Submitted:
25 July 2023
Posted:
26 July 2023
You are already at the latest version
Abstract
Keywords:
1. Introduction
2. Materials and Methods
2.1. Experimental pig house
2.2. Computatinal fluid dynamics
2.3. Tracer gas decay method
2.4. Experimental procedure
2.4.1. Field monitoring of harmful gas concentrations
2.4.2. CFD analysis for ventilation efficiency and thermal environment
2.4.3. CFD analysis for ventilation efficiency and thermal environment
3. Results & Discussion
3.1. Field monitoring for harmful gas concentrations
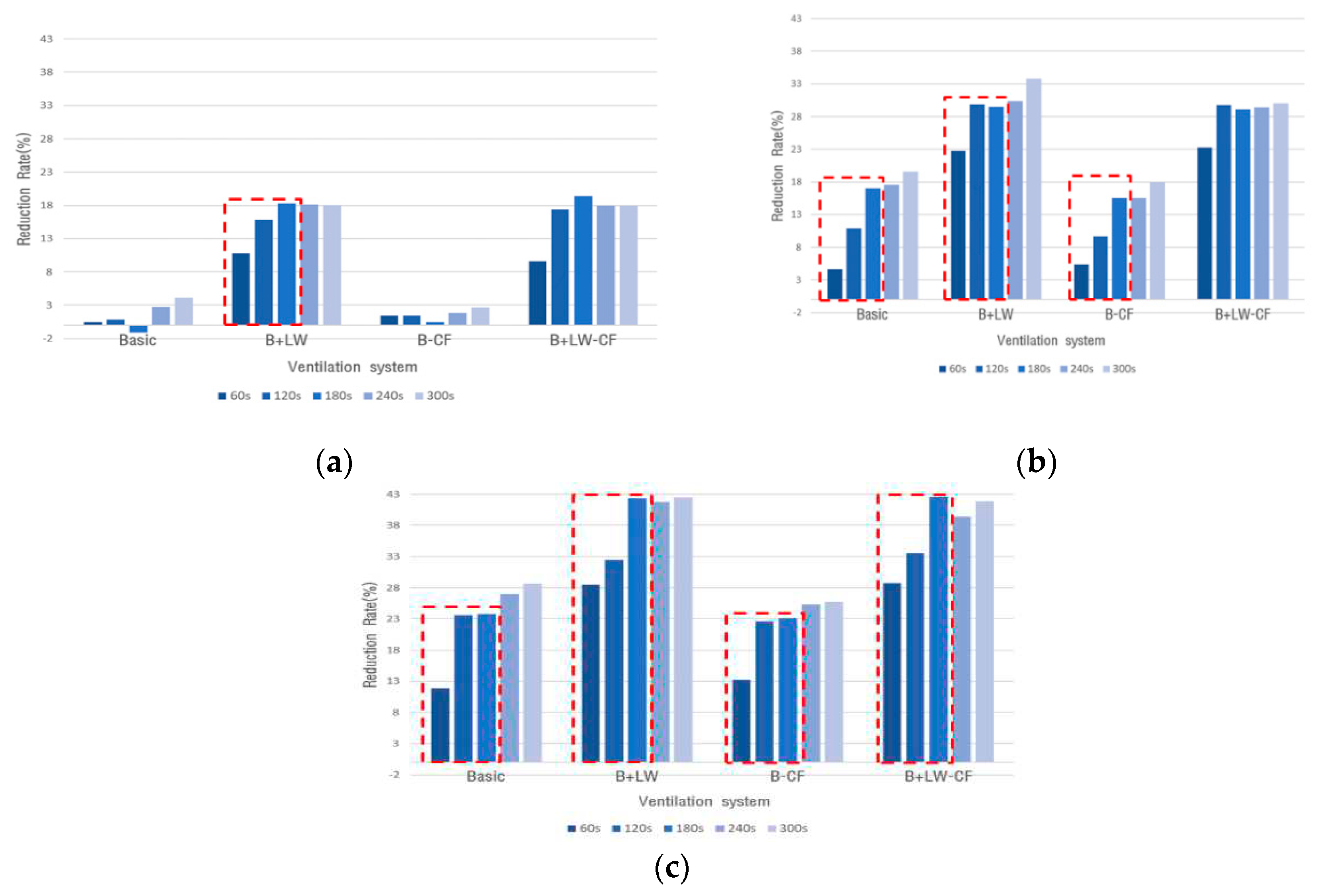
3.2. CFD analysis for ventilation efficiency and termal environment
3.3. Ventilation operating standard for improving working and breeding environment
4. Conclusions
Acknowledgments
References
- Thorne, P.S.; Ansley, A.C.; Perry, S.S. Concentrations of bioaerosols, odors, and hydrogen sulfide inside and downwind from two types of swine livestock operations. Journal of occupational and environmental hygiene 2009, 6, 211–220. [Google Scholar] [CrossRef]
- Gautam, R.; Heo, Y.; Lim, G.; Song, E.; Roque, K.; Lee, J.; Kim, Y.; Cho, A.; Shin, S.; Kim, C. Altered immune responses in broiler chicken husbandry workers and their association with endotoxin exposure. Industrial health 2017. [Google Scholar] [CrossRef]
- Park, K.-H.; Jeong, B.-Y. Characteristics and causes of musculoskeletal disorders for employees aged 50 years or older. Journal of the Ergonomics Society of Korea 2009, 28, 139–145. [Google Scholar] [CrossRef]
- Chapin, A.; Boulind, C.; Moore, A. Controlling odor and gaseous emission problems from industrial Swine facilities. Yale Environmental Protection Clinic Handbook 1998. [Google Scholar]
- Bruce, J. Ventilation and Temperature Control Criteria for Pigs in Environmental. 1981.
- Donham, K.J.; Scallon, L.J.; Popendorf, W.; Treuhaft, M.W.; Roberts, R.C. Characterization of dusts collected from swine confinement buildings. American Industrial Hygiene Association Journal 1986, 47, 404–410. [Google Scholar] [CrossRef]
- Kim, C.-B.; Won, J.-U.; Roh, J.-H.; Lee, K.-H.; Lee, H.-J.; Lee, H.-S.; Lee, H.-J. Study on manifestation of allergic symptoms by cultivation of Cyperus exaltatus & manufacture of hwamunsok. Journal of agricultural medicine and community health 1995, 20, 187–195. [Google Scholar]
