Submitted:
09 August 2023
Posted:
11 August 2023
You are already at the latest version
Abstract

Keywords:
1. Introduction
2. State of the Art
3. Numerical Scheme
3.1. Analysis Process

3.2. Theoretical Background of DEM

3.3. Theoretical Background of CFD [38]
3.4. Theoretical Background of DEM-CFD Coupling [39]
3.5. Archard Wear Law
4. Evaluation of Hull Wear Due to Collision with Ice Floes
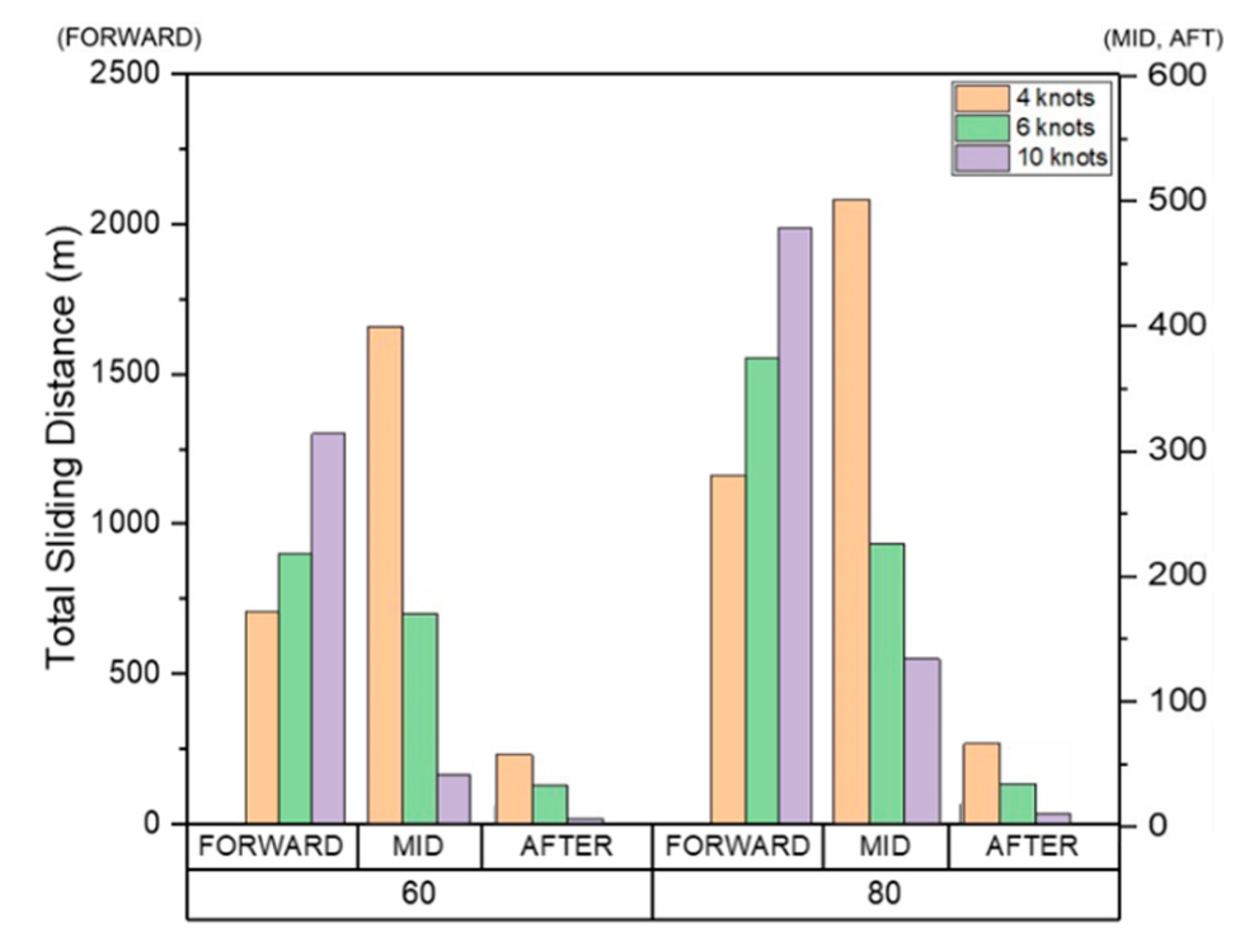
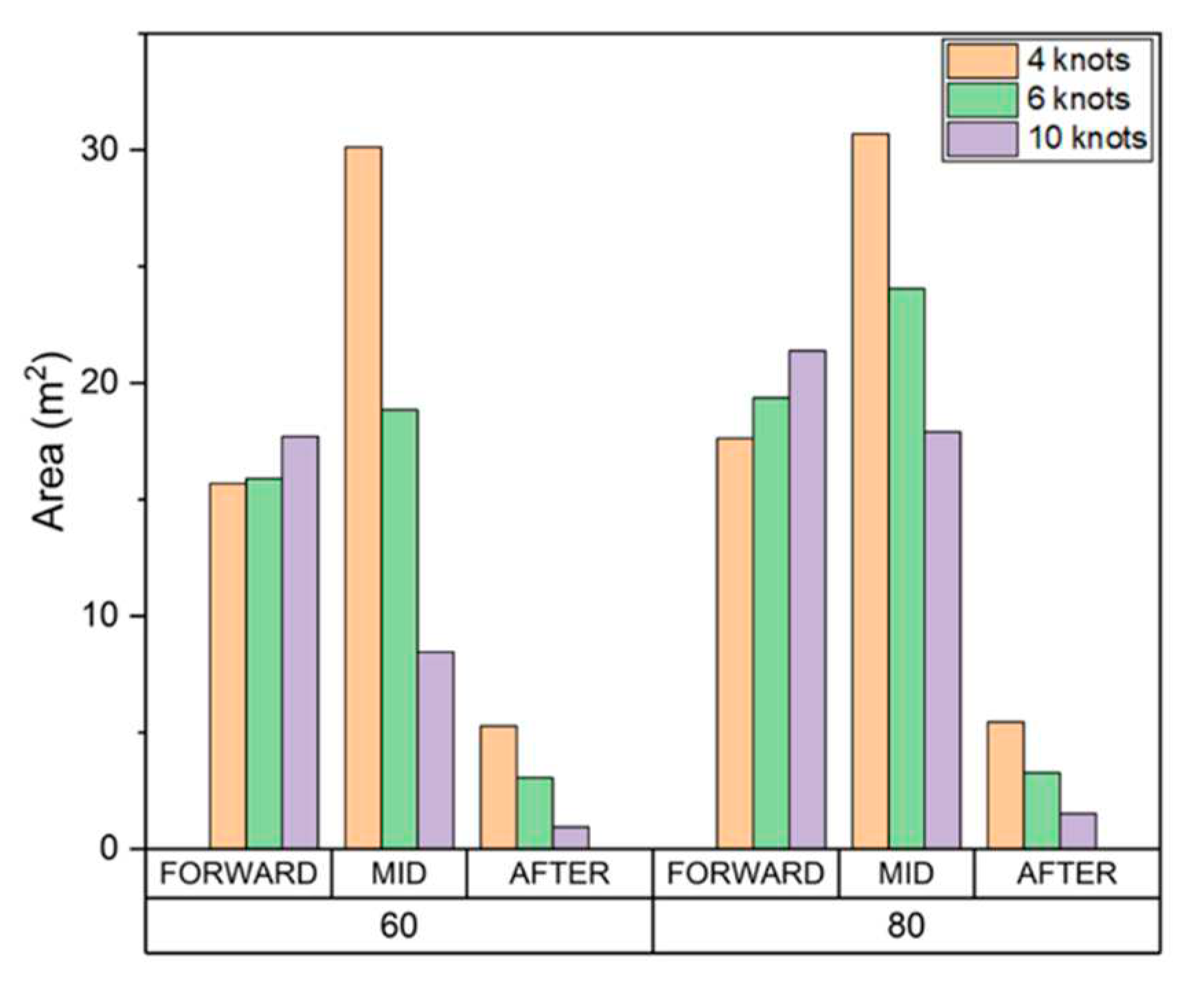
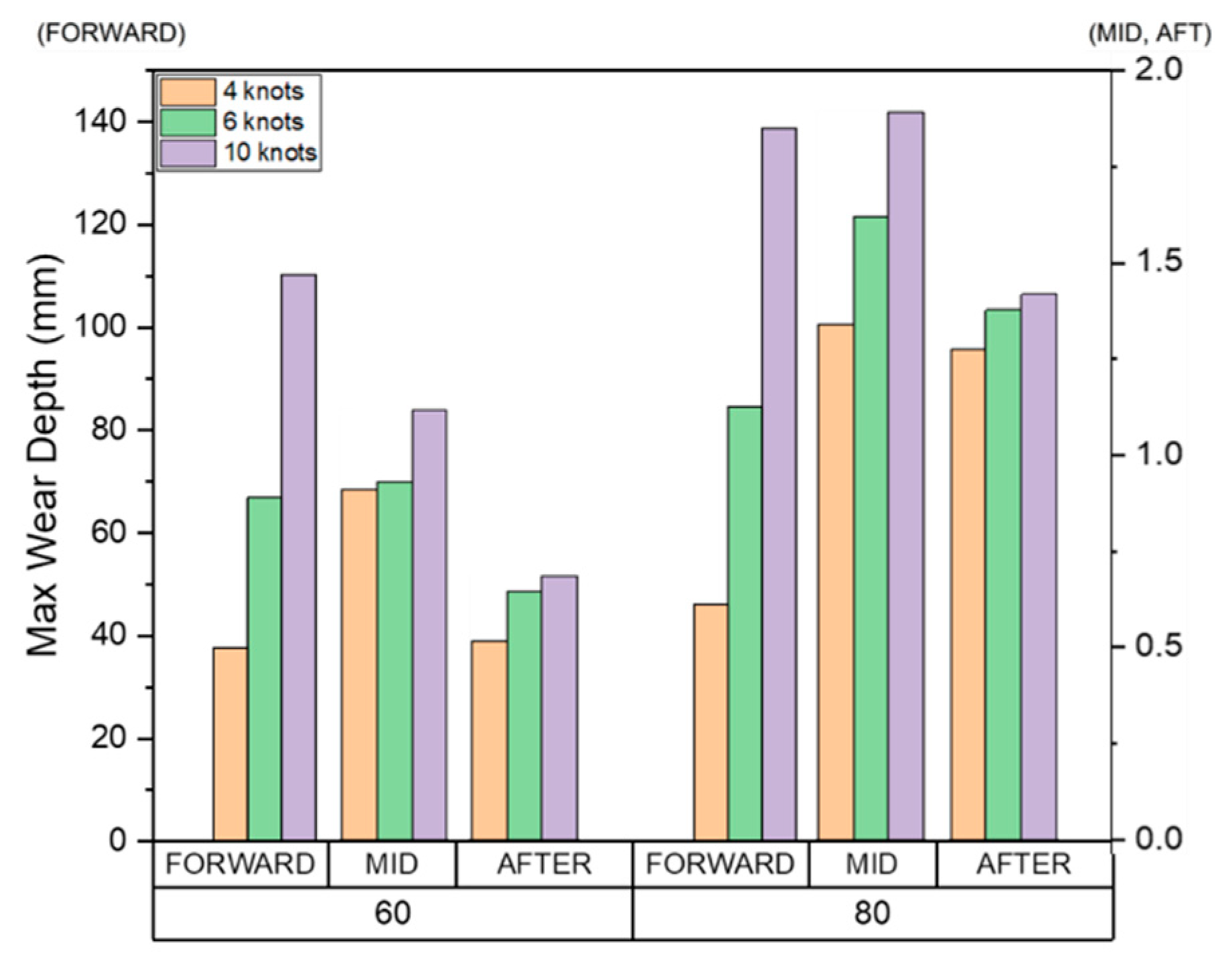
4.1. Evaluation Conditions

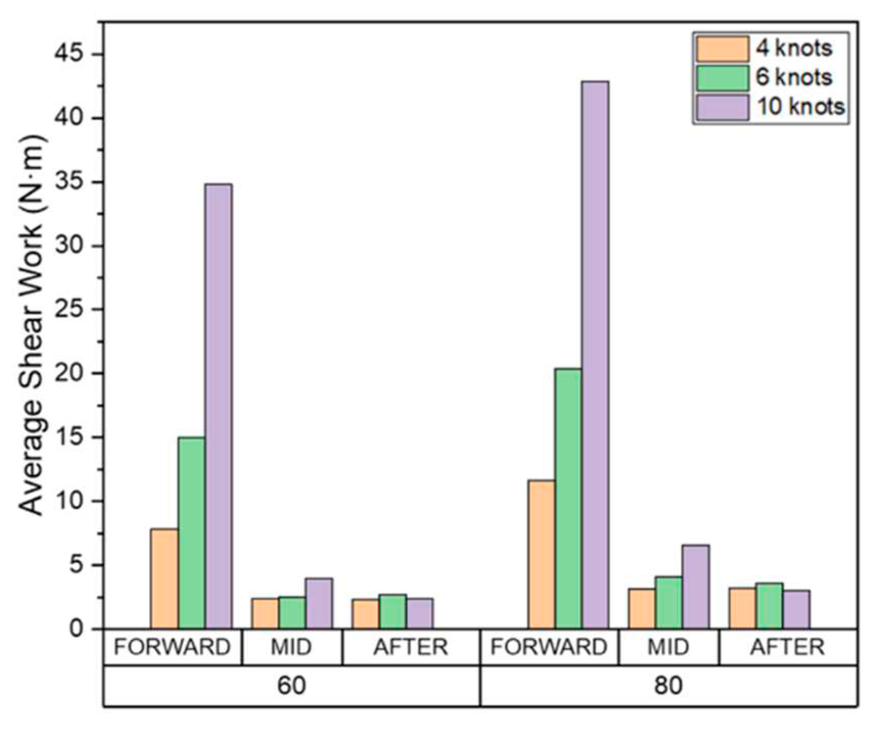
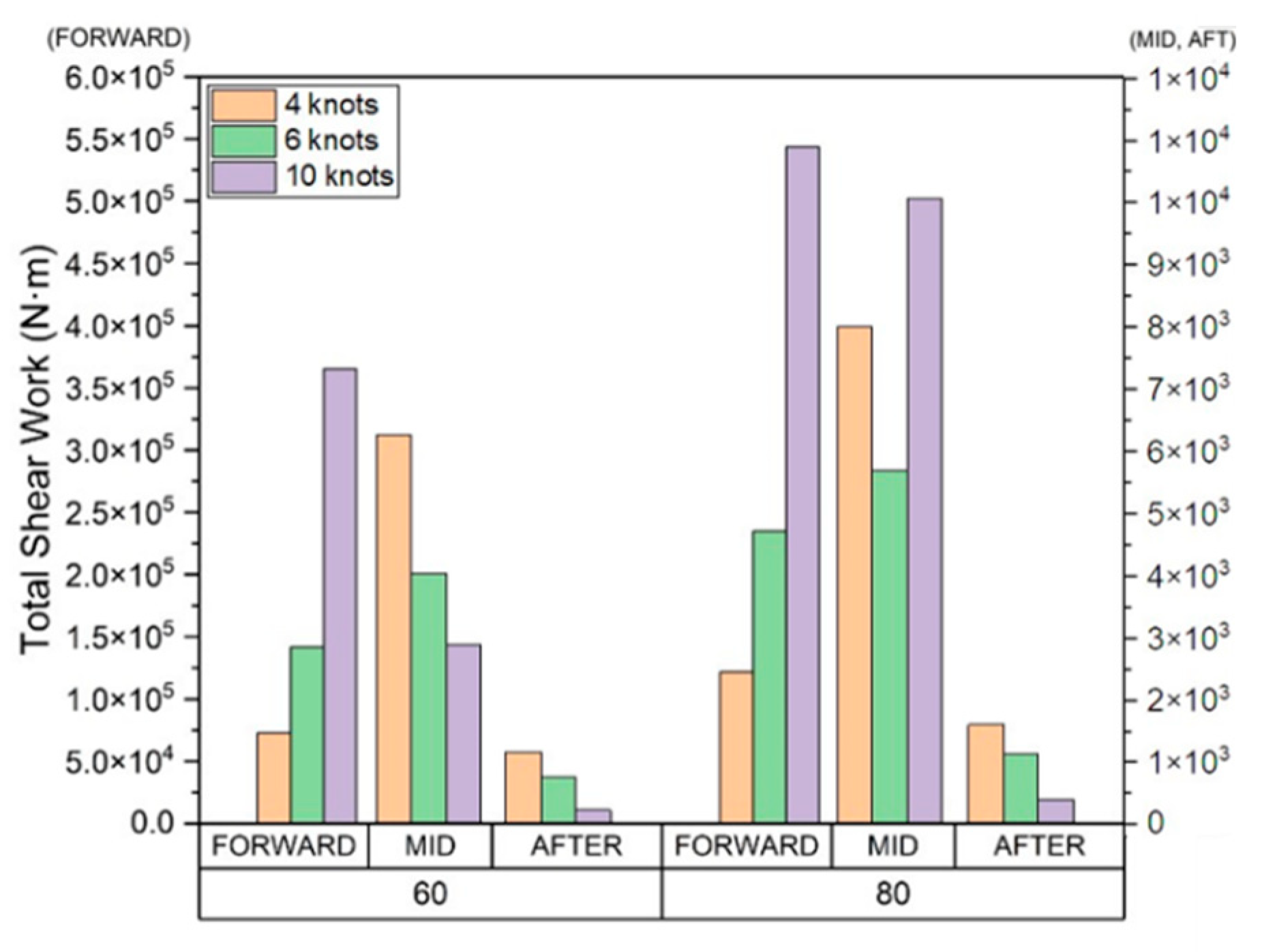
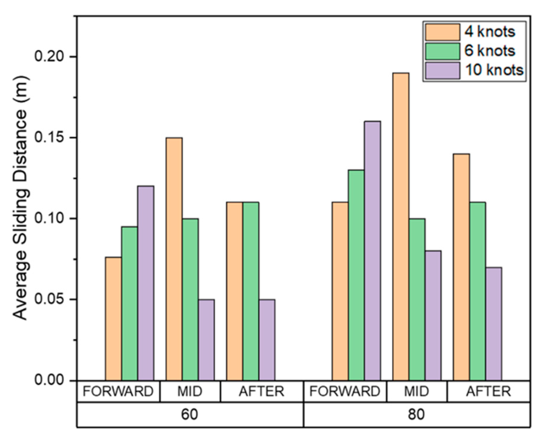
