Submitted:
26 July 2023
Posted:
27 July 2023
You are already at the latest version
Abstract
Keywords:
1. introduction

2. Physical Model
2.1. Pump Design Parameters
2.2. Requirements for the Design Geometric Parameters of the Pump
3. CFD calculation Model Requirements
3.1. Establishment of the initial Model
3.2. Parametric Modeling
3.2.1. Profile Control of Rim Hub End Wall Surface

3.2.2. Definition of Flow Surface
3.2.3. Definition of Parameterization of Blade Stacking Line
3.2.4. Definition of the Main Blade Profile
3.2.5. Parametric Fitting
4. Optimization of the Design Process
4.1. Optimization Parameters
4.2. Optimization Goals and Objective Functions
4.3. Samples
4.4. Artificial Neural Network
4.5. Genetic Algorithm
5. Verification of Optimization Results
5.1. Comparison of Blade Geometry and Performance between Original Model and Optimized Model
5.1.1. Numerical Simulation Method
5.1.2. Performance Comparison by CFD
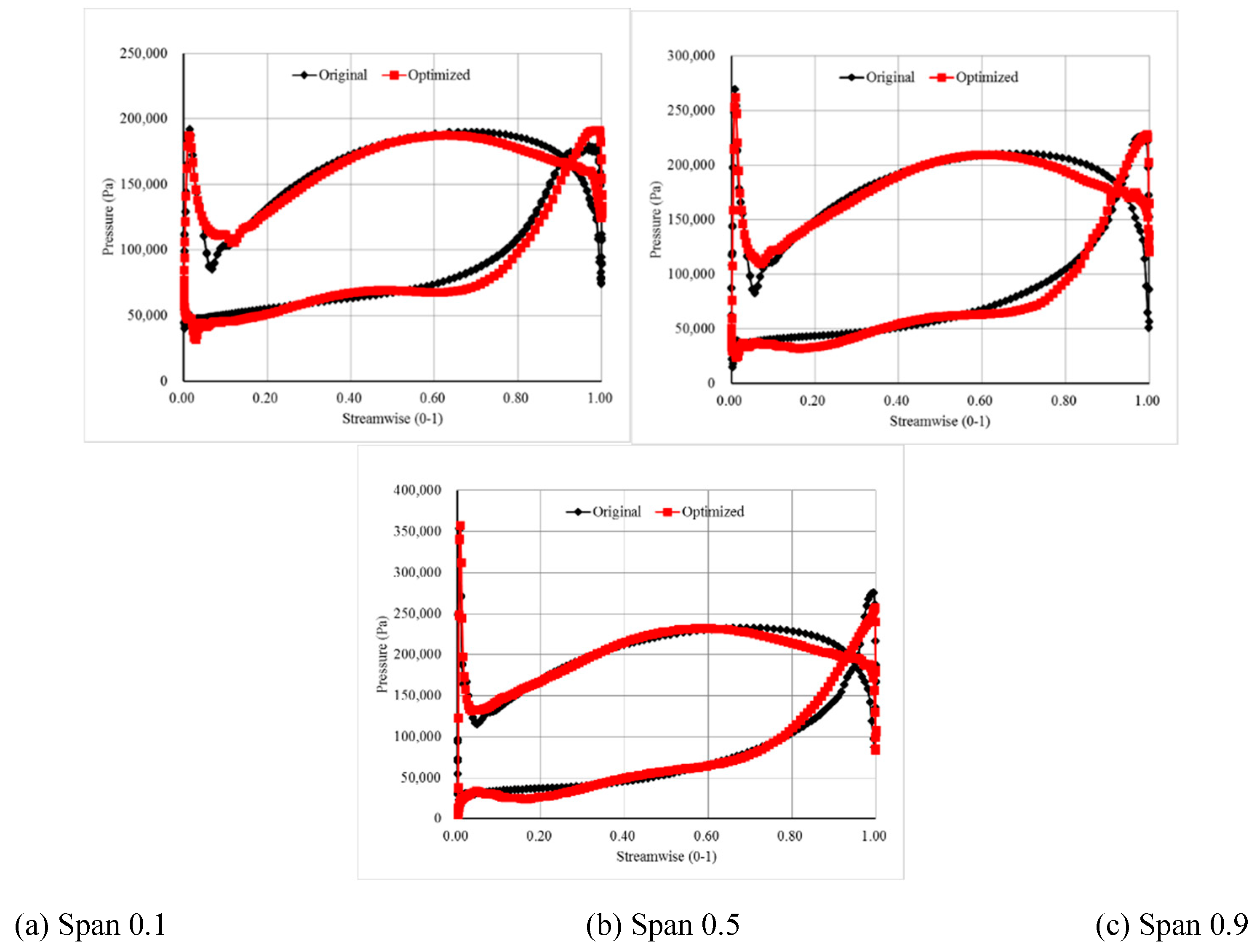
5.2. Comparison of Original Model and Optimized Model Flow Field
5.3. Numerical Calculation and Test Verification of Optimized Model Performance
5.4. Cavitation Performance Verification
5.5. Numerical Calculation of Cavitation Flow in the Evolution of Cavitation
6. Conclusions
Acknowledgements
References
- Matsumoto, K.; Tanaka, H.; Ozawa, H. Optimisation of Design Parameters of Water-Jet Propulsion System. Proceedings of the FAST93. 1993.
- Pan, Z.; Yuan, S. Fundamentals of Cavitation in Pumps Zhenjiang: Jiangsu University Press; 2013.
- Zangeneh-Kazemi, M.; Dawes, W.N.; Hawthorne, W.R. Three Dimensional Flow in Radial-inflow Turbines. ASME 1988 international Gas Turbine and Aeroengine Congress1988. P. V001T01A46.
- Zangeneh, M. A Compressible Three-Dimensional Design Method For Radial and Mixed Flow Tuurbomachinery Blades. international Journal For Numerical Methods in Fluids. 1991, 13, 599–624. [Google Scholar] [CrossRef]