- Dutkiewicz, J. Bacteria and fungi in organic dust as potential health hazard. Annals of Agricultural and Environmental Medicine 1997, 4, 11–16. [Google Scholar]
- KIM, G.S.; Kim, E.A.; Lee, S.H.; Pakr, H.S. A Study on Risk Factors of Grain Dust-Induced Occupational Asthma in Grain Feedmill Workers. 1997.
- Lim, H.-S.; Bae, G.-R.; Kim, D.-H.; Jun, K.-H. Respiratory symptoms occurring among mushroom farmers. Journal of agricultural medicine and community health 1998, 23, 259–268. [Google Scholar]
- Bottcher, R.W. An environmental nuisance: odor concentrated and transported by dust. Chemical senses 2001, 26, 327–331. [Google Scholar] [CrossRef]
- Eom, H.-J. Beware of swine respiratory diseases in winter. Feed Journal 2006, 4, 106–110. [Google Scholar]
- Oh, B.-W.; Lee, S.-W.; Kim, H.-C.; Seo, I.-H. Analysis of working environment and ventilation efficiency in pig house using computational fluid dynamics. Journal of The Korean Society of Agricultural Engineers 2019, 61, 85–95. [Google Scholar] [CrossRef]
- Lee, S.-W.; Kim, H.-C.; Seo, I.-H. Monitoring of Internal Harmful Factors According to Environmental Factors in Pig Farm. Journal of The Korean Society of Agricultural Engineers 2020, 62, 105–115. [Google Scholar] [CrossRef]
- Bjerg, B.; Svidt, K.; Zhang, G.; Morsing, S.; Johnsen, J.O. Modeling of air inlets in CFD prediction of airflow in ventilated animal houses. Computers and electronics in agriculture 2002, 34, 223–235. [Google Scholar] [CrossRef]
- Seo, I.-H.; Lee, I.-B.; Hong, S.-W.; Hwang, H.-S.; Bitog, J.P.; Yoo, J.-I.; Kwon, K.-S.; Ha, T.-H.; Kim, H.-T. Development of a CFD model to study ventilation efficiency of mechanically ventilated pig house. 2008. [Google Scholar] [CrossRef]
- Seo, I.-h.; Lee, I.-b.; Moon, O.-k.; Hong, S.-w.; Hwang, H.-s.; Bitog, J.P.; Kwon, K.-s.; Ye, Z.; Lee, J.-w. Modelling of internal environmental conditions in a full-scale commercial pig house containing animals. Biosystems engineering 2012, 111, 91–106. [Google Scholar] [CrossRef]
- Bjerg, B.; Cascone, G.; Lee, I.-B.; Bartzanas, T.; Norton, T.; Hong, S.-W.; Seo, I.-H.; Banhazi, T.; Liberati, P.; Marucci, A. Modelling of ammonia emissions from naturally ventilated livestock buildings. Part 3: CFD modelling. Biosystems engineering 2013, 116, 259–275. [Google Scholar] [CrossRef]
