Submitted:
25 July 2023
Posted:
25 July 2023
You are already at the latest version
Abstract
Keywords:
1. Introduction
2. The model and basic formalism
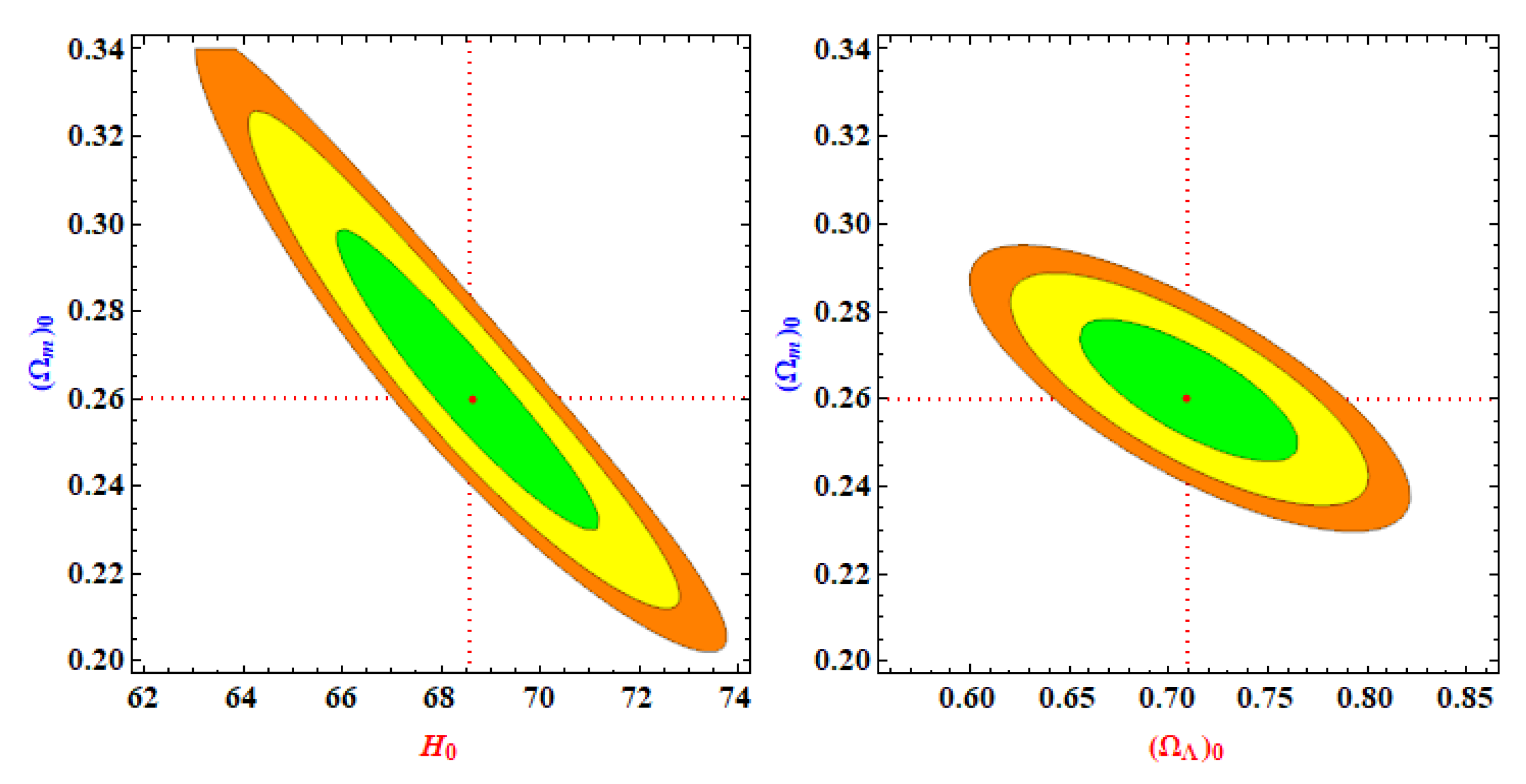
3. Observational constraints on the model parameters

4. Physical properties of the model
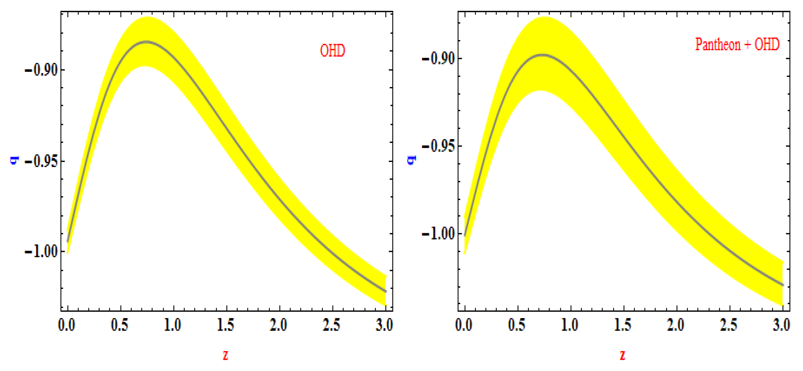
4.1. Deceleration parameter
4.2. Jerk parameter
4.3. Effective energy density and effective pressure
-
The present value of effective pressure and EoS parameter is as below.Fortunately, these confirm that the Universe is expanding with acceleration at present epoch.
-
At radiation era, when the Universe was highly warm and turbulent, . This was the period when red shift . During this span of time, is as followThus and when .
- It is evident that the inclusion of in the energy content of the Universe does not change the physics of early Universe but it is required to explain the late time acceleration of the Universe.
4.4. Statefinder diagnostics
5. Conclusions
- i)
- The Universe in derived model represents a model of accelerating Universe at present epoch with dominance of dark energy. The natural consequence of this research is that the cosmological constant is a promising candidate of dark energy.
- ii)
- We have obtained the effective energy density and pressure of the Universe in derived model which describes the dynamics of the Universe from its beginning to present epoch.
- iii)
