Submitted:
27 July 2023
Posted:
31 July 2023
You are already at the latest version
Abstract

Keywords:
1. Introduction
2. Materials and Methods
Meteodrone

Sounding
Remote-sensing
WMO requirements and quality analysis
3. Results and discussion
Availability
| # flights | Complete nights | |
|---|---|---|
| Planned | 1024 | 128 |
| Effective | 864 | 87 |
| Effective in % | 75.7% | 68 % |
Case study 1: 24/05/2022
Case study 2: 15/12/2021
Quality evaluation
- 3 cases with a dry layer above fog that was not correctly measured (15, 16 and 20 12/2021). As discussed in case study 2, a contamination of the humidity sensor might be the origin of these differences with an RMS for specific humidity reached values up to 285% the 20/12/2021.
- 4 cases where the humidity of the sensor was not recorded correctly (24, 25 and 26 01/2022 and 16/03/2022).
- 1 case with a very dry layer (RH<1.6% measured by the radiosonde and RH<6.95% measured by the Meteodrone on 28/02/2022) leading to significant difference in terms of specific humidity (72%). This result is not representative of the performance of the Meteodrone this day as the Relative Humidity measured by the Meteodrone was close to the one measured by the RS-41 (see Appendix A6).
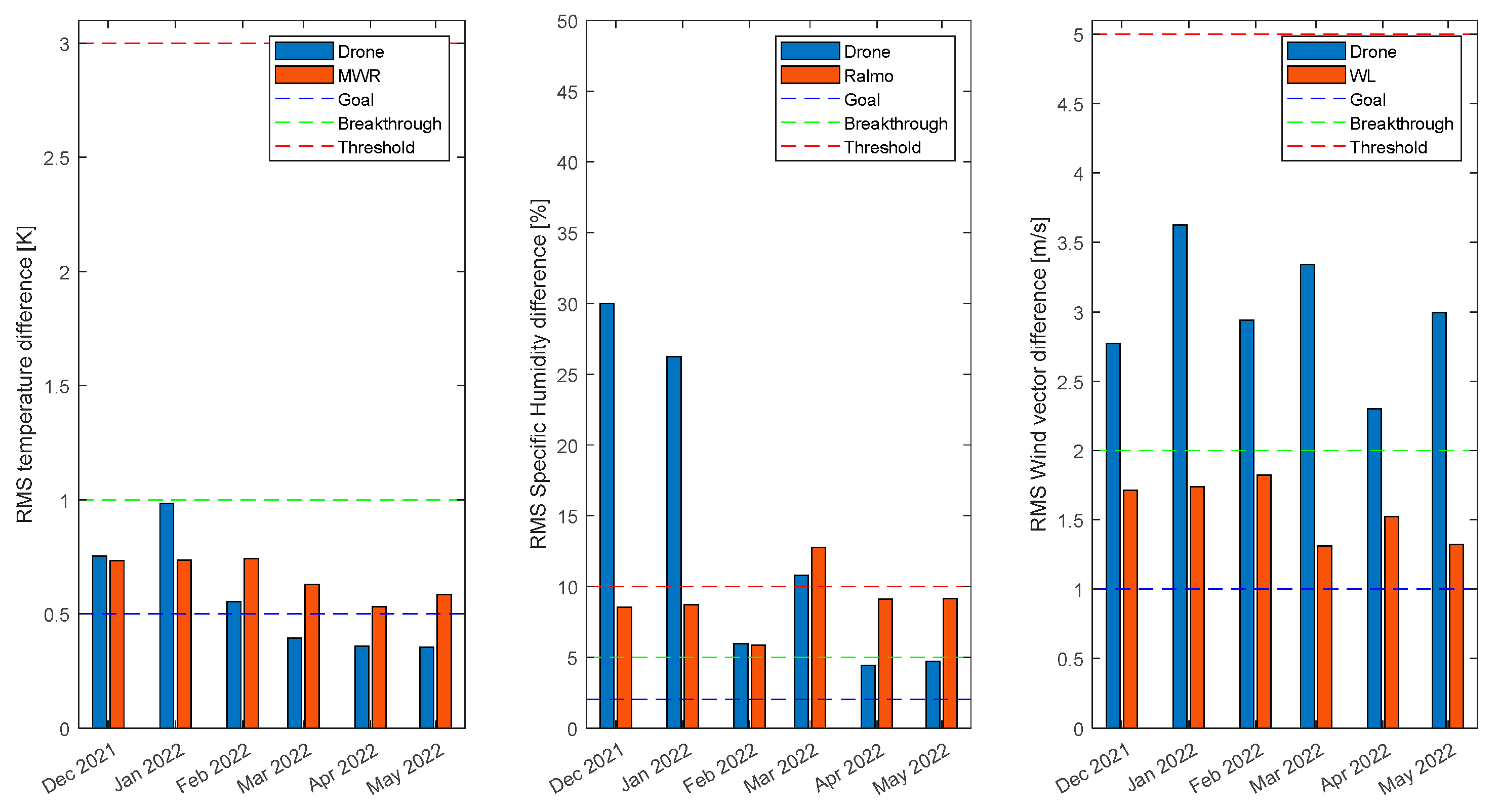
| Goal | Break-through | Threshold | Drone | Remote-sensing | ||
| Atmospheric temperature | 0.5 K | 1 K | 3 K | 0.68K | 0.72K | Microwave radiometer |
| Specific humidity | 2% | 5% | 10% | 8.3%* | 9.2%* | RALMO |
| Wind (horizontal) | 1m/s | 2m/s | 5m/s | 3.1 m.s-1 | 1.8 m.s-1 | Wind Lidar |
Time evolution
4. Conclusions
Author Contributions
Funding
Data Availability Statement
Acknowledgments
Conflicts of Interest
Appendix A






References
- WMO OSCAR | Application Area: High Res NWP. Available online: https://space.oscar.wmo.int/applicationareas/view/high_res_nwp (accessed on 12 July 2022).