- Seo, I.-H.; Lee, I.-B.; Moon, O.-K.; Kwon, K.-S. Aerodynamic approaches for estimation of waste disease spread in pig farm through airborne contaminants. Journal of The Korean Society of Agricultural Engineers 2014, 56, 41–49. [Google Scholar] [CrossRef]
- Wang, K.; Wang, X.; Wu, B. Assessment of hygrothermal conditions in a farrowing room with a wet-pad cooling system based on CFD simulation and field measurements. Transactions of the ASABE 2014, 57, 1493–1500. [Google Scholar] [CrossRef]
- Kwon, K.-s.; Lee, I.-b.; Ha, T. Identification of key factors for dust generation in a nursery pig house and evaluation of dust reduction efficiency using a CFD technique. Biosystems engineering 2016, 151, 28–52. [Google Scholar] [CrossRef]
- Rong, L.; Nielsen, P.V.; Bjerg, B.; Zhang, G. Summary of best guidelines and validation of CFD modeling in livestock buildings to ensure prediction quality. Computers and Electronics in Agriculture 2016, 121, 180–190. [Google Scholar] [CrossRef]
- Berckmans, D. General introduction to precision livestock farming. Animal Frontiers 2017, 7, 6–11. [Google Scholar] [CrossRef]
- Hong, S.-W.; Exadaktylos, V.; Lee, I.-B.; Amon, T.; Youssef, A.; Norton, T.; Berckmans, D. Validation of an open source CFD code to simulate natural ventilation for agricultural buildings. Computers and Electronics in Agriculture 2017, 138, 80–91. [Google Scholar] [CrossRef]
- Kim, D.-W.; Kim, Y.-H.; Kim, K.-S.; Kim, K.-H. Effect of mixing of suckling piglets on change of body surface temperature in sows and piglets. Journal of the Korea Academia-Industrial cooperation Society 2017, 18, 135–140. [Google Scholar] [CrossRef]
- Kim, R.-w.; Lee, I.-b.; Ha, T.-h.; Yeo, U.-h.; Lee, S.-y.; Lee, M.-h.; Park, G.-y.; Kim, J.-g. Development of CFD model for predicting ventilation rate based on age of air theory using thermal distribution data in pig house. Journal of the Korean Society of Agricultural Engineers 2017, 59, 61–71. [Google Scholar] [CrossRef]
- Li, H.; Rong, L.; Zhang, G. Reliability of turbulence models and mesh types for CFD simulations of a mechanically ventilated pig house containing animals. Biosystems Engineering 2017, 161, 37–52. [Google Scholar] [CrossRef]
- Li, H.; Rong, L.; Zhang, G. Numerical study on the convective heat transfer of fattening pig in groups in a mechanical ventilated pig house. Computers and Electronics in Agriculture 2018, 149, 90–100. [Google Scholar] [CrossRef]
- Fluent, A. R2 User’s Guide. (: Available online.