- Goto, A.; Zangeneh, M. Hydrodynamic Design of Pump Diffuser Using inverse Design Method and CFD. Journal of Fluids Engineering. 2002, 124, 319–28. [Google Scholar] [CrossRef]
- Zangeneh, M.; Goto, A.; Harada, H. On the Design Criteria For Suppression of Secondary Flows in Centrifugal and Mixed Flow Impellers. Journal of Turbomachinery. 1998, 120, 723–35. [Google Scholar] [CrossRef]
- Zangeneh, M.; Goto, A.; Takemura, T. Suppression of Secondary Flows in A Mixed-Flow Pump Impeller by Application of 3D inverse Design Method: Part 1—Design and Numerical Validation. ASME 1994 international Gas Turbine and Aeroengine Congress and Exposition: American Society of Mechanical Engineers; 1994. P. V001T01A14-VT01A14.
- Bonaiuti, D.; Zangeneh, M.; Aartojarvi, R.; Eriksson, J. Parametric Design of A Waterjet Pump by Means of inverse Design, CFD Calculations and Experimental Analyses. Journal of Fluids Engineering. 2010, 132, 031104. [Google Scholar] [CrossRef]
- Daneshkah, K.; Zangeneh, M. Parametric Design of A Francis Turbine Runner by Means of A Three-Dimensional inverse Design Method. IOP Conference Series: Earth and Environmental Science. 2010, 12, 012058. [Google Scholar] [CrossRef]
- Oyama, A.; Liou, M.S.; Obayashi, S. Transonic Axial-Flow Blade Optimization: Evolutionary Algorithms/Three-Dimensional Navier-Stokes Solver. Journal of Propulsion & Power. 2004, 20, 612–9. [Google Scholar]
- Sonoda, T.; Arima, T.; Olhofer, M.; Sendhoff, B.; Kost, F.; Gieß, P.A. A Study of Advanced High-Loaded Transonic Turbine Airfoils. 2006. P. 1275–83.
- Sonoda, T.; Yamaguchi, Y.; Olhofer, M.; Sendhoff, B.; Schreiber, H.A. Advanced High Turning Compressor Airfoils For Low Reynolds Number Condition—Part I: Design and Optimization. international Gas Turbine and Aero Engine Congress, Atlanta, Ga, June2004. P. 350-9.