- The present value of jerk parameter of the Universe in derived model is computed as which confirms that the derived model is representing a CDM type Universe.
- iv)
- We estimated km/s/Mpc (OHD) and km/s/Mpc (Pantheon + OHD). Comparing these results with what reported in R19 [40], we observe that km/s/Mpc (OHD) is in tension. Thus, we observe that the cosmological models owning redshift drift minimize tension.
References
- S. Perlmutter et al, Nature 1998, 391, 51.
- S. Perlmutter et al, Astrophys. J. 1999, 517, 5.
- A. G. Riess et al, Astron. J. 1998, 116, 1009.
- J. P. Ostriker and P. J. Steinhardt, Nature 1995, 377, 600.
- M. S. Turner, G. Steigman and L. Krauss, Phys. Rev. Lett. 1984, 52, 2090.
- D. N. Spergel et al. [WMAP Collaboration], Astrophys. J. Suppl. Ser. 2007, 170, 377.
- M. Tegmark et al. [SDSS Collaboration], Phys. Rev. D 2004, 69, 103501.
- E. J. Copeland, M. Sami, S. Tsujikawa, Int. J. Mod. Phys. D 2006, 15, 1753.
- O. Gron and S. Hervik, Einstien’s General Theory of Relativity With Modern Application in Cosmology, (New York: Springer) (2007).
- K. Abazajian et al. [SDSS Collaboration], Astron. J. 2004, 128, 502.
- V. Sahni, A. A. Starobinsky, Int. J. Mod. Phys. D 2000, 9, 373.
- W. L. Freedman et al., The Astrophys. J. 2001, 553, 47.
- A. Sandage, Physics Today 1970, 23, 34.
- K. C. Wong et al., arXiv:1907.04869 [astro-ph.CO].
- W. L. Freedman et al., arXiv:1907.05922 [astro-ph.CO].