- Seo, I.-H.; Lee, I.-B.; Moon, O.-K.; Kim, H.-T.; Hwang, H.-S.; Hong, S.-W.; Bitog, J.; Yoo, J.-I.; Kwon, K.-S.; Kim, Y.-H. Improvement of the ventilation system of a naturally ventilated broiler house in the cold season using computational simulations. Biosystems engineering 2009, 104, 106–117. [Google Scholar] [CrossRef]
- Kwon, K.-S.; Lee, I.-B.; Hwang, H.-S.; Bitog, J.P.; Hong, S.-W.; Seo, I.-H.; Choi, J.-S.; Song, S.-H.; Moon, O.-K. Analysis on the optimum location of an wet air cleaner in a livestock house using CFD technology. Journal of the Korean Society of Agricultural Engineers 2010, 52, 19–29. [Google Scholar] [CrossRef]
- Lee, S.-Y.; Lee, I.-B.; Kwon, K.-S.; Ha, T.-H.; Yeo, U.-H.; Park, S.-J.; Kim, R.-W.; Jo, Y.-S.; Lee, S.-N. Analysis of Natural Ventilation Rates of Venlo-type Greenhouse Built on Reclaimed Lands using CFD. Journal of The Korean Society of Agricultural Engineers 2015, 57, 21–33. [Google Scholar] [CrossRef]
- Lee, S.-y.; Lee, I.-b.; Kim, R.-w. Evaluation of wind-driven natural ventilation of single-span greenhouses built on reclaimed coastal land. Biosystems Engineering 2018, 171, 120–142. [Google Scholar] [CrossRef]
- Sun, H.; Keener, H.M.; Deng, W.; Michel Jr, F.C. Development and validation of 3-d CFD models to simulate airflow and ammonia distribution in a high-rise™ hog building during summer and winter conditions. Agricultural Engineering International: CIGR Journal 2004. [Google Scholar]
- Rong, L.; Aarnink, A. Development of ammonia mass transfer coefficient models for the atmosphere above two types of the slatted floors in a pig house using computational fluid dynamics. Biosystems engineering 2019, 183, 13–25. [Google Scholar] [CrossRef]










| Content | Value |
|---|---|
| Number of mesh | about 4.5 million |
| Mesh design | Tetra-headron |
| Boundary conditions | Velocity inlet & Pressure outlet |
| Input temperature | 291.8 (K) |
| Output temperature | 289.5 (K) |
| Inside initial temperature | 297.8 (K) |
| Pig heat flux | 210.9 (W·m-1 ) |
| Ventilation rate (air exchanges) | 0.55 (m-1) |
| Velocity at the inlet vent | 3.71 (m·s-1 ) |
| NH3 concentration at work height (1.5m) | 38.7 (ppm) |
| Group | SquareFan | CircleFan | RightBig Duct | LightBig Duct | SmallDuct | UpperWindow | LowerWindow |
| A | O | O | |||||
| B | O | O | |||||
| C | O | ||||||
| D | O | O | |||||
| E | O | ||||||
| F | O | I | |||||
| G | O | O | O | ||||
| H | O | I | I | ||||
| 1 | I | I | I | I | I | ||
| 2 | I | I | I | ||||
| 3 | I | I | |||||
| 4 | I | ||||||
| 5 | I |
| Case | Outlet | Inlet | Human height (1.5m) | Pig height (0.5m) | ||||||
|---|---|---|---|---|---|---|---|---|---|---|