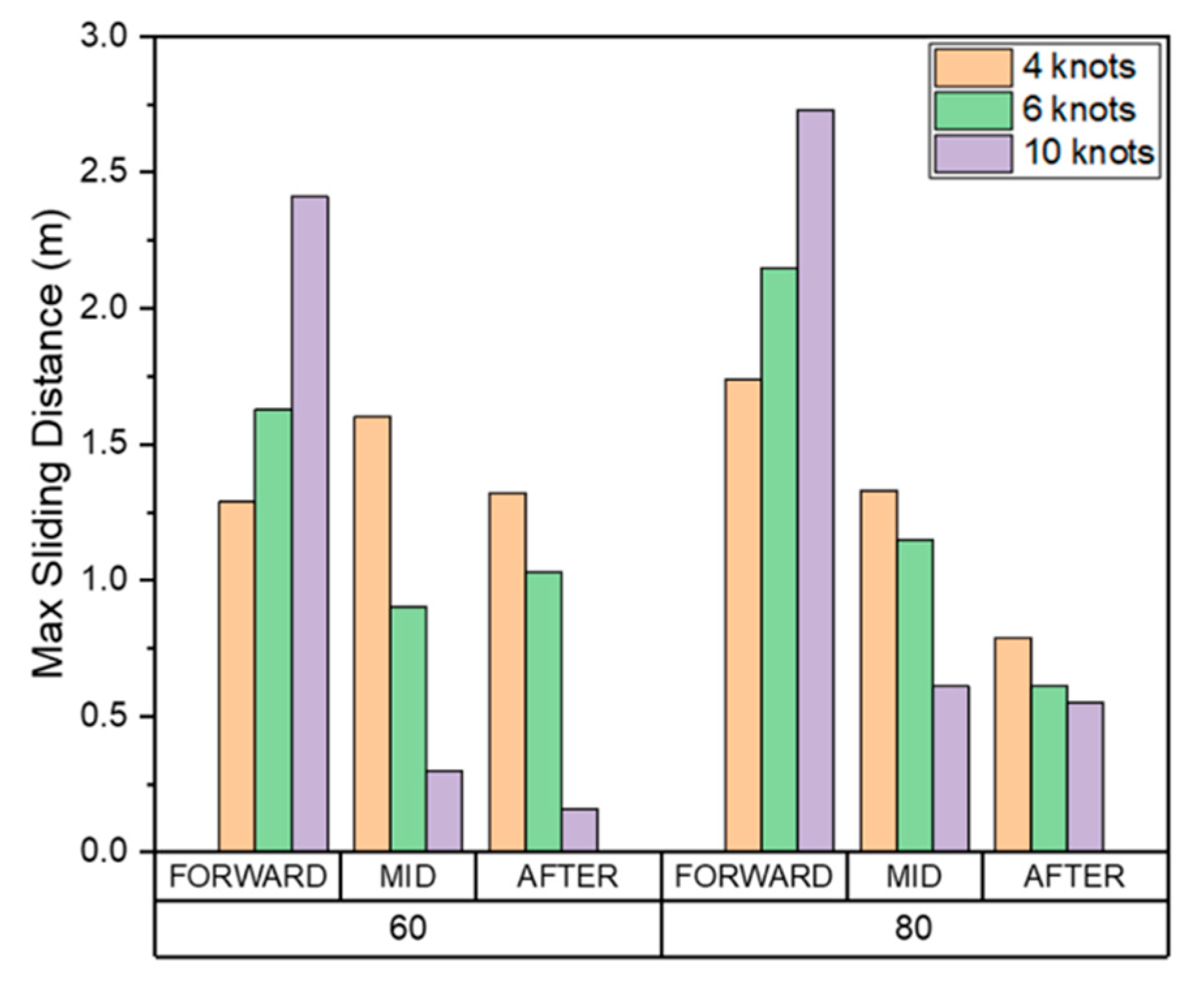
4.2. Coating Material Wear Assessment

4.3. Hull Material Wear Assessment
4.4. Comparison of the Results According to the Evaluation Method
5. Conclusions
Author Contributions
Funding
Data Availability Statement
Acknowledgments
Conflicts of Interest
References
- Ardhuin, F.; Sutherland, P.; Doble, M.; Wadhams, P. Ocean waves across the Arctic: Attenuation due to dissipation dominates over scattering for periods longer than 19s. Geophys. Res. Lett. 2016, 43, 5775–5783. [Google Scholar] [CrossRef]
- Riska, K.; Bridges, R. Limit state design and methodologies in ice class rules for ships and standards for Arctic offshore structures. Mar. Struct. 2019, 63, 462–479. [Google Scholar] [CrossRef]
- Adumene, S.; Ikue-John, H. Offshore system safety and operational challenges in harsh Arctic operations. J. Saf. Sci. Resil. 2022, 3, 153–168. [Google Scholar] [CrossRef]
- International Association of Classification Societies (IACS). Polar ship rules, URI. 2016.