- S. Weinberg, Rev. Mod. Phys. 1989, 61, 1.
- T. Padmanabhan, Phys. Rept. 2003, 380, 235.
- R. Bousso, Gen. Rel. Grav. 2008, 40, 607.
- J. Martin, Mod. Phys. Lett. A 2008, 23, 1252.
- R. R. Caldwell, M. Kamionkowski, N. N. Weinberg, Phys. Rev. Lett. 2003, 91, 071301.
- M. C. Bento, O. Bertolami, A. A. Sen, Phys. Rev. D 2002, 66, 043507.
- W. Zimdahl, D. Pavon, Gen. Relativ. Gravit. 2004, 36, 1483.
- X. Zhang, Phys. Lett. B 2005, 611, 1.
- X. Zhang, Commun. Theor. Phys. 2005, 44, 762.
- M. R. Setare, A. Banijamali and B. Fazlpour, Int. J. Mod. Phys. D 2011, 20, 269.
- H. Amirhashchi, Astrophys Space Sc. 2014, 351, 641.
- A. K. Yadav, Phys. Rev. D 2020, 102, 108301.
- T. P. Sotiriou and V. Faraoni, Rev. Mod. Phys. 2010, 82, 451.
- R. Aldrovandi and J. G. Pereira, Teleparallel Gravity. vol. 173. Springer, Dordrecht (2013).
- D. Blixt, M. Hohmann and C. Pfeifer, Phys. Rev. D 2019, 99, 084025.
- R. Ferraro and F. Fiorini, Phys. Rev. D 2007, 75, 084031.
- E. V. Linder, Phys. Rev. D 2010, 81, 127301.
- D. Lovelock, J. Math. Phys. 1971, 12, 498.
- S. Bahamonde, K. F. Dialektopoulos, and Said J. Levi, Phys. Rev. D 2019, 100, 064018.
- A. K. Yadav et al., Phys. Dark Uni. 2021, 31, 100738.
- H. Amirhashchi and A. K. Yadav, Phys. Dark Uni. 2020, 30, 100711.
- R. Prasad, L. K. Gupta, A. K. Yadav, Int. J. Geom. Meth. Mod. Phys. 2021, 18, 2150029.
- D. Huterer, D. L. Shafer, Rep. Prog. Phys. 2017, 81, 016901.
- M. Ishak, Living Rev. Rel. 2019, 1, 22.
- N. Aghanim et al. (Planck Collaboration), Planck 2018 results. VI. Cosmological parameters, arXiv: 1807.06209.
- A. G. Riess et al., Astrophys. J. 2019, 876, 1.
- D. Camarena, V. Marra, Phys. Rev. Res. 2020, 2, 013028.
- D. Camarena, V. Marra, MNRAS 2020, 495, 3.
- R. C. Nunes, A. Bernui, arXiv: 2008.03259.
- N. Schoneberg, J. Lesgourgues, D. C. Hooper, J. Cosmol. Astrop Phys. 2019, 10, 029.
- O. H. E. Philcox, B. D. Sherwin, G. S. Farren, E. J. Baxter, arXiv: 2008.08084.
- A. Bonilla, S. Kumar, R. C. Nunes, arXiv: 2011.0714.
- L. Verde, T. Treu, A. G. Riess, Nature Astronomy 2019, 3, 891.
- V. Poulin, T. L. Smith, T. Karwal, M. Kamionkowski, Phys. Rev. Lett. 2019, 122, 221301.
- R. C. Nunes, J. Cosmol. Astrop. Phys. 2018, 05, 052.
- W. Yang et al., J. Cosmol. Astrop. Phys. 2018, 09, 019.
- E. Di Valentino, A. Melchiorri, O. Mena, S. Vagnozzi, arXiv: 1908.04281.
- S. Vagnozzi, arXiv: 1907.07569.
- S. Vagnozzi, E. Di Valentino, S. Gariazzo, A. Melchiorri, O. Mena, J. Silk, arXiv: 2010.02230.
