Submitted:
25 July 2023
Posted:
28 July 2023
You are already at the latest version
Abstract
Keywords:
1. Introduction
2. Materials and Methods
2.1. Experimental
2.2. Computational Method
2.2.1. Geometrical model
2.2.2. DFT calculations
3. Results
3.1. TEM observations
3.2. HRTEM data deconvolution
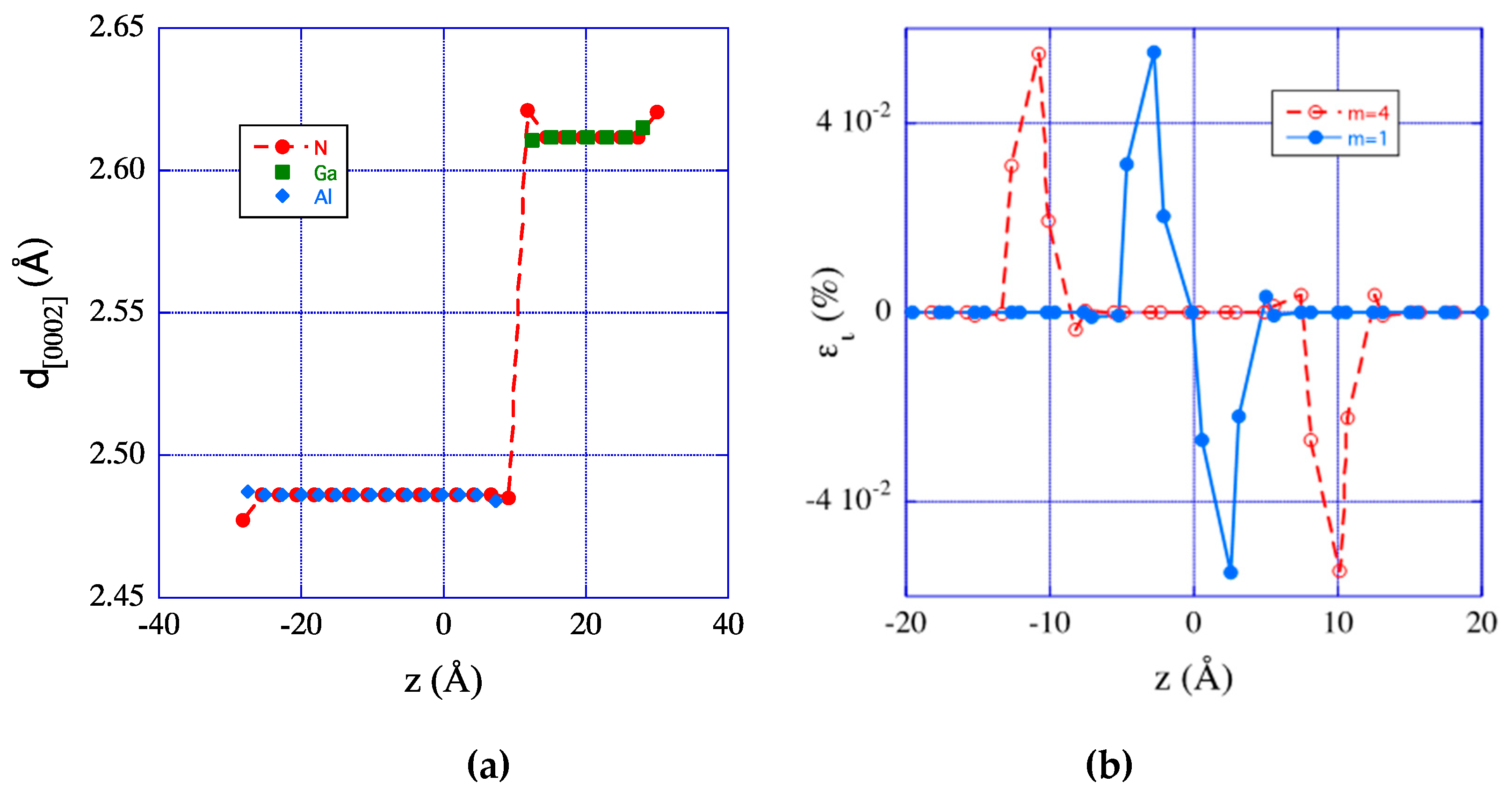
3.3. Spatial extension and deformation states of interfaces
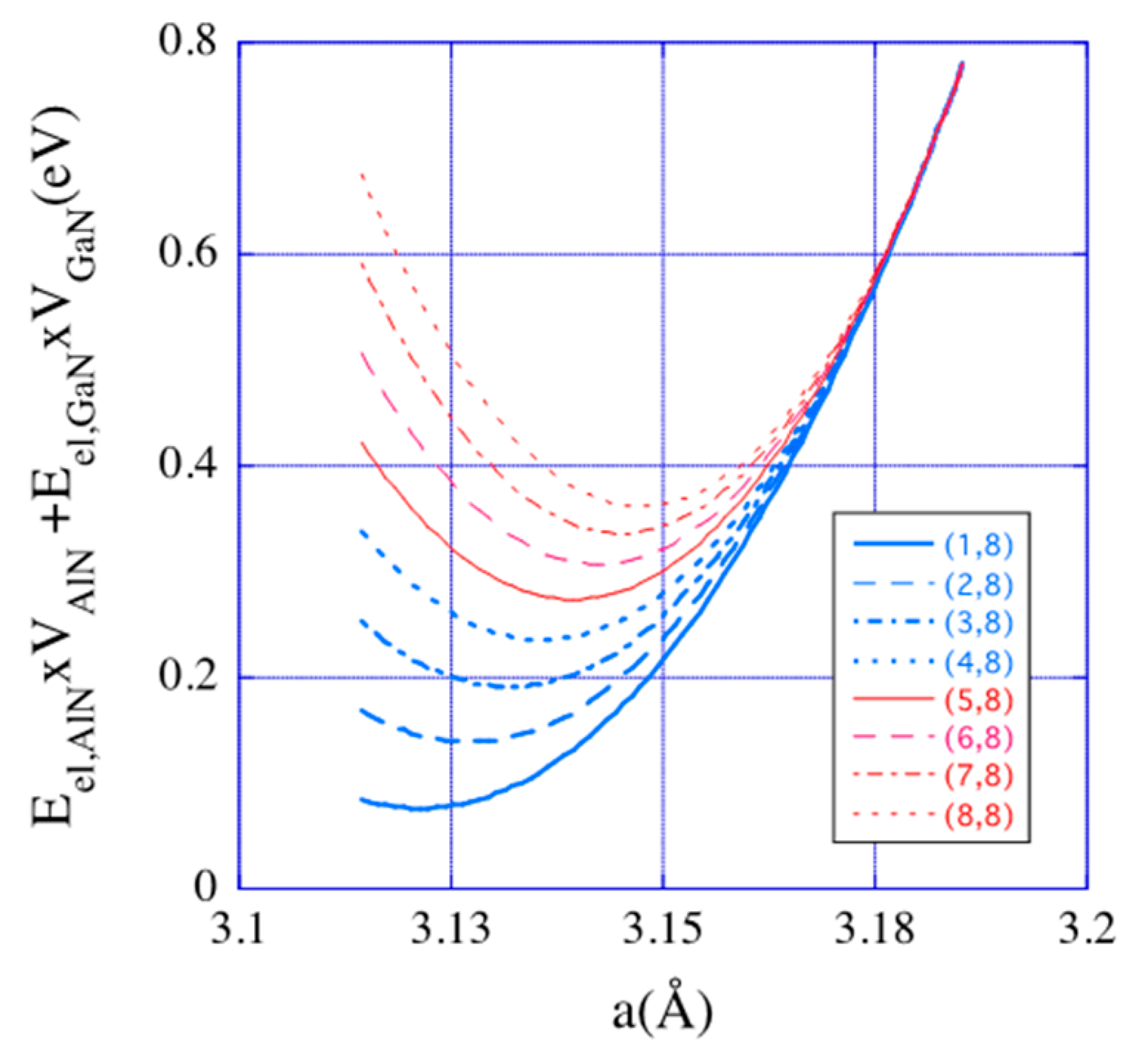