- Illingworth, A.J.; Cimini, D.; Haefele, A.; Haeffelin, M.; Hervo, M.; Kotthaus, S.; Löhnert, U.; Martinet, P.; Mattis, I.; O’Connor, E.J.; et al. How Can Existing Ground-Based Profiling Instruments Improve European Weather Forecasts? Bulletin of the American Meteorological Society 2019, 100, 605–619. [Google Scholar] [CrossRef]
- Leuenberger, D.; Haefele, A.; Omanovic, N.; Fengler, M.; Martucci, G.; Calpini, B.; Fuhrer, O.; Rossa, A. Improving High-Impact Numerical Weather Prediction with Lidar and Drone Observations. Bulletin of the American Meteorological Society 2020, 101, E1036–E1051. [Google Scholar] [CrossRef]
- Pinto, J.O.; O’Sullivan, D.; Taylor, S.; Elston, J.; Baker, C.B.; Hotz, D.; Marshall, C.; Jacob, J.; Barfuss, K.; Piguet, B.; et al. The Status and Future of Small Uncrewed Aircraft Systems (UAS) in Operational Meteorology. Bulletin of the American Meteorological Society 2021, 102, E2121–E2136. [Google Scholar] [CrossRef]
- McFarquhar, G.M.; Smith, E.; Pillar-Little, E.A.; Brewster, K.; Chilson, P.B.; Lee, T.R.; Waugh, S.; Yussouf, N.; Wang, X.; Xue, M.; et al. Current and Future Uses of UAS for Improved Forecasts/Warnings and Scientific Studies. Bulletin of the American Meteorological Society 2020, 101, E1322–E1328. [Google Scholar] [CrossRef]
- Bärfuss, K.; Dirksen, R.; Schmithüsen, H.; Bretschneider, L.; Pätzold, F.; Bollmann, S.; Panten, P.; Rausch, T.; Lampert, A. Drone-Based Atmospheric Soundings Up to an Altitude of 10 Km-Technical Approach towards Operations. Drones 2022, 6, 404. [Google Scholar] [CrossRef]
- UAS Demonstration Campaign | World Meteorological Organization. Available online: https://community.wmo.int/uas-demonstration (accessed on 11 July 2022).
- Laitinen, A. Utilization of Drones in Vertical Profile Measurements of the Atmosphere. 2019.
- Muñoz, L.E.; Campozano, L.V.; Guevara, D.C.; Parra, R.; Tonato, D.; Suntaxi, A.; Maisincho, L.; Páez, C.; Villacís, M.; Córdova, J.; et al. Comparison of Radiosonde Measurements of Meteorological Variables with Drone, Satellite Products, and WRF Simulations in the Tropical Andes: The Case of Quito, Ecuador. Atmosphere 2023, 14, 264. [Google Scholar] [CrossRef]
- Wilgan, K.; Stauffer, R.; Meindl, M.; Geiger, A. Comparison of Tropospheric Parameters from Meteodrone Measurements with GNSS Estimates from Ground-Based Stations. Advances in Space Research 2020, 66, 2812–2826. [Google Scholar] [CrossRef]
- Jeannet, P.; Philipona, R.; Richner, H. Swiss Upper-Air Balloon Soundings since 1902. In From weather observations to atmospheric and climate sciences in Switzerland: Celebrating 100 years of the Swiss Society for Meteorology: A book of the Swiss Society for Meteorology; vdf Hochschulverlag an der ETH Zürich, 2016 ISBN 978-3-7281-3745-6.