- B. S. Haridasu, M. Viel, Mon. Not. Roy. Astron. Soc. 2020, 497, 2.
- E. Di Valentino, arXiv: 2011.00246.
- E. Di Valentino, A. Melchiorri, O. Mena, S. Pan, W. Yang, arXiv: 2011.00283.
- E. Di Valentino, A. Melchiorri, J. Silk, arXiv: 2003.04935.
- E. Di Valentino, A. Melchiorri, J. Silk, Nature Astronomy 2020, 4, 196.
- G. B. Zhao et al., Nature Astronomy 2017, 1, 627.
- S. Peirone, G. Benevento, N. Frusciante, S. Tsujikawa, Phys. Rev. D 2019, 100, 063540.
- E. Di Valentino, A. Melchiorri, J. Silk, Phys. Rev. D 2016, 93, 023513.
- L. Kazantzidis, L. Perivolaropoulos, arXiv: 1907.03176.
- R. Prasad, L. K. Gupta, A. Beesham, G. K. Goswami, A. K. Yadav, Int. J. Geom. Meth. Mod. Phys. 2021, 18, 2150069.
- G. K. Goswami, M. Mishra, A. K. Yadav & A. Pradhan, Mod. Phys. Lett. A 2020, 33, 2050086.
- G. K. Goswami, A. K. Yadav & B. Mishra, Mod. Phys. Lett. A 2020, 35, 2050224.
- N. Singla, A. K. Yadav, M. K. Gupta, G. K. Goswami & R. Prasad, Mod. Phys. Lett. A 2020, 35, 2050174.
- S. Kumar, A. K. Yadav, Mod. Phys. Lett. A 2011, 26, 281.
- A. K. Yadav, Astrophys. Space Sc. 2011, 335, 565.
- A. K. Yadav, Astrophys. Space Sc. 361, 276 (2016).
- A. K. Yadav, F. Rahaman, S. Ray & G. K. Goswami, Euro. Phys. J. Plus 2012, 127, 127.
- H. Amirhashchi, A. K. Yadav, arXiv:2001.03775.
- A. K. Yadav, V. Bhardwaj, Res. Astron. Astrophys. 2018, 18, 64.
- R. Prasad, A. K. Yadav, & A. K. Yadav, Euro. Phys. J. Plus 2020, 135, 297.
- P. P. Ray, B. Mishra, S. K. Tripathy, Int. J. Mod. Phys. D 2019, 28, 1950093.
- B. Mishra, P. P. Ray, S. K. Tripathy, K. Bamba, Mod. Phys. Lett. A 2019, 34, 1950217.
- Y. Y. Wang, F. Y. Wang, Mon. Not. Roy. Astron. Soc. 2018, 474, 3516.
- Ö. Akarsu, S. Kumar, S. Sharma and L. Tedesco, Phys. Rev. D 2019, 100, 023532.
- Ö. Akarsu, J. D. Barrow, N. M. Uzun, arXiv:2009.06517.
- Ö. Akarsu, N. Katirci, S. Kumar, R. C. Nunes, B. Ozturk and S. Sharma, arXiv:2004.04074.
- Ö. Akarsu, N. Katirci, N. Özdemir, J. A. Vazquez, Euro. Phys. J. C 2020, 80, 1.
- V. K. Bhardwaj, M. K. Rana, ·A. K. Yadav, Astrophys. Space Sc. 2019, 364, 136.
- A. K. Yadav, V. K. Bhardwaj, P. K. Sahoo, Mod. Phys. Lett. A 2019, 34, 1950145.
- A. K. Yadav, A. M. Alshehri, N. Ahmad, G.K. Goswami, M. Kumar, Phys. Dark Uni. 2021, 31, 100738.
- A. K. Yadav, V. K. Bhardwaj, Res. Astron. Astrophys. 2018, 18, 64.
- P. Biswas, P. Roy, R. Biswas, arXiv: 1908.00408.
