Submitted:
06 August 2023
Posted:
11 August 2023
You are already at the latest version
Abstract
Keywords:
1. Introduction
1.1. Time and self-management for undergraduates
1.2. Leisure time behavior and values

2. Methods
2.1 Participants
2.2 Research design and procedure

2.3 Instruments and Materials
2.3.1 Interview outline
2.3.2 Materials
3. Results
3.1. Data analysis

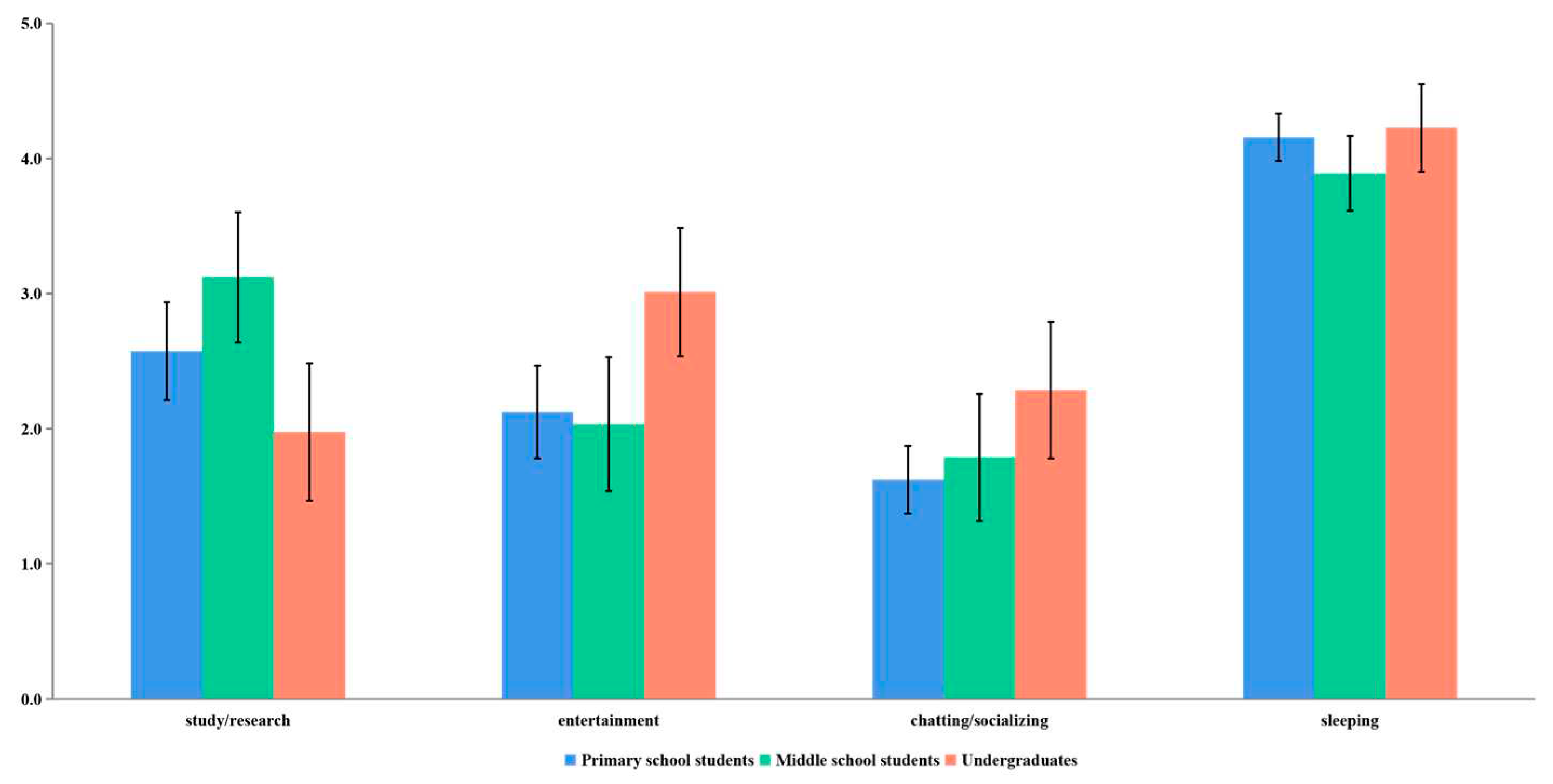
3.2. behavioral characteristics of undergraduates
3.2.1. Awareness dimension