3.4. Deformation states of relaxed superlattices and zero-stress
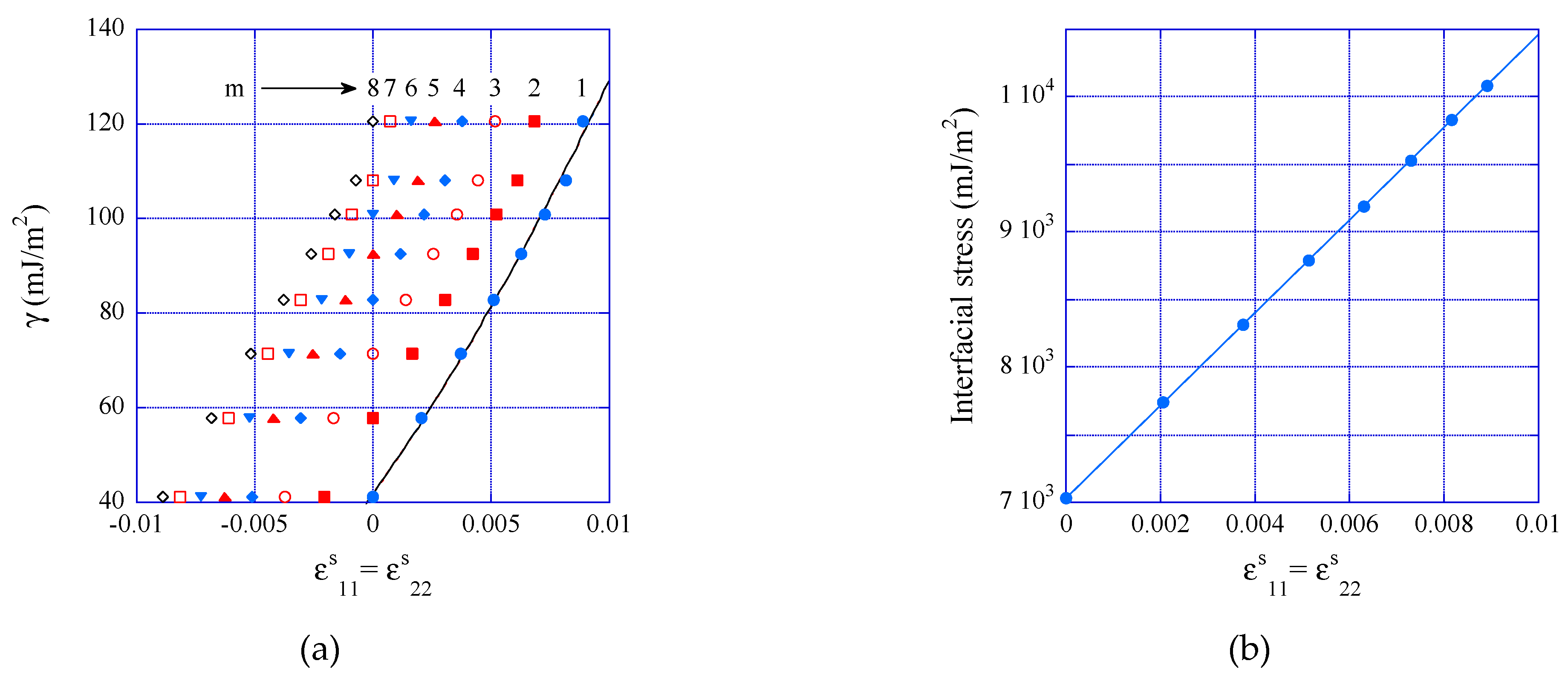
3.5. Interfacial excess energy
3.6. Energy gap
4. Discussion and conclusions
- (i)
- The spatial extension of the interfaces is very short-ranged and remains practically unchanged when the thickness of the GaN QW changes.
- (ii)
- Energy-minimized configurations of the studied systems adopt different deformation states. It has been shown that the elastic prediction of the lattice constants of elastically strained bulk compounds reasonably agrees with the predictions of total energy minimizations.
- (iii)
- A no-trivial result is that the interfacial excess energy is a function of the thicknesses of the superlattice constituents, which relates to the evolving deformation states of the interfaces with changing the respective thicknesses. Works in the literature have not accounted for such effects.
