy beams in the fractional nonlinear Schrödinger equation. Opt. Express 2019, 27, 27936–27945. [Google Scholar] [CrossRef] [PubMed]
- Chen, W.; Lian, C.; Luo, Y. Interaction of Airy beams modeled by the fractional nonlinear cubic-quintic Schrödinger equation. Phys. Scr. 2021, 96, 125256. [Google Scholar] [CrossRef]
- Shi, Z.; Xue, J.; Zhu, X.; Xiang, Y.; Li, H. Interaction of Airy-Gaussian beams in photonic lattices with defects. Phys. Rev. E 2017, 95, 042209. [Google Scholar] [CrossRef]
- Bekenstein, R.; Schley, R.; Mutzafi, M.; Rotschild, C.; Segev, M. Optical simulations of gravitational effects in the Newton-Schrodinger system. Nature Physics 2015, 11, 872–878. [Google Scholar] [CrossRef]
- Shen, M.; Gao, J.; Ge, L. Solitons shedding from Airy beams and bound states of breathing Airy solitons in nonlocal nonlinear media. Scientific Reports 2015, 5, 9814. [Google Scholar] [CrossRef]
- Shen, M.; Li, W.; Lee, R.-K. Control on the anomalous interactions of Airy beams in nematic liquid crystals. Opt. Express 2016, 24, 8501–8511. [Google Scholar] [CrossRef] [PubMed]
- Shen, M.; Wu, L.; Gao, M.; Li, W. Incoherent interactions of Airy beams in nonlocal nonlinear media. J. Phys. B: At. Mol. Opt. Phys. 2018, 51, 165401.
- Stegeman, G.I.; Segev, M. Optical Spatial Solitons and Their Interactions: Universality and Diversity. Science 1999, 286, 1518–1523. [Google Scholar] [CrossRef] [PubMed]
- Kivshar, Yuri S.; Agrawal, G. P. Optical Solitons: From Fibers to Photonic Crystals, 2003.
- Roy, S.; Bhadra, S. K.; Agrawal, G. P. Dispersive waves emitted by solitons perturbed by third-order dispersion inside optical fibers. Phys. Rev. A 2009, 79, 023824. [Google Scholar] [CrossRef]
- Runge, A. F. J.; Alexander, T. J.; Newton, J.; Alavandi, P. A.; Hudson, D. D.; Blanco-Redondo, A.; Martijn de Sterke, C. Self-similar propagation of optical pulses in fibers with positive quartic dispersion. Opt. Lett. 2020, 45, 3365–3368. [Google Scholar] [CrossRef]
- Zambo Abou,ou, M. N.; Tchofo Dinda, P.; Ngabireng, C. M.; Pitois, S.; Kibler, B. Impact of fourth-order dispersion in the spectra of polarization-modulational instability in highly nonlinear fibers. Phys. Rev. A 2013, 87, 033803.
- Runge, A. F. J.; Hudson, D. D.; Tam, K. K. K.; Martijn de Sterke, C.; Blanco-Redondo, A. The pure-quartic soliton laser. Nature Photonics 2020, 14, 492–497. [Google Scholar] [CrossRef]
- Alexander, T. J.; Tsolias, G. A.; Demirkaya, A.; Decker, R. J.; Martijn de Sterke, C.; Kevrekidis, P. G. Bright optical soliton in the presence of fourth-order dispersion. Opt. Lett. 1996, 21, 845–847. [Google Scholar]
- Cole J., T.; Musslimani, Z. H. Band gaps and lattice solitons for the higher-order nonlinear Schrödinger equation with a periodic potential. Phys. Rev. A 2014, 90, 013815. [Google Scholar] [CrossRef]
- Ge, L.; Shen, M.; Ma, C.; Zang, T.; Dai, L. Gap solitons in PT-symmetric optical lattices with higher-order diffraction. Opt. Express 2014, 22, 29435–29444. [Google Scholar] [CrossRef]
- Li, J.; Zhang, Y.; Zeng, J. Dark gap solitons in one-dimensional nonlinear periodic media with fourth-order dispersion. Chaos, Solitons and Fractals 2022, 157, 111950.
- Blanco-Redondo, A.; Martijn de Sterke, C.; Sipe, J. E.; Krauss, T. F.; Eggleton, B. J.; Husko, C. Pure-quartic solitons. Nature Communications 2016, 7, 10427. [Google Scholar] [CrossRef]
- Alexander, T. J.; Tsolias, G. A.; Demirkaya, A.; Decker, R. J.; Martijn de Sterke, C.; Kevrekidis, P. G. Dark solitons under higher-order dispersion. Opt. Lett. 2022, 47, 1174–1177. [Google Scholar] [CrossRef]
- Driben, R.; Hu, Y.; Chen, Z.; Malomed, B. A.; Morandotti, R. Inversion and tight focusing of Airy pulses under the action of third-order dispersion. Opt. Lett. 2013, 38, 2499–2501. [Google Scholar] [CrossRef] [PubMed]
- Zhang, L.; Zhang, J.; Chen, Y.; Liu, A.; Liu, G. Dynamic propagation of finite-energy Airy pulses in the presence of higher-order effects. J. Opt. Soc. Am. B 2014, 31, 889–897. [Google Scholar] [CrossRef]
- Mandeng, L. M.; Tchawa, C.; Tagwo, H.; Zghal, M.; Cherif, R.; Mohamadou, A. Role of the input profile asymmetry and the chirp on the propagation in highly dispersive and nonlinear fibers. Journal of Lightwave Technology. 2016, 34, 5635–5641. [Google Scholar] [CrossRef]
- Zhang, L.; Zhang, X.; Pierangeli, D.; Li, Y.; Fan, D.; Conti, C. Synchrotron resonant radiation from nonlinear self-accelerating pulses. Opt. Express 2018, 26, 14710–14717. [Google Scholar] [CrossRef] [PubMed]
- Singh Gaur, D.; Purohit, A.; Kumar Mishra, A. Soliton shedding from Airy pulses in a highly dispersive and nonlinear medium. J. Opt. Soc. Am. B 2021, 38, 3729–3736. [Google Scholar] [CrossRef]
- Zhao, W.; Ge, L.; Shen, M. Interactions of Airy beams in nonlinear media with fourth-order diffraction. Opt. Express 2023, 31, 14715–14725. [Google Scholar] [CrossRef]






Disclaimer/Publisher’s Note: The statements, opinions and data contained in all publications are solely those of the individual author(s) and contributor(s) and not of MDPI and/or the editor(s). MDPI and/or the editor(s) disclaim responsibility for any injury to people or property resulting from any ideas, methods, instructions or products referred to in the content. |
© 2023 by the authors. Licensee MDPI, Basel, Switzerland. This article is an open access article distributed under the terms and conditions of the Creative Commons Attribution (CC BY) license (http://creativecommons.org/licenses/by/4.0/).