- D. M. Scolnic et al, Astrophys. J. 2018, 859, 101.
- A. G. Riess et al., Astrophys. J. 853, 126 (2018).
- H. Amirhashchi and S. Amirhashchi, Phys. Rev. D 2019, 99, 023516.
- H. Yu, B. Ratra and F.-Y. Wang, Astrophys. J. 2016, 856, 3.
- O. Farooq, F. R. Madiyar, S. Crandall and B. Ratra, Astrophys. J. 2017, 835, 26.
- C. E. Cunha et al., Mon. Not. R. Astron. Soc. 2009, 396, 2379.
- A. K. Yadav, Euro Phys. J. Plus 2014, 129, 194.
- A. K. Yadav, Braz. J. Phys. 2019, 49, 262.
- Ö Akarsu, S. Kumar, R. Ayrzakulov, M. Sami & L. Xu, J. Cosmol. Astropart. Phys. 2014, 1, 022.
- A. K. Yadav, P. K. Sahoo, V. K. Bhardwaj, Mod. Phys. Lett. A 2019, 34, 1950145.
- A. K. Yadav, Res. Astron. Astrophys. 12, 1467 (2012).
- A. Pradhan, H. Amirhashchi, Mod. Phys. Lett. A 2011, 26, 2261.
- M. P. Hobson, G. P. Efstathiou and A. N. Lasenby, General Relativity: An Introduction for Physicists, Cambridge University Press (2006).
- P. Mukherjee, S. Chakrabarti, Euro. Phys. J. C 2019, 79, 681.
- D. Rapetti, S. W. Allen, M. A. Amin, R. D. Blandford, Mon. Not. R. Astron. Soc. 2007, 375, 1510.
- O. Luongo, Mod. Phys. Lett. A 2013, 28, 1350080.
- R. Prasad, M. Singh, A. K. Yadav, A. Beesham, arXiv: 2010.02728.
- A. A. Mamon, K. Bamba, Eur. Phys. J. C 2018, 78, 862.
- O. Luongo, Mod. Phys. Lett. A 2015, 19, 1350080.
- S. Capozziello, R. D’Agostino, O. Luongo, Int. J. Mod. Phys. D 2019, 28, 1930016.
- P. K. S. Dunsby and O. Luongo, Int. J. Geom. Meth. Mod. Phys. 2016, 13, 1630002.
- M. Visser, Class. Quant. Grav. 2004, 21, 2603.
- M. Dunajski, G. Gibbons, Class. Quant. Grav. 2008, 25, 235012.
- Z. X. Zhai, M. J. Zhang, Z. S. Zhang, X. M. Liu, T. J. Zhang, Phys. Lett. B 2013, 727, 8.
- O. Luongo, Mod. Phys. Lett. A 2013, 28, 1350080.
- M. Dunajski,Gen. Relativ. Gravit. 2014, 46, 1814.
- C. C. Dantas, A. L. B. Ribeiro, Phys. Rev. D 2016, 93, 043509.
- A. Mukherjee, N. Banerjee, Phys. Rev. D 2016, 93, 043002.
- L. Tedesco, Eur. Phys. J. Plus 2018, 133, 5.
- U. Alam, V. Sahni, T. D. Saini, A. A. Starobinsky, Mon. Not. R. Astron. Soc. 2003, 344, 1057.






| Model parameters | OHD | Pantheon + OHD |
|---|---|---|
Disclaimer/Publisher’s Note: The statements, opinions and data contained in all publications are solely those of the individual author(s) and contributor(s) and not of MDPI and/or the editor(s). MDPI and/or the editor(s) disclaim responsibility for any injury to people or property resulting from any ideas, methods, instructions or products referred to in the content. |
© 2023 by the authors. Licensee MDPI, Basel, Switzerland. This article is an open access article distributed under the terms and conditions of the Creative Commons Attribution (CC BY) license (http://creativecommons.org/licenses/by/4.0/).