3.2.2. Behavioral dimension


3.2.3 Supervision dimension: Undergraduates enter a "blind spot" regarding external supervision

| Learning time | Learning consciousness | Learning interest | |
| Family supervision | .323** | .141 | -.009 |
| Teacher requirement | .294** | .146 | .043 |
| School requirement | .350** | .124 | .034 |
| Self requirement | .547** | .296** | .334** |
3.2.4. Effect dimension: Undergraduates are the most "bored" group about home life.
3.3 Mechanism of behavior formation
3.3.1. High self-management oriented by social responsibility
3.3.2. Low self-management oriented by social responsibility
3.3.3. Low self-management dominated by personal emotion
3.3.4. High self-management dominated by personal emotion
4. Discussion

5. Conclusions
Funding
Informed Consent Statement
Data Availability Statement
Conflicts of Interest
Disclosure statement
References
- Zeijl, E.; Bois-Reymond, M.D.; Poel, Y.T. Young adolescents' leisure patterns. Loisir Et Société, 2001; 24, 379–402. [Google Scholar]
- Lin, C.D. Developmental Psychology, 3rd ed.; People's Education Press: Beijing, China, 2003; pp. 474–512. [Google Scholar]
- Bolden, J.; Fillauer, J.P. "Tomorrow is the busiest day of the week": Executive functions mediate the relation between procrastination and attention problems. J Am Coll Health 2020, 68, 854–863. [Google Scholar] [CrossRef] [PubMed]
- Wang, W.C.; Kao, C.H.; Huan, T.C.; Wu, C.C. Free time management contributes to better quality of life: a study of undergraduate students in Taiwan. Journal of Happiness Studies 2011, 12, 561–573. [Google Scholar] [CrossRef]
- Ertuğ, N.; Faydali, S. Investigating the Relationship Between Self-Directed Learning Readiness and Time Management Skills in Turkish Undergraduate Nursing Students. Nursing education perspectives 2018, 39, E2–E5. [Google Scholar] [CrossRef] [PubMed]
- Garrison, D.R. Self-directed learning: Toward a comprehensive model. Adult Education Quarterly 1997, 48, 18–33. [Google Scholar] [CrossRef]
- Carolina, R.-H.; Judit, F.N.; Concepció, F.P.; Angel, R.C.; Dalmau, V.V.; David, B.F. Measuring self-directed learning readiness in health science undergraduates: A cross-sectional study. Nurse education today 2019, 83, 104201. [Google Scholar]
- Lowe, H.; Cook, A. Mind the gap: are students prepared for higher education? Journal of Further and Higher Education 2003, 27, 53–76. [Google Scholar] [CrossRef]
- Maguire, S.; Evans, S.E.; Dyas, L. Approaches to learning: a study of first-year geography undergraduates. Journal of Geography in Higher Education 2001, 25, 95–107. [Google Scholar] [CrossRef]
- Prescott, A.; Simpson, E. Effective student motivation commences with resolving ‘dissatisfiers’. Journal of Further and Higher Education 2004, 28, 247–259. [Google Scholar] [CrossRef]
- Cotton, S.J.; Dollard, M.F.; De Jonge, J. Stress and Student Job Design: Satisfaction, Well-Being, and Performance in University Students. International Journal of Stress Management 2002, 9, 147–162. [Google Scholar] [CrossRef]
- Abd-El-Fattah, S.M. Garrison's model of self-directed learning: preliminary validation and relationship to academic achievement. The Spanish journal of psychology 2010, 13, 586–596. [Google Scholar] [CrossRef]
- Pauknerova, D.; Jarosova, E.; Lhotanova, T. Self management skills and subjective well being among undergraduate university students. International Journal of Psychology 2016, 51, 511–511. [Google Scholar]
- Van der Meer, J.; Jansen, E.; Torenbeek, M. It’s almost a mindset that teachers need to change: first year students’ need to be inducted into time management. Studies in Higher Education 2010, 35, 777–791. [Google Scholar] [CrossRef]
- Marta, A. ; Thanasis, D; Fatos, Xhafa. Analyzing the effects of emotion management on time and self-management in computer-based learning. Computers in Human Behavior, 2016; 63, 517–529. [Google Scholar]