| Min | Avg | Max | Passage | Min | Avg | Max | Passage | |||
| Standard | -SF-RBD | +LBD+SD+UW | 0.24 | 0.28 | 0.32 | 0.28 | 0.24 | 0.28 | 0.35 | 0.033 |
| A-1 | -SF-CF-RBD | +LBD+SD+UW+DW | 0.25 | 0.35 | 0.45 | 0.35 | 0.25 | 0.35 | 0.47 | 0.080 |
| A-2 | -SF-CF-RBD | +SD+UW+DW | 0.25 | 0.35 | 0.41 | 0.43 | 0.23 | 0.41 | 0.47 | 0.074 |
| A-3 | -SF-CF-RBD | +UW+DW | 0.24 | 0.35 | 0.39 | 0.44 | 0.23 | 0.40 | 0.47 | 0.070 |
| A-4 | -SF-CF-RBD | +UW | 0.26 | 0.31 | 0.34 | 0.28 | 0.26 | 0.28 | 0.34 | 0.028 |
| A-5 | -SF-CF-RBD | +DW | 0.25 | 0.25 | 0.31 | 0.28 | 0.24 | 0.24 | 0.37 | 0.042 |
| B-1 | -SF-RBD | +LBD+SD+UW+DW | 0.27 | 0.37 | 0.44 | 0.44 | 0.26 | 0.43 | 0.47 | 0.075 |
| B-2 | -SF-RBD | +SD+UW+DW | 0.25 | 0.28 | 0.31 | 0.26 | 0.23 | 0.28 | 0.31 | 0.028 |
| B-3 | -SF-RBD | +UW+DW | 0.25 | 0.34 | 0.36 | 0.39 | 0.25 | 0.39 | 0.43 | 0.053 |
| B-4 | -SF-RBD | +UW | 0.23 | 0.29 | 0.32 | 0.25 | 0.23 | 0.31 | 0.32 | 0.027 |
| B-5 | -SF-RBD | +DW | 0.23 | 0.28 | 0.31 | 0.27 | 0.22 | 0.29 | 0.38 | 0.041 |
| C-1 | -SF | +LBD+SD+UW+DW | 0.28 | 0.36 | 0.43 | 0.43 | 0.26 | 0.41 | 0.46 | 0.067 |
| C-2 | -SF | +SD+UW+DW | 0.26 | 0.35 | 0.42 | 0.42 | 0.26 | 0.40 | 0.47 | 0.068 |
| C-3 | -SF | +UW+DW | 0.27 | 0.36 | 0.43 | 0.43 | 0.26 | 0.42 | 0.47 | 0.066 |
| C-4 | -SF | +UW | 0.24 | 0.31 | 0.33 | 0.26 | 0.25 | 0.31 | 0.32 | 0.026 |
| C-5 | -SF | +DW | 0.26 | 0.25 | 0.31 | 0.29 | 0.25 | 0.22 | 0.37 | 0.041 |
| D-1 | -CF-RBD | +LBD+SD+UW+DW | 0.30 | 0.42 | 0.52 | 0.52 | 0.29 | 0.50 | 0.57 | 0.086 |
| D-standard | -CF-RBD | +LBD+SD+UW | 0.25 | 0.28 | 0.33 | 0.29 | 0.24 | 0.28 | 0.37 | 0.035 |
| D-2 | -CF-RBD | +SD+UW+DW | 0.25 | 0.37 | 0.42 | 0.42 | 0.24 | 0.42 | 0.47 | 0.076 |
| D-3 | -CF-RBD | +UW+DW | 0.26 | 0.37 | 0.44 | 0.44 | 0.25 | 0.42 | 0.48 | 0.068 |
| D-4 | -CF-RBD | +UW | 0.23 | 0.30 | 0.32 | 0.25 | 0.22 | 0.31 | 0.32 | 0.032 |
| D-5 | -CF-RBD | +DW | 0.26 | 0.27 | 0.31 | 0.26 | 0.25 | 0.25 | 0.38 | 0.044 |
| E-1 | -CF | +LBD+SD+UW+DW | 0.26 | 0.39 | 0.45 | 0.45 | 0.46 | 0.44 | 0.25 | 0.075 |
| E-2 | -CF | +SD+UW+DW | 0.29 | 0.33 | 0.47 | 0.39 | 0.28 | 0.35 | 0.49 | 0.069 |
| E-3 | -CF | +UW+DW | 0.27 | 0.37 | 0.43 | 0.43 | 0.25 | 0.42 | 0.48 | 0.066 |
| E-4 | -CF | +UW | 0.24 | 0.30 | 0.33 | 0.25 | 0.23 | 0.32 | 0.33 | 0.033 |
| E-5 | -CF | +DW | 0.26 | 0.28 | 0.32 | 0.26 | 0.26 | 0.25 | 0.38 | 0.040 |
| F-1 | -SF | +CF+RBD+SD | 0.24 | 0.26 | 0.34 | 0.24 | 0.26 | 0.26 | 0.38 | 0.033 |
| F-2 | -SF | +CF+RBD+UW+DW | 0.23 | 0.32 | 0.44 | 0.44 | 0.24 | 0.36 | 0.46 | 0.073 |
| F-3 | -SF | +CF+RBD+LBD+SD+UW+DW | 0.24 | 0.29 | 0.44 | 0.44 | 0.24 | 0.38 | 0.47 | 0.075 |
| F-4 | -SF | +CF+SD | 0.25 | 0.28 | 0.35 | 0.25 | 0.25 | 0.23 | 0.36 | 0.035 |