- International Association of Classification Societies (IACS). Technical background (TB) documents for URs concerning polar class (UR I). 2016.
- International Maritime Organization (IMO). Descriptions of polar classes, submitted by the international association of classification Societies (IACS), development of a mandatory code for ships operating in polar waters, DE 55/12/10. 2011.
- International Maritime Organization (IMO). International code for ships operating in polar waters (polar code), resolution MEPC.264(68). 2014. adopted on. 15 May.
- Gao, Y.; Hu, Z.; Wang, J. Sensitivity analysis for iceberg geometry shape in ship–iceberg collision in view of different material models. Math. Probl. Eng. 2014, 2014, 11. [Google Scholar] [CrossRef]
- Kim, H.; Daley, C.; Colbourne, B. A numerical model for ice crushing on concave surfaces. Ocean. Eng. 2015, 106, 289–297. [Google Scholar] [CrossRef]
- Liu, L.; Sun, S.; Ji, S. Interaction between Floater and Sea Ice Simulated with Dilated Polyhedral DEM, DEM 2016: Proceedings of the 7th International Conference on Discrete Element Methods, 1-. 4 August.
- van den Berg, M. Discrete Numerical Modelling of the Interaction Between Broken Ice Fields and Structures, Norwegian University of Science and Technology, 2019.
- Sun, S.; Shen, H. Simulation of pancake ice load in a circular cylinder in a wave and current field. Cold Reg. Sci. Technol. 2012, 78, 31–39. [Google Scholar] [CrossRef]
- Kwon, J.; Jeon, B.; Kim, J.; Bo Wang, H.Y.; Basu, R.; Lee, H.; Kendrick, A. Structural Integrity Assessment of Cargo Containment Systems in Arctic LNG Carriers under Ice Loads. In Fourth Annual Arctic Shipping St. Petersburg, Russia.
- Nho, I.S.; Lim, S.J.; Kang, K.J. Safe Speed Estimation of Arctic Ships considering Structural Safety. J. Soc. Nav. Archit. Korea 2018, 55, 236–242. [Google Scholar] [CrossRef]
- Han, Y.; Sawamura, J. Fatigue Damage Calculation for Ship Hulls Operating in Pack Ice, Proceeding of the 24th International Conference on Port and Ocean Engineering under Arctic Conditions, 11–16 June.
- Cai, W.; Zhu, L.; Yu, T.X.; Li, Y. Numerical simulations for plates under ice impact based on a concrete constitutive ice model. Int. J. Impact Eng. 2020, 143, 103594. [Google Scholar] [CrossRef]
- Zhu, L.; Qiu, X.; Chen, M.; Yu, T.X. Simplified ship-ice collision numerical simulations, In The 26th International Ocean and Polar Engineering Conference, Rhodes, Greece, 16. 20 June.