- Dolu, G. Are Science Education Students Sufficiently Aware of "COVID-19"? International Online Journal of Educational Sciences 2021, 13, 824–837. [Google Scholar]
- Khatatbeh, M.; Khasawneh, A.; Hussein, H.; Altahat, O.; Alhalaiqa, F. Psychological Impact of COVID-19 Pandemic Among the General Population in Jordan. Frontiers in psychiatry 2021, 12, 618993. [Google Scholar] [CrossRef] [PubMed]
- Turk, F.; Kul, A.; Kilinc, E. Depression-anxiety and coping strategies of adolescents during the Covid-19 pandemic. Turkish Journal of Education 2021, 10, 58–75. [Google Scholar] [CrossRef]
- Gębska, M.; Kołodziej, Ł.; Dalewski, B.; Pałka, Ł.; Sobolewska, E. The Influence of the COVID-19 Pandemic on the Stress Levels and Occurrence of Stomatoghnatic System Disorders (SSDs) among Physiotherapy Students in Poland. Journal of clinical medicine 2021, 10, 3872. [Google Scholar] [CrossRef]
- Charlesworth, J.C. A comprehensive plan for the wise use of leisure. In Leisure in America: Blessing or curse, 1st ed.; Charlesworth, J.C., Ed.; American Academy of Political Social Science: Philadelphia, American, 1964; pp. 30–46. [Google Scholar]
- Wang, W.C.; Wu, C.C.; Wu, C.Y.; Huan, T.C. Exploring the relationships between free-time management and boredom in leisure. Psychological reports 2012, 110, 416–426. [Google Scholar] [CrossRef] [PubMed]
- Wang, W.C. Exploring the Relationship Among Free-Time Management, Leisure Boredom, and Internet Addiction in Undergraduates in Taiwan. Psychological reports 2019, 122, 1651–1665. [Google Scholar] [CrossRef]
- Mahoney, J.L.; Cairns, B.D.; Farmer, T.W. Promoting interpersonal competence and educational success through extracurricular activity participation. Journal of Educational Psychology 2003, 95, 409–418. [Google Scholar] [CrossRef]
- Morrissey, K.M.; Werner-Wilson, R.J. The relationship between out-of-school activities and positive youth development: An investigation of the influences of communities and family. Adolescence 2005, 40, 67–85. [Google Scholar]
- Eccles, J.S.; Templeton, J. Chapter 4: Extracurricular and Other After-School Activities for Youth. Review of Research in Education 2002, 26, 113–180. [Google Scholar] [CrossRef]
- Bardi, A.; Schwartz, S.H. Values and behavior: strength and structure of relations. Pers Soc Psychol Bull 2003, 29, 1207–1220. [Google Scholar] [CrossRef] [PubMed]
- Cieciuch, J.; Roccas, S.; Sagiv, L. Values and Behavior: Taking a Cross-Cultural Perspective, 1st ed.; Springer: Cham, Switzerland, 2017. [Google Scholar]
- Pavlović, Z; Ilić, I.S. Basic values as predictors of leisure-time activities among adolescents. Primenjena Psihologija, 2022; 15, 85–117.
- Rechter, E.; Sverdlik, N. Adolescents' and teachers' outlook on leisure activities: personal values as a unifying framework. Personality & Individual Differences, 2016; 99, 358–367. [Google Scholar]
- Maio, G.R. The psychology of human values, 1st ed.; Psychology press: London, UK, 2017; pp. 23–28. [Google Scholar]
- Schwartz, S.H. Universals in the content and structure of values: Theoretical advances and empirical tests in 20 countries. Advances in Experimental Social Psychology 1992, 25, 1–65. [Google Scholar]
- Stepanović, I.; Videnović, M.; Plut, D. Obrasci ponašanja mladih tokom slobodnog vremena. Sociologija 2009, 51, 247–261. [Google Scholar]
- Gibbons, J.L.; Lynn, M.; Stiles, D.A. Cross-national gender differences in adolescents' preferences for free-time activities. Cross-Cultural Research, 1997; 31, 5–69. [Google Scholar]
- Sivan, A.; Tam, V.; Siu, G.; Stebbins, R. Adolescents’ Choice and Pursuit of Their Most Important and Interesting Leisure Activities. Leisure Studies 2019, 38, 98–113. [Google Scholar] [CrossRef]
- Chaabane, S.; Doraiswamy, S.; Chaabna, K.; Mamtani, R.; Cheema, S. The Impact of COVID-19 School Closure on Child and Adolescent Health: A Rapid Systematic Review. Children (Basel) 2021, 8, 415. [Google Scholar] [CrossRef]