- Dennis, B.; Egorov, I.; Han, Z.X.; Dulikravich, G.; Poloni, C. Multi-Objective Optimization of Turbomachinery Cascades For Minimum Loss, Maximum Loading, and Maximum Gap-To-Chord Ratio. international Journal of Turbo & Jet Engines. 2013, 18, 201–10. [Google Scholar]
- Kontoleontos, E.A.; Giannakoglou, K.C.; Koubogiannis, D.G. Robust Design of Compressor Cascade Airfoils, Using Evolutionary Algorithms and Surrogate Models. 2005.
- Chen, B.; Yuan, X. Advanced Aerodynamic Optimization System For Turbomachinery. Journal of Turbomachinery. 2008, 130, 111–20. [Google Scholar] [CrossRef]
- Öksüz Ö, Akmandor İS. Multi Objective Aerodynamic Optimization of Axial Turbine Blades Using A Novel Multi-Level Genetic Algorithm. Journal of Turbomachinery. 2008, 132, 2375–88.
- Zangeneh, M.; Daneshkhah, K.; Dacosta, B. A Multi-Objective Automatic Optimization Strategy For Design of Waterjet Pumps. 2008.
- Bonaiuti, D.; Zangeneh, M. On the Coupling of inverse Design and Optimization Techniques For the Multiobjective, Multipoint Design of Turbomachinery Blades. Journal of Turbomachinery. 2009, 131, 021014–29. [Google Scholar] [CrossRef]
- Papila, N.; Dorney, D.J.; Griffin, L.; Wei, S.; Papila, N.; Dorney, D.J.; et al. Shape Optimization of Supersonic Turbines Using Global Approximation Methods. Journal of Propulsion & Power. 2002, 18, 509–18. [Google Scholar]
- Boselli, P.; Zangeneh, M. An inverse Design Based Methodology For Rapid 3D Multi-Objective/Multidisciplinary Optimization of Axial Turbines. ASME 2011 Turbo Expo: Turbine Technical Conference and Exposition2011. P. 1459-68.
- Huang, R.; Luo, X.; Ji, B.; Wang, P.; Yu, A.; Zhai, Z.; et al. Multi-Objective Optimization of A Mixed-Flow Pump Impeller Using Modified NSGA-II Algorithm. Science China Technological Sciences. 2015, 58, 2122–30. [Google Scholar] [CrossRef]
- Bonaiuti, D.; Arnone, A.; Corradini, U.; Bernacca, M. Aerodynamic Redesign of A Mixed-Flow Pump Stage. 2003.
- Yang, Q.; Wang, Y. Principle and Application of Low Noise Pump Jet Design: HUST Press; 2016.
- Cao, L.L.; Che, B.X.; Hu, L.J.; Wu, D.Z. Design Method of Water-Jet Pump Towards High Cavitation Performances. 2016, 129, 012067. [Google Scholar] [CrossRef]
- Shen, Y.; Jia, M.; Zhu, L. Noise Analysis of A Centrifugal Leaf Vacuum Based On Latin Hypercube Sampling. Journal of Vibration and Shock. 2016, 35, 93–7. [Google Scholar]
- Wang, W.; Pei, J.; Yuan, S. Optimization of Impeller Meridional Shape Based On Radial Basis Neural Network. Transactions of the Chinese Society of Agricultural Machinery. 2015, 46, 78–83. [Google Scholar]
- Fonseca, C.M.; Fleming, P.J. Genetic Algorithms For Multiobjective Optimization: Formulationdiscussion and Generalization. international Conference On Genetic Algorithms1993. P. 416-23.
- Horn, J.; Nafpliotis, N.; Goldberg, D.E. A Niched Pareto Genetic Algorithm For Multiobjective Optimization. Evolutionary Computation, 1994 IEEE World Congress On Computational intelligence, Proceedings of the First IEEE Conference On2002. P. 82-7 Vol.1.