- (iii)
- Similar to structural properties and the interfacial excess energy, the superlattice electronic properties are tightly deformation state dependent. Indeed, it has been established that the valence and conduction bands offsets in strained superlattices and the energy gaps as well are in a linear relationship with the tangential deformation component of the bulk constituents [54]. We have verified that the energy gap obeys this theoretical prediction.
Author Contributions
Funding
Data Availability Statement
Acknowledgments
Conflicts of Interest
Appendix A
| Compound | a(Å) | c(Å) | c/a | E(eV) |
|---|---|---|---|---|
| AlN | 3.114 (3.113) | 4.9869 (4.9816) | 1.601 (1.601) | 1831.51 |
| GaN | 3.185 (3.189) | 5.1913 (5.185) | 1.630 (1.626) | 8302.31 |
| Compound | C11 | C12 | C13 | C33 | C44 | C66 |
|---|---|---|---|---|---|---|
| AlN | 382.1 (411±1) |
137.3 (149±10) |
107.0 (99±4) |
358.5 (389±10) |
111.9 (125±5) |
122.4 (131±10) |
| GaN | 355.3 (390) |
126.0 (145) |
88.6 (106) |
394.2 (398) |
93.3 (105) |
114.6 (123) |
| m | abc (Å) | Lbc (Å) | Ebc (eV) |
|---|---|---|---|
| 1 | 3.122 | 45.087 | 22954.292 |
| 2 | 3.129 | 50.278 | 31256.541 |
| 3 | 3.134 | 55.469 | 39558.801 |
| 4 | 3.138 | 60.661 | 47861.066 |
| 5 | 3.142 | 65.852 | 56163.338 |
| 6 | 3.145 | 71.043 | 64465.616 |
| 7 | 3.148 | 76.235 | 72767.895 |
| 8 | 3.150 | 81.426 | 81070.175 |
Appendix B

References
- Kehagias, T.; Komninou, P.; and Dimitrakopulos, G. Intergranular and Intephase Boundaries in Materilas. Springer Science & Business Media, New York, USA, 2014; Volume 49; 11.
- Hardouin Duparc, O.B.M., Lartigue-Korinek, S. Interface science in JMS. J Mater Sci 2020, 55, pp. 16861–16863. [CrossRef]
- Ayers, J.E. Heteroepitaxy of semiconductors: theory, growth, and characterization. 1st ed.; Taylor & Francis Group, Boca Raton 2007; pp. 1-480. [CrossRef]
- Rüdiger, Q. Gallium Nitride Electronics (Springer Series in Materials Science), 2008th ed.; Springer 2008, 96.
- Kasap, S.; Capper, P. Handbook of Electronic and Photonic Materials. Springer International Publishing AG 2017.
- Alkauskas, A.; Deák, P.; Neugebauer, J.; Pasquarello, A.; Van de Walle, C.G. Advanced Calculations for Defects in Materials Electronic Structure Methods. Wiley-VCH Verlag & Co. KGaA 2011.
- Matsuoka, T.; Kangawa, Y. Epitaxial Growth of III-Nitride Compounds, Computational Approach. Springer Series in Materials Science 2018, 269.
- Morkoç, H. Handbook of Nitride Semiconductors and Devices: Materials Properties, Physics and Growth. WILEY-VCH Verlag GmbH & Co. 2008.
- Gil, B. III-Nitride Semiconductors and their Modern Devices, Oxford University Press 2013.