- Kim, M.; Lee, S.; Lee, W.; Wang, J. Numerical and experimental investigation of the resistance performance of an icebreaking cargo vessel in pack ice conditions. Int. J. Nav. Archit. Ocean. Eng. 2013, 5, 116–131. [Google Scholar] [CrossRef]
- Robb, D.M.; Gaskin, S.J.; Marongiu, J.C. SPH-DEM model for free-surface flows containing solids applied to river ice jams. J. Hydraulic Research 2016, 54, 27–40. [Google Scholar] [CrossRef]
- Huang, L.; Tuhkuri, L.; Igrec, B.; Li, M.; Stagonas, D.; Toffoli, A.; Cardiff, P.; Thomas, G. Ship resistance when operating in floating ice floes: A combined CFD&DEM approach. Mar. Struct. 2020, 74, 102817. [Google Scholar]
- Luo, W.; Jiang, D.; Wu, T.; Guo, C.; Wang, C.; Deng, R.; Dai, S. Numerical simulation of an ice-strengthened bulk carrier in brash ice channel. Ocean Eng. 2020, 196, 106830. [Google Scholar] [CrossRef]
- Liu, L.; Ji, S. Dilated-polyhedron-based DEM analysis of the ice resistance on ship hulls in escort operations in level ice. Mar. Struct. 2021, 80, 103092. [Google Scholar] [CrossRef]
- Zhang, J.; Zhang, Y.; Shang, Y.; Jin, Q.; Zhang, L. CFD-DEM based full-scale ship-ice interaction research under FSICR ice condition in restricted brash ice channel. Cold Reg. Sci. Technol. 2022, 194, 103454. [Google Scholar] [CrossRef]
- Suyuthi, A.; Leira, B.J.; Riska, K. Fatigue damage of ship hulls due to local ice-induced stresses. Appl. Ocean. Res. 2013, 42, 87–104. [Google Scholar] [CrossRef]
- Cho, S.; Chun, E.; Yoo, C.; Jeong, S.; Lee, C. The measuring methodology of friction coefficient between ice and ship hull. J. Soc. Nav. Archit. Korea 2011, 48, 363–367. [Google Scholar] [CrossRef]
- Kietzig, A.M.; Hatzikiriakos, S.G.; Englezos, P. Physics of ice friction. J. Appl. Phys. 2010, 107, 081101. [Google Scholar] [CrossRef]
- Shimizu, K.; Noguchi, T.; Seitoh, H.; Okada, M.; Matsubara, Y. FEM Analysis of Erosive Wear. Wear 2001, 250, 779–784. [Google Scholar] [CrossRef]
- Xie, L.-J.; Schmidt, J.; Schmidt, C.; Biesinger, F. 2D FEM estimate of tool wear in turning operation. Wear 2005, 258, 1479–1490. [Google Scholar] [CrossRef]
- Chen, J.; Wang, Y.; Li, X.; He, R.; Han, S.; Chen, Y. Erosion prediction of liquid-particle two-phase flow in pipeline elbows via CFD–DEM coupling method. Powder Technol. 2015, 282, 25–31. [Google Scholar] [CrossRef]
- Xu, L.; Zhang, Q.; Zheng, J.; Zhao, Y. Numerical prediction of erosion in elbow based on CFD-DEM simulation. Powder Technol. 2016, 302, 236–246. [Google Scholar] [CrossRef]
- Zhang, D.M.; Gao, C.P.; Yin, Z.Y. CFD-DEM modeling of seepage erosion around shield tunnels. Tunn. Undergr. Space Technol. 2019, 83, 60–72. [Google Scholar] [CrossRef]
- Walker, C.I.; Hambe, M. Influence of particle shape on slurry wear of white iron. Wear 2015, 332, 1021–1027. [Google Scholar] [CrossRef]
- Shunying, J.I.; Zilin, L.I.; Chunhua, L.I.; Shang, J. Discrete element modeling of ice loads on ship hulls in broken ice fields. Acta Oceanol. Sin. 2013, 32, 50–58. [Google Scholar]
- Cleary, P.W.; Morrisson, R.; Morrell, S. Comparison of DEM and experiment for a scale model SAG mill. Int. J. Miner. Process. 2003, 68, 129–165. [Google Scholar] [CrossRef]
- Morrison, R.D.; Cleary, P.W. Using DEM to model ore breakage within a pilot scale SAG mill. Miner. Eng. 2004, 17, 1117–1124. [Google Scholar] [CrossRef]
- ESSS Rocky, Release 2022 R1.1, DEM Technical Manual, ESSS Rocky DEM, S.R.L.
- Lee, S.; Lee, J.; Hwang, S. Suggestion of Practical Application of Discrete Element Method for Long-Term Wear of Metallic Materials. Appl. Sci. 2022, 12, 10423. [Google Scholar] [CrossRef]
- Ansys Inc., Fluent Theory Guide Release 2020, Ansys Inc.
- ESSS Rocky, Release 2022 R1.1, CFD Coupling Technical Manual, ESSS Rocky DEM, S.R.L.
- Ganser, G.H. A rational approach to drag prediction of spherical and nonspherical particles. Powder Technol. 1993, 77, 143–152. [Google Scholar] [CrossRef]
- Archard, J.F. Wear theory and mechanisms. In Wear control handbook; American Society of Mechanical Engineers, 1980. [Google Scholar]
- Transport Canada, Safe speed in ice: an analysis of transit speed and ice decision numerals. Ship Safety Northern (AMNS), 1996.
