Submitted:
13 August 2023
Posted:
16 August 2023
Read the latest preprint version here
Abstract
Keywords:
1. Introduction
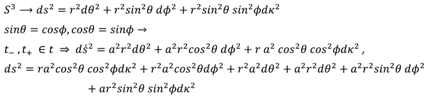
2. Six-Dimensional Space-Time


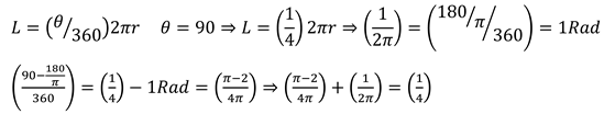
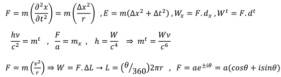
3. Geometry and Fundamental Constants of Physics
4. Wave Function
5. Field Structure and Force
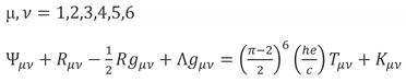
6. Curvature in Six-Dimensional space Time

7. Quantum Mechanics
8. Resule
Acknowledgements
References
- Einstein, A.; Podolsky, B.; Rosen, N. Can Quantum-Mechanical Description of Physical Reality Be Considered Complete? Phys. Rev. 1935, 47, 777–780. [Google Scholar] [CrossRef]
- Brody, D.C.; Graefe, E.-M. Six-dimensional space-time from quaternionic quantum mechanics. Phys. Rev. D 2011, 84. [Google Scholar] [CrossRef]
- Bonezzi, R.; Latini, E.; Waldron, A. Gravity, two times, tractors, Weyl invariance, and six-dimensional quantum mechanics. Phys. Rev. D 2010, 82. [Google Scholar] [CrossRef]
- Halliwell, J. The quantum cosmology of Einstein-Maxwell theory in six dimensions. Nucl. Phys. B 1986, 266, 228–244. [Google Scholar] [CrossRef]
- Randjbar-Daemi, S.; Salam, A.; Strathdee, J. Spontaneous compactification in six-dimensional Einstein-Maxwell theory. Nucl. Phys. B 1983, 214, 491–512. [Google Scholar] [CrossRef]
- Córdova, C.; Dumitrescu, T.T.; Intriligator, K. 2-Group global symmetries and anomalies in six-dimensional quantum field theories. J. High Energy Phys. 2021, 2021, 1–46. [Google Scholar] [CrossRef]
- Maxwell, N. Relativity Theory May not Have the Last Word on the Nature of Time: Quantum Theory and Probabilism. 2017; 109–124. [Google Scholar] [CrossRef]
- Mkhize, N.; Hansraj, S. de Sitter potential in six dimensional Einstein–Gauss–Bonnet isotropic fluids. Ann. Phys. 2023, 454, 169328. [Google Scholar] [CrossRef]
- Wu, Y.-L. Maximal symmetry and mass generation of Dirac fermions and gravitational gauge field theory in six-dimensional spacetime. Chin. Phys. C 2017, 41, 103106. [Google Scholar] [CrossRef]
- Yerra, P.K.; Bhamidipati, C. Topology of black hole thermodynamics in Gauss-Bonnet gravity. Phys. Rev. D 2022, 105, 104053. [Google Scholar] [CrossRef]
- Barvinsky, A.O.; Kurov, A.V.; Sibiryakov, S.M. Beta functions of (3+ 1)-dimensional projectable Hořava gravity. Phys. Rev. D 2022, 105, 044009. [Google Scholar] [CrossRef]
- Ganchev, B.; Houppe, A.; Warner, N.P. New superstrata from three-dimensional supergravity. J. High Energy Phys. 2022, 2022, 1–40. [Google Scholar] [CrossRef]
- Popov, N.; Matveev, I. Six-Dimensional Space with Symmetric Signature and Some Properties of Elementary Particles. Axioms 2022, 11, 650. [Google Scholar] [CrossRef]
- Brahma, R.; Sen, A.K. The space–time line element for static ellipsoidal objects. Gen. Relativ. Gravit. 2023, 55, 1–21. [Google Scholar] [CrossRef]
- Zhang, C.; Gong, Y.; Liang, D.; Wang, B. Gravitational waves from eccentric extreme mass-ratio inspirals as probes of scalar fields. J. Cosmol. Astropart. Phys. 2023, 2023. [Google Scholar] [CrossRef]
- Buchbinder, I.L.; Fedoruk, S.A.; Isaev, A.P. Light-front description of infinite spin fields in six-dimensional Minkowski space. Eur. Phys. J. C 2022, 82, 1–11. [Google Scholar] [CrossRef]
- Mousavi, S. K. The balance In the six dimensions of space-time description of quantum mechanics phenomena and nature of time. Journal of Physics: Theories and Applications, 7(1).















Disclaimer/Publisher’s Note: The statements, opinions and data contained in all publications are solely those of the individual author(s) and contributor(s) and not of MDPI and/or the editor(s). MDPI and/or the editor(s) disclaim responsibility for any injury to people or property resulting from any ideas, methods, instructions or products referred to in the content. |
© 2023 by the authors. Licensee MDPI, Basel, Switzerland. This article is an open access article distributed under the terms and conditions of the Creative Commons Attribution (CC BY) license (http://creativecommons.org/licenses/by/4.0/).