- Dimitrakopulos, G.P.; Vasileiadis, I.G.; Bazioti, C.; Smalc-Koziorowska, J.; Kret, S.; Dimakis, E.; Florini, N.; Kehagias, Th.; Suski, T.; Karakostas, Th.; Moustakas, T.D.; Komninou, Ph.; Compositional and strain analysis of In Ga N/GaN short period superlattices. J. Appl. Phys. 2018, 123, pp. 024304-12. [CrossRef]
- Bykhovski, A.D.; Gelmont, B. L.; Shur, M. S. Elastic strain relaxation and piezoeffect in GaN-AlN, GaN-AlGaN and GaN-InGaN superlattices. J. Appl. Phys. 1997, 81, 6332–6338. [Google Scholar] [CrossRef]
- Kladko, V., Kuchuk, A., Lytvyn, P. et al. Substrate effects on the strain relaxation in GaN/AlN short-period superlattices. Nanoscale Res Lett. 2012, 7, 289. [CrossRef]
- Sohi, P.; Martin, D.; and Grandjean, N. Critical thickness of GaN on AlN: impact of growth temperature and dislocation density. Semicond. Sci. Technol. 2017, 32, 075010. [Google Scholar] [CrossRef]
- Davydov, V. Y.; Roginskii, E. M.; Kitaev, Y. E.; Smirnov, A. N.; Eliseyev, I. A.; Yagovkina, M. A.; Nechaev, D. V.; Jmerik, V. N.; and Smirnov, M. B. Structural and dynamic properties of short-period GaN/AlN superlattices grown by submonolayer digital epitaxy. Journal of Physics: Conference Series 2020, 1697, 012155. [Google Scholar] [CrossRef]
- Kioseoglou, J.; Komninou, Ph.; Chen, J.; Nouet, G.; Kalesaki, E.; and Karakostas, Th. Structural and electronic properties of elastically strained InN/GaN quantum well multilayer heterostructures. Phys. Status Solidi C. 2014, 11, 289. [Google Scholar] [CrossRef]
- Stanchu, H.V.; Kuchuk, A.V.; Lytvyn, P.M.; Mazur, Y.I.; Maidaniuk, Y.; Benamara, M.; Shibin, L.; Kryvyi, S.; Kladko, V.P.; Belyaev, A.E.; Wang, Z.M.; Salamo, G.J. Strain relaxation in GaN/AlN superlattices on GaN 0001 substrate: Combined superlattice-to-substrate lattice misfit and thickness dependent effects. Materials and Design 2018, 157, 141. [Google Scholar] [CrossRef]
- Coppeta, R. A.; Ceric, H.; Holec, D.; and Gracer, T. Critical thickness for GaN thin film on AlN substrate, IEEE International Integrated Reliability Workshop Final Report 2013, pp. 133-136. [CrossRef]
- Kioseoglou, J.; Kalessaki, E.; Dimitrakopulos, G. P.; Komninou, Ph.; Karakostas, Th. Study of InN/GaN interfaces using molecular dynamics. J Mater Sci 2008, 43, 3982. [Google Scholar] [CrossRef]
- Kaminska, A.; Strak, P.; Borysiuk, J.; Sobczak, K.; Domagala, J. Z.; Beeler, M.; Grzanka, E.; Sakowski, K.; Krukowski, S.; Monroy, E. Correlation of optical and structural properties of GaN/AlN multi-quantum wells—Ab initio and experimental study. J. Appl. Phys. 2016, 119, 015703. [Google Scholar] [CrossRef]
- Gorczyca, I.; Skrobas, K.; Suski, T.; Christensen, N.E.; Svane, A. Influence of strain and internal electric fields on band gaps in short period nitride based superlattices. Superlattices and Microstructures 2015, 82, 438. [Google Scholar] [CrossRef]
- Gorczyca, I.; Suski, T.; Christensen, N. E.; and Svane, A. Theoretical study of nitride short period superlattices. J. Phys. Condens. Matter 2018, 30, 063001. [Google Scholar] [CrossRef]