| F-5 | -SF | +CF+UW+DW | 0.21 | 0.33 | 0.55 | 0.50 | 0.22 | 0.49 | 0.60 | 0.125 |
| F-6 | -SF | +CF+LBD+SD+UW+DW | 0.22 | 0.31 | 0.46 | 0.46 | 0.21 | 0.37 | 0.47 | 0.084 |
| G-1 | -SF-RBD-LBD | +SD+UW+DW | 0.23 | 0.34 | 0.41 | 0.41 | 0.23 | 0.41 | 0.47 | 0.077 |
| G-3 | SF-RBD-LBD | +UW+DW | 0.24 | 0.31 | 0.38 | 0.34 | 0.24 | 0.32 | 0.43 | 0.055 |
| G-4 | -SF-RBD-LBD | +UW | 0.22 | 0.29 | 0.33 | 0.25 | 0.21 | 0.29 | 0.31 | 0.032 |
| G-5 | -SF-RBD-LBD | +DW | 0.25 | 0.26 | 0.31 | 0.27 | 0.25 | 0.24 | 0.38 | 0.040 |
| H-1 | -SF | +RBD+LBD+SD+UW+DW | 0.26 | 0.35 | 0.43 | 0.41 | 0.24 | 0.41 | 0.45 | 0.070 |
| H-3 | -SF | +RBD+LBD+UW+DW | 0.27 | 0.35 | 0.42 | 0.42 | 0.26 | 0.40 | 0.45 | 0.064 |
| H-4 | -SF | +RBD+LBD+UW | 0.23 | 0.27 | 0.32 | 0.24 | 0.21 | 0.26 | 0.35 | 0.037 |
| H-5 | -SF | +RBD+LBD+DW | 0.25 | 0.29 | 0.35 | 0.29 | 0.23 | 0.30 | 0.40 | 0.054 |
| Temperature gap of average temperature (℃) | x < 3℃ | 3℃ ≤ x < 5℃ | ||
| Case | Ventilation Rate (AER·m-1) | Ventilation Time | ||
| Basic(Standard) | 0.55 | 60s | 82.9 | 16.5 |
| 180s | 75.9 | 23.7 | ||
| 300s | 84.6 | 15.4 | ||
| 0.75 | 60s | 73.3 | 26.3 | |
| 180s | 64.6 | 33 | ||
| 300s | 61 | 34.9 | ||
| 1.0 | 60s | 69 | 31 | |
| 180s | 59.2 | 38.4 | ||
| 300s | 49.5 | 45.9 | ||
| Upgrade ①(B+LW) | 0.55 | 60s | 66.3 | 31.6 |
| 180s | 60.8 | 32.2 | ||
| 300s | 66 | 30 | ||
| 0.75 | 60s | 44.1 | 49.8 | |
| 180s | 39.7 | 53 | ||
| 300s | 33 | 56.2 | ||
| 1.0 | 60s | 67.8 | 32.2 | |
| 180s | 41.6 | 56 | ||
| 300s | 39.4 | 58.1 | ||
| Upgrade (2)(B-CF) | 0.55 | 60s | 80.2 | 17.3 |
| 180s | 81 | 18.9 | ||
| 300s | 82.7 | 14.6 | ||
| 0.75 | 60s | 73.8 | 25.9 | |
| 180s | 64.9 | 33.7 | ||
| 300s | 67 | 29.2 | ||
| 1.0 | 60s | 69.8 | 30.2 | |
| 180s | 56.2 | 41 | ||
| 300s | 44.9 | 50.5 | ||
| Upgrade (1)+(2)(B+LW-CF) | 0.55 | 60s | 65.2 | 32.1 |
| 180s | 67.1 | 29.4 | ||
| 300s | 63.5 | 32.5 | ||
| 0.75 | 60s | 65.7 | 33.3 | |
| 180s | 71.4 | 26.7 | ||
| 300s | 60.6 | 38.7 | ||
| 1.0 | 60s | 68.7 | 31.3 | |
| 180s | 40.5 | 55.7 | ||
| 300s | 39.4 | 55.4 | ||
Disclaimer/Publisher’s Note: The statements, opinions and data contained in all publications are solely those of the individual author(s) and contributor(s) and not of MDPI and/or the editor(s). MDPI and/or the editor(s) disclaim responsibility for any injury to people or property resulting from any ideas, methods, instructions or products referred to in the content. |
© 2023 by the authors. Licensee MDPI, Basel, Switzerland. This article is an open access article distributed under the terms and conditions of the Creative Commons Attribution (CC BY) license (https://creativecommons.org/licenses/by/4.0/).