- Transport Canada, Arctic Ice Regime Shipping System (AIRSS), Pictorial Guide, 03. 20 January.


































| Ice | Ship | |
|---|---|---|
| Density (kg/m3) | 900 | 7850 |
| Bulk Young’s modulus (MPa) | 61 | 2.0e5 |
| Poisson’s ratio | 0.003 | 0.3 |
| Ice-Ice | Ice-Ship | |
|---|---|---|
| Friction coefficient | 0.1 | 0.131 |
| Tangential stiffness ratio | 1 | 1 |
| Restitution coefficient | 0.1 | 0.2 |
| Speed [knots] |
[1] Affected Area [m2] |
[2] Total shear work/[1] [N·m/m2] |
[3] Ratio to Bow in [2] (%) |
||||
|---|---|---|---|---|---|---|---|
| Ice Concentration | |||||||
| 60% | 80% | 60% | 80% | 60% | 80% | ||
| Bow (Forward) |
4 | 15.69 | 19.63 | 4.60E+3 | 6.90E+3 | - | - |
| 6 | 15.90 | 19.36 | 8.92E+3 | 1.21E+4 | - | - | |
| 10 | 17.71 | 21.38 | 2.06E+4 | 2.54E+4 | - | - | |
| Midship | 4 | 30.12 | 30.69 | 209.72 | 270.49 | 4.56 | 3.92 |
| 6 | 18.85 | 24.05 | 215.60 | 244.86 | 2.42 | 2.02 | |
| 10 | 8.46 | 17.90 | 343.09 | 583.56 | 1.67 | 2.30 | |
| Stern (After) |
4 | 5.28 | 5.44 | 229.31 | 296.24 | 4.99 | 4.29 |
| 6 | 3.06 | 3.28 | 254.47 | 346.18 | 2.85 | 2.86 | |
| 10 | 0.95 | 1.52 | 247.15 | 264.33 | 1.20 | 1.04 | |
| Speed [knots] |
Ice concentration = 60% | Ice concentration = 80% | |||
|---|---|---|---|---|---|
| Average | Max | Average | Max | ||
| Bow (Forward) |
4 | 2.38 | 90.83 | 3.51 | 109.81 |
| 6 | 4.59 | 284.00 | 6.20 | 412.03 | |
| 10 | 10.76 | 863.34 | 13.06 | 953.36 | |
| Mid Ship | 4 | 0.11 | 5.78 | 0.14 | 4.14 |
| 6 | 0.11 | 5.00 | 0.13 | 3.38 | |
| 10 | 0.19 | 4.83 | 0.30 | 10.38 | |
| Stern (AFTER) |
4 | 0.12 | 1.90 | 0.16 | 2.22 |
| 6 | 0.14 | 2.39 | 0.25 | 9.95 | |
| 10 | 0.12 | 2.63 | 0.13 | 2.52 | |
| Ice concentration |
Numerical model |
Average wear depth [mm] |
Maximum wear depth [mm] |
Area [m2] |
||||||
|---|---|---|---|---|---|---|---|---|---|---|
| 4 knots |
6 knots |
10 knots |
4 knots |
6 knots |
10 knots |
4 knots |
6 knots |
10 knots |
||
| 60% | With deformed geometry |
2.97 | 5.18 | 8.28 | 37.73 | 66.89 | 110.3 | 26.38 | 26.56 | 31.25 |
| Without deformed geometry |
2.38 | 4.59 | 10.76 | 90.83 | 284.0 | 863.3 | 15.69 | 15.90 | 19.36 | |
| 80% | With deformed geometry |
4.13 | 6.39 | 10.38 | 46.10 | 84.53 | 138.8 | 29.00 | 30.88 | 35.65 |
| Without deformed geometry |
3.51 | 6.20 | 13.06 | 109.8 | 512.0 | 953.4 | 19.63 | 19.36 | 21.38 | |
Disclaimer/Publisher’s Note: The statements, opinions and data contained in all publications are solely those of the individual author(s) and contributor(s) and not of MDPI and/or the editor(s). MDPI and/or the editor(s) disclaim responsibility for any injury to people or property resulting from any ideas, methods, instructions or products referred to in the content. |
© 2023 by the authors. Licensee MDPI, Basel, Switzerland. This article is an open access article distributed under the terms and conditions of the Creative Commons Attribution (CC BY) license (http://creativecommons.org/licenses/by/4.0/).