- Gorczyca, I.; Suski, T.; Strak, P.; Staszczak, G.; and Christensen, N. E. Band gap engineering of In(Ga)N/GaN short period superlattices. Scientific Reports 2017, 7, 16055. [Google Scholar] [CrossRef]
- Kandaswamy, P.K.; Guillot, F.E.; Bellet-Amalric, E.; Monroy, E.; Nevou, L.; Tchernycheva, M.; Michon, A.; Julien, F.H.; Baumann, E.; Giorgetta, F. R.; Hofstetter, D.; Remmele, T.; Albrecht, M.; Birner, S.; Dang, L. S. GaN/AlN short-period superlattices for intersubband optoelectronics: A systematic study of their epitaxial growth, design, and performance. J. Appl. Phys 2008, 104, 093501. [Google Scholar] [CrossRef]
- Kuchuk, A.V.; Kryvyi, S.; Lytvyn, P.M.; Li, S.; Kladko, V.P.; Ware, M.E.; Mazur, Y.I.; Safryuk, N.V.; Stanchu, H. V.; Belyaev, A.E.; and Salamo, G.J. The Peculiarities of Strain Relaxation in GaN/AlN Superlattices Grown on Vicinal GaN (0001) Substrate: Comparative XRD and AFM Study. Nanoscale Res Lett. 2016, 11, 252. [Google Scholar] [CrossRef] [PubMed]
- Stanchu, H.V.; Kuchuk, A.V.; Lytvyn, P.M.; Mazur, Y.I.; Maidaniuk, Y.; Benamara, M.; Shibin, L.; Kryvyi, S.; Kladko, V.P.; Belyaev, A.E.; Wang, Zh.M.; Salamo, G.J. Strain relaxation in GaN/AlN superlattices on GaN(0001) substrate:Combined superlattice-to-substrate lattice misfit and thickness dependent effects. Materials & Design 2018, 157, 141–150. [Google Scholar] [CrossRef]
- Aleksandrov, I.A.; Malin, T.V.; Zhuravlev, K.S.; Trubina, S.V.; Erenburg, S.B.; Pecz, B.; Lebiadok, Y.V. Diffusion in GaN/AlN superlattices: DFT and EXAFS study Diffusion in GaN/AlN superlattices: DFT and EXAFS study. App. Surf. Science 2020, 515, 15, 146001. [Google Scholar] [CrossRef]
- Dimitrakopulos, G. P.; Komninou, Ph.; Kehagias, Th.; Sahonta, S.-L.; Kioseoglou, J.; Vouroutzis, N.; Hausler, I.; Neumann, W.; Iliopoulos, E.; Georgakilas, A.; Karakostas, T. Strain relaxation in AlN/GaN heterostructures grown by molecular beam epitaxy. Phys. stat. sol. a. 2008, 205, 2569. [Google Scholar] [CrossRef]
- Dimitrakopulos, G. P.; Kalesaki, E.; Komninou, Ph.; Kehagias, Th.; Kioseoglou, J.; and Karakostas, Th. Strain ac-commodation and interfacial structure of AlN interlayers in GaN. Cryst. Res. Technol. 2009, 44, 1170–1180. [Google Scholar] [CrossRef]
- Dimitrakopulos, G. P.; Sanchez, A. M.; Komninou, Ph.; Ruterana, P.; Nouet, G.; Kehagias, Th.; and Karakostas, Th. Disconnections and inversion domain formation in GaN/AlN heteroepitaxy on (111) silicon. Phys. stat. sol. c 2005, 1, 4. [Google Scholar] [CrossRef]
- Kioseoglou, J.; Kalesaki, E.; Lymperakis, L.; Dimitrakopulos, G. P.; Komninou, Ph.; and Karakostas, Th. Polar AlN/GaN interfaces: Structures and energetics. Phys. Stat. So.l a 2009, 206, 1892–1897. [Google Scholar] [CrossRef]
- Friel, I.; Driscoll, K.; Kulenica, E.; Dutta, M.; Paiella, R.; Moustakas, T.D. , Investigation of the design parameters of AlN/GaN multiple quantum wells grown by molecular beam epitaxy for intersubband absorption. J. of Cryst. Growth 2005, 278, 387–392. [Google Scholar] [CrossRef]
- https://www.gatan.com/products/tem-analysis.
- https://www.ovito.org.