- Paterson, D.C.; Ramage, K.; Moore, S.A.; Riazi, N.; Tremblay, M.S.; Faulkner, G. Exploring the impact of COVID-19 on the movement behaviors of children and youth: A scoping review of evidence after the first year. Journal of sport and health science 2021, 10, 675–689. [Google Scholar] [CrossRef]
- Ng, K.; Cosma, A.; Svacina, K.; Boniel-Nissim, M.; Badura, P. Czech adolescents' remote school and health experiences during the spring 2020 COVID-19 lockdown. Preventive medicine reports 2021, 22, 101386. [Google Scholar] [CrossRef]
- Nikolaev, E. Undergraduate students’ attitudes to COVID-19 during the lockdown period: Hierarchy of psychological factors. European Psychiatry 2021, 64, S265–S265. [Google Scholar] [CrossRef]
- Karakoc, K.; Karabulut, M.; Ozcan, E.K.; Mujdeci, B. Audiology students' opinions towards COVID-19 pandemic: occupational perspective and future expectations. Hearing Balance and Communication 2022, 20, 72–78. [Google Scholar] [CrossRef]
- Joseph, J.P.; Joseph, A.O.; Conn, G.; Ahsan, E.; Jackson, R.; Kinnear, J. COVID-19 Pandemic-Medical Education Adaptations: the Power of Students, Staff and Technology. Medical science educator 2020, 30, 1355–1356. [Google Scholar] [CrossRef] [PubMed]
- Aldridge, M.D.; McQuagge, E. "Finding My Own Way": The lived experience of undergraduate nursing students learning psychomotor skills during COVID-19. Teach Learn Nurs 2021, 16, 347–351. [Google Scholar] [CrossRef]
- Cairney-Hill, J.; Edwards, A.E. ; Jaafar, N; Gunganah, K.; Macavei, V.M.; Khanji, M.Y. Challenges and opportunities for undergraduate clinical teaching during and beyond the COVID-19 pandemic. J R Soc Med, 2021; 114, 113–116. [Google Scholar]
- Goodwin, M.M.; Califf, M.E. An assessment of the impact of time management training on student success in a time-intensive course. Journal on Excellence in College Teaching, 2007; 18, 19–41. [Google Scholar]
- Tabvuma, V.; Carterrogers, K.; Brophy, T.; Smith, S.M.; Sutherland, S. Transitioning from in person to online learning during a pandemic: an experimental study of the impact of time management training. Higher Education Research & Development, 2021; 12, 1–17. [Google Scholar]
- Duan, L.; Zhu, G. Psychological interventions for people affected by the COVID-19 epidemic. Lancet Psychiatry 2020, 7, 300–302. [Google Scholar] [CrossRef] [PubMed]
- Gao, J.; Zheng, P.; Jia, Y.; Chen, S.; Wang, Y.; Fu, H.; Dai, J. Mental health problems and social media exposure during COVID-19 outbreak. PloS one 2020, 15, e0231924. [Google Scholar]
- Cao, W.; Fang, Z.; Hou, G.; Han, M.; Xu, X.; Dong, J.; Zheng, J. The psychological impact of the COVID-19 epidemic on college students in China. Psychiatry Res, 2020; 287, 112934. [Google Scholar]
- Odriozola-González, P.; Planchuelo-Gómez, Á.; Irurtia, M.J.; de Luis-García, R. Psychological effects of the COVID-19 outbreak and lockdown among students and workers of a Spanish university. Psychiatry research 2020, 290, 113108. [Google Scholar] [CrossRef]
- Xiao, C.A. Novel Approach of Consultation on 2019 Novel Coronavirus (COVID-19)-Related Psychological and Mental Problems: Structured Letter Therapy. Psychiatry investigation 2020, 17, 175–176. [Google Scholar] [CrossRef]
Disclaimer/Publisher’s Note: The statements, opinions and data contained in all publications are solely those of the individual author(s) and contributor(s) and not of MDPI and/or the editor(s). MDPI and/or the editor(s) disclaim responsibility for any injury to people or property resulting from any ideas, methods, instructions or products referred to in the content. |
© 2023 by the authors. Licensee MDPI, Basel, Switzerland. This article is an open access article distributed under the terms and conditions of the Creative Commons Attribution (CC BY) license (http://creativecommons.org/licenses/by/4.0/).