- Schaffer, J.D. Multiple Objective Optimization With Vector Evaluated Genetic Algorithms. international Conference On Genetic Algorithms1985. P. 93-100.
- Srinivas, N.; Deb, K. Muiltiobjective Optimization Using Nondominated Sorting in Genetic Algorithms: MIT Press; 1994.
- Deb, K.; Pratap, A.; Agarwal, S.; Meyarivan, T. A Fast and Elitist Multiobjective Genetic Algorithm: NSGA-II. IEEE Transactions On Evolutionary Computation. 2002, 6, 182–97. [Google Scholar] [CrossRef]
- Long, Y.; An, C.; Zhu, R.; Chen, J. Research On Hydrodynamics of High Velocity Regions in A Water-Jet Pump Based On Experimental and Numerical Calculations At Different Cavitation Conditions, Physics of Fluids 2021, 33, 045124.
- Long; Yun; Zhang, Y.; Chen, J.; Zhu, R.; Wang, D. A Cavitation Performance Prediction Method For Pumps PART2-Sensitivity and Accuracy. Nuclear Engineering and Technology (2021).
- Yun, L.; Rongsheng, Z.; Dezhong, W. A Cavitation Performance Prediction Method For Pumps PART1-Proposal and Feasibility. Nuclear Engineering and Technology, 2020.






















| Parameter | Variables |
|---|---|
| Flow rate | Q = 0.46 m3/s |
| Head | H ≥ 13 m |
| Rotating speed | n = 1450 rpm |
| Parameters | Variables | Lower bound | Original value | Upper bound |
|---|---|---|---|---|
| Γ | S1_CAMBER_GAMMA | 54.3856 | 56.3856 | 58.3856 |
| S2_CAMBER_GAMMA | 57.8627 | 59.8627 | 62.8627 | |
| S3_CAMBER_GAMMA | 60.4048 | 62.4048 | 65.4048 | |
| S4_CAMBER_GAMMA | 62.4439 | 64.4439 | 66.4439 | |
| S5_CAMBER_GAMMA | 64.0463 | 66.0463 | 68.0463 | |
| β1 | S1_CAMBER_BETA1 | 55.0341 | 58.0341 | 61.0341 |
| S2_CAMBER_BETA1 | 58.8031 | 61.8031 | 64.8031 | |
| S3_CAMBER_BETA1 | 62.1567 | 65.1567 | 68.1567 | |
| S4_CAMBER_BETA1 | 61.4439 | 64.4439 | 67.4439 | |
| S5_CAMBER_BETA1 | 65.7197 | 68.7197 | 71.7197 | |
| β2 | S1_CAMBER_BETA2 | 45.5651 | 48.5651 | 51.5651 |
| S2_CAMBER_BETA2 | 50.6644 | 53.6644 | 56.66436 | |
| S3_CAMBER_BETA2 | 53.3824 | 56.3824 | 59.3824 | |
| S4_CAMBER_BETA2 | 57.3875 | 60.3875 | 63.3875 | |
| S5_CAMBER_BETA2 | 55.6307 | 58.6307 | 61.6307 | |
| β | LEAN_BETA | 1.5408 | 2.5408 | 4.5408 |
| Parameter | Pump Head H | Pump Efficiency η | Impeller Head Hi | Impeller Efficiency ηi | Pump Power P |
|---|---|---|---|---|---|
| unit | M | % | m | % | kW |
| Original model | 13.12 | 88.04 | 14.27 | 95.98 | 66.88 |
| Optimized model | 13.51 | 89.28 | 14.54 | 96.33 | 67.91 |
Disclaimer/Publisher’s Note: the statements, opinions and data contained in all publications are solely those of the individual author(s) and contributor(s) and not of MDPI and/or the editor(s). MDPI and/or the editor(s) disclaim responsibility for any injury to people or property resulting from any ideas, methods, instructions or products referred to in the content. |
© 2023 by the authors. Licensee MDPI, Basel, Switzerland. This article is an open access article distributed under the terms and conditions of the Creative Commons Attribution (CC BY) license (https://creativecommons.org/licenses/by/4.0/).