- Giannozzi, P.; Baroni, S.; Bonini, N.; Calandra, M.; Car, R.; Cavazzoni, C.; Ceresoli, D.; Chiarotti, G.L.; Cococcioni, M.; Dabo, I.; Dal Corso, A.; de Gironcoli, S.; Fabris, S.; Fratesi, G.; Gebauer, R.; Gerstmann, U.; Gougoussis, C.; Kokalj, A.; Lazzeri, M.; Martin-Samos, L.; Marzari, N.; Mauri, F.; Mazzarello, R.; Paolini, S.; Pasquarello, A.; Paulatto, L.; Sbraccia, C.; Scandolo, S.; Sclauzero, G.; Seitsonen, A.P.; Smogunov, A.; Umari, P.; Wentzcovitch, R.M. QUANTUM ESPRESSO: a modular and open-source software project for quantum simulations of materials. J Phys Condens Matter. 2009, 21, 395502 (19pp). [Google Scholar] [CrossRef]
- Giannozzi, P.; Andreussi, O.; Brumme, T.; Bunau, O.; Buongiorno Nardelli, M.; Calandra, M.; Car, R.; Cavazzoni, C.; Ceresoli, D.; Cococcioni, M.; Colonna, N.; Carnimeo, I.; Dal Corso, A.; de Gironcoli, S.; Delugas, P.; DiStasio R.A., Jr.; Ferretti, A.; Floris, A.; Fratesi, G.; Fugallo, G.; Gebauer, R.; Gerstmann, U.; Giustino, F.; Gorni, T.; Jia, J.; Kawamura, M.; Ko, H.Y.; Kokalj, A.; Küçükbenli, E.; Lazzeri, M.; Marsili, M.; Marzari, N.; Mauri, F.; Nguyen, NL.; Nguyen, H.V.; Otero-de-la-Roza, A.; Paulatto, L.; Poncé, S.; Rocca, D.; Sabatini, R.; Santra, B.; Schlipf, M.; Seitsonen, A.P.; Smogunov, A.; Timrov, I.; Thonhauser, T.; Umari, P.; Vast, N.; Wu, X.; Baroni, S. Advanced capabilities for materials modelling with Quantum ESPRESSO. J Phys Condens Matter. 2017, 29, 465901(30pp). [Google Scholar] [CrossRef] [PubMed]
- Giannozzi, P.; Baseggio, O.; Bonfà, P.; Brunato, D.; Car, R.; Carnimeo, I.; Cavazzoni, C.; de Gironcoli, S.; Delugas, P.; Ferrari Ruffino, F.; Ferretti, A.; Marzari, N.; Timrov, I.; Urru, A.; Baroni, S. Quantum ESPRESSO toward the exascale. J Chem Phys. 2020, 152, 154105. [Google Scholar] [CrossRef] [PubMed]
- https://dalcorso.github.io/thermo_pw/.
- Wu, Z.; and Cohen, R. E. More accurate generalized gradient approximation for solids. Phys. Rev. B 2006, 73, 235116. [Google Scholar] [CrossRef]
- Dal Corso, A. Pseudopotentials periodic table: From H to Pu. Comput. Mater. Sci. 2014, 95, 337. [Google Scholar] [CrossRef]
- Fletcher, R. Practical methods of optimization, 2nd ed.; John Wiley & Sons, New York, USA,1987, ISBN 978-0-471-91547-8.
- Dudarev, S. L.; Botton, G. A.; Savrasov, S. Y.; Humphreys, C. J.; and Sutton, A. P. Electron-energy-loss spectra and the structural stability of nickel oxide: An LSDA+U study. Phys. Rev. B. 1998, 57, 1505. [Google Scholar] [CrossRef]
- Timrov, I.; Marzari, N.; and Cococcioni, M. Hubbard parameters from density-functional perturbation theory. Phys. Rev. B 2018, 98, 085127. [Google Scholar] [CrossRef]
- Timrov, I.; Marzari, N.; Cococcioni, M. HP – A code for the calculation of Hubbard parameters using densi-ty-functional perturbation theory. Computer Physics Communications 2022, 279, 108455. [Google Scholar] [CrossRef]
- Angerer, H.; Brunner, D.; Freudenberg, F.; Ambacher, O.; and Stutzmann, M. Determination of the Al mole fraction and the band gap bowing of epitaxial AlxGa1−xN films. Appl. Phys. Lett. 1997, 71, 1504–1506. [Google Scholar] [CrossRef]
- Papageorgiou, D. G.; Demetropoulos, I. N.; and Lagaris, I. E. Merlin-3.1.1. a new version of the merlin optimization environment. Comput. Phys. Commun. 2004, 159, 70–71. [Google Scholar] [CrossRef]