- Jensen, M.P.; Holdridge, D.J.; Survo, P.; Lehtinen, R.; Baxter, S.; Toto, T.; Johnson, K.L. Comparison of Vaisala Radiosondes RS41 and RS92 at the ARM Southern Great Plains Site. Atmospheric Measurement Techniques 2016, 9, 3115–3129. [Google Scholar] [CrossRef]
- Philipona, R.; Mears, C.; Fujiwara, M.; Jeannet, P.; Thorne, P.; Bodeker, G.; Haimberger, L.; Hervo, M.; Popp, C.; Romanens, G.; et al. Radiosondes Show That After Decades of Cooling, the Lower Stratosphere Is Now Warming. Journal of Geophysical Research: Atmospheres 2018, 123, 12,509–12,522. [Google Scholar] [CrossRef]
- Calpini, B.; Ruffieux, D.; Bettems, J.-M.; Hug, C.; Huguenin, P.; Isaak, H.-P.; Kaufmann, P.; Maier, O.; Steiner, P. Ground-Based Remote Sensing Profiling and Numerical Weather Prediction Model to Manage Nuclear Power Plants Meteorological Surveillance in Switzerland. Atmospheric Measurement Techniques 2011, 4, 1617–1625. [Google Scholar] [CrossRef]
- Haefele, A.; Ruffieux, D. Validation of the 1290 MHz Wind Profiler at Payerne, Switzerland, Using Radiosonde GPS Wind Measurements. Meteorological Applications 2015, 22, 873–878. [Google Scholar] [CrossRef]
- Löhnert, U.; Maier, O. Operational Profiling of Temperature Using Ground-Based Microwave Radiometry at Payerne: Prospects and Challenges. Atmospheric Measurement Techniques 2012, 5, 1121–1134. [Google Scholar] [CrossRef]
- Trzcina, E.; Tondaś, D.; Rohm, W. Cross-Comparison of Meteorological Parameters and ZTD Observations Supplied by Microwave Radiometers, Radiosondes, and GNSS Services. Geodesy and Cartography 2021, 70, article no. e08. [Google Scholar]
- Liu, M.; Liu, Y.-A.; Shu, J. Characteristics Analysis of the Multi-Channel Ground-Based Microwave Radiometer Observations during Various Weather Conditions. Atmosphere 2022, 13, 1556. [Google Scholar] [CrossRef]
- Löhnert, U.; Turner, D.D.; Crewell, S. Ground-Based Temperature and Humidity Profiling Using Spectral Infrared and Microwave Observations. Part I: Simulated Retrieval Performance in Clear-Sky Conditions. Journal of Applied Meteorology and Climatology 2009, 48, 1017–1032. [Google Scholar] [CrossRef]
- Dinoev, T.; Simeonov, V.; Arshinov, Y.; Bobrovnikov, S.; Ristori, P.; Calpini, B.; Parlange, M.; van den Bergh, H. Raman Lidar for Meteorological Observations, RALMO &Ndash; Part 1: Instrument Description. Atmospheric Measurement Techniques 2013, 6, 1329–1346. [Google Scholar] [CrossRef]
- Brocard, E.; Philipona, R.; Haefele, A.; Romanens, G.; Mueller, A.; Ruffieux, D.; Simeonov, V.; Calpini, B. Raman Lidar for Meteorological Observations, RALMO – Part 2: Validation of Water Vapor Measurements. Atmos. Meas. Tech. 2013, 6, 1347–1358. [Google Scholar] [CrossRef]
- Martucci, G.; Navas-Guzmán, F.; Renaud, L.; Romanens, G.; Gamage, S.M.; Hervo, M.; Jeannet, P.; Haefele, A. Validation of Pure Rotational Raman Temperature Data from the Raman Lidar for Meteorological Observations (RALMO) at Payerne. Atmospheric Measurement Techniques 2021, 14, 1333–1353. [Google Scholar] [CrossRef]
- Kotthaus, S.; O’Connor, E.; Münkel, C.; Charlton-Perez, C.; Haeffelin, M.; Gabey, A.M.; Grimmond, C.S.B. Recommendations for Processing Atmospheric Attenuated Backscatter Profiles from Vaisala CL31 Ceilometers. Atmospheric Measurement Techniques 2016, 9, 3769–3791. [Google Scholar] [CrossRef]
- Teco, C. The E-PROFILE Network for the Operational Measurement of Wind and Aerosol Profiles over Europe.
- Gaffard, C.; Li, Z.; Harrison, D.; Lehtinen, R.; Roininen, R. Evaluation of a Prototype Broadband Water-Vapour Profiling Differential Absorption Lidar at Cardington, UK. Atmosphere 2021, 12. [Google Scholar] [CrossRef]
- Wang, J.; Cole, H.L.; Carlson, D.J.; Miller, E.R.; Beierle, K.; Paukkunen, A.; Laine, T.K. Corrections of Humidity Measurement Errors from the Vaisala RS80 Radiosonde—Application to TOGA COARE Data. Journal of Atmospheric and Oceanic Technology 2002, 19, 981–1002. [Google Scholar] [CrossRef]






Disclaimer/Publisher’s Note: The statements, opinions and data contained in all publications are solely those of the individual author(s) and contributor(s) and not of MDPI and/or the editor(s). MDPI and/or the editor(s) disclaim responsibility for any injury to people or property resulting from any ideas, methods, instructions or products referred to in the content. |
© 2023 by the authors. Licensee MDPI, Basel, Switzerland. This article is an open access article distributed under the terms and conditions of the Creative Commons Attribution (CC BY) license (http://creativecommons.org/licenses/by/4.0/).