- Leszczynski, M.; Teisseyre, H.; Suski, T.; Grzegory, I.; Bockowski, M.; Jun, J.; and Porowski, S. Lattice parameters of gallium nitride. Appl. Phys. Lett. 1996, 69, 73–75. [Google Scholar] [CrossRef]
- Dingreville, R.; Hallil, A.; and Berbenni, S. From coherent to incoherent mismatched interfaces: A generalized continuum formulation of surface stresses. J. Mech. Phys. Solids 2014, 72, 40–60. [Google Scholar] [CrossRef]
- Dingreville, R. and Qu, J.Interfacial excess energy, excess stress and excess strain in elastic solids: Planar interfaces. J. Mech. Phys. Solids 2008, 56, 1944–1954. [Google Scholar] [CrossRef]
- Dingreville, R. and Qu, J. A semi-analytical method to estimate interface elastic properties. Comp.Mater. Sci. 2009, 46, 83–91. [Google Scholar] [CrossRef]
- Ekins-Daukes, N. J.; Kawaguchi, K.; Zhang, J. Strain-Balanced Criteria for Multiple Quantum Well Structures and Its Signature in X-ray Rocking Curves. Cryst. Growth Design 2002, 2, 287. [Google Scholar] [CrossRef]
- Kaptay, G.; Bader E.; and Bolyan, L. Interfacial Forc/es and Energy Relevant to Production of Metal Matrix Composites, Mater. Sci. Forum 2000, 329-330, 151-156. [CrossRef]
- Holec D.; and Mayrhofer, P. H. Surface energies of AlN allotropes from first principles, Scripta Mater. 2012, 67, pp. 760–762.
- Dreyer, C. E.; Janotti, A.; and Van de Walle, C. G. Absolute surface energies of polar and nonpolar planes of GaN, Phys. Rev. B 2014, 89, 081305(R). [CrossRef]
- Northrup J., E.; and Neugebauer, J. Indium-induced changes in GaN(0001) surface morphology, Phys. Rev. B 1999, 60, R8473. [Google Scholar] [CrossRef]
- Razia; Chugh M.; and Ranganathan, M. Surface energy and surface stress of polar GaN(0001), Applied Surface Science 2021, 566, 150627. [CrossRef]
- Van de Walle, Ch. G.; McCluskey, M.D.; Master, C.P.; Romano, L.T.; Johnson, N.M. Large and composition-dependent band gap bowing in In x Ga 1− x N alloys. Mater. Sci. Eng. 1999, B59, 274. [Google Scholar] [CrossRef]
- Peressi, M.; Binggeli, N.; and Baldereschi, A. Band engineering at interfaces:theory and numerical experiments. J. Phys. D: Appl. Phys. 1998, 31, 1273–1299. [Google Scholar] [CrossRef]
- Polian, A.; Grimsditch, M.; and Grzegory, I. Elastic constants of gallium nitride. J. Appl. Phys. 1996, 79, 3343. [Google Scholar] [CrossRef]
- McNeil, L. E.; Grimsditch, M.; and Fresh, R. H. Vibrational Spectroscopy of Aluminum Nitride. J. Am. Ceram. Soc. 1993, 76, 1132–1136. [Google Scholar] [CrossRef]












| Compound | a (Å) | ε// | c (Å) | c/a | Eel (MPa) | |
|---|---|---|---|---|---|---|
| AlN | 3.136 | 0.008 | 4.957 | -0.004 | 1.58 | 33.5 |
| GaN | 3.136 | -0.017 | 5.23 | 0.009 | 1.67 | 132.9 |
Disclaimer/Publisher’s Note: The statements, opinions and data contained in all publications are solely those of the individual author(s) and contributor(s) and not of MDPI and/or the editor(s). MDPI and/or the editor(s) disclaim responsibility for any injury to people or property resulting from any ideas, methods, instructions or products referred to in the content. |
© 2023 by the authors. Licensee MDPI, Basel, Switzerland. This article is an open access article distributed under the terms and conditions of the Creative Commons Attribution (CC BY) license (http://creativecommons.org/licenses/by/4.0/).
