Preprint
Article

This version is not peer-reviewed.

Upcycling Wool Waste to Keratin Gel-Based Nanofibers Using Deep Eutectic Solvents

A peer-reviewed article of this preprint also exists.

Submitted:

21 July 2023

Posted:

24 July 2023

You are already at the latest version

Abstract
Millions of tons of wool waste are produced yearly by textile industries, which may become a serious environmental hazard in the near future. Given this concern, it is crucial to explore strategies to reduce the amount of wool waste generated worldwide and adopt more sustainable practices for dissolving and regenerating wool keratin (WK) from textile waste. Most traditional methods involve the use of expensive, toxic, harmful, and poorly biodegradable compounds. To overcome these limitations and facilitate the reuse of wool waste through a cascade valorization strategy, researchers have started testing the use of deep eutectic solvents (DES) as a more sus-tainable and eco-friendlier alternative for WK dissolution and regeneration. In this study, the potential of two different DES mixtures, Choline chloride (ChCl): Urea and L-Cysteine (L-Cys): Lactic acid (LA), was explored for dissolving wool waste. Subsequently, the obtained gels based on DES-WK were blended with polyvinyl alcohol (PVA) in different ratios to produce nanofibers using the electrospinning technique. The effect of pH and the properties of the electrospinning solutions, namely electrical conductivity and viscosity, on the morphology of the gel solutions were evaluated. Moreover, the morphological features of the produced gel-based electrospun PVA/DES-WK nanofibrous membranes were analyzed using scanning electron mi-croscopy (SEM). Additionally, the PVA/L-Cys: LA DES-WK, which proved to be the most effective DES mixture for fabricating WK gel-based nanofibers, were characterized through Fourier transform infrared spectroscopy (FTIR) and tensile tests. Furthermore, their antioxidant and an-timicrobial abilities were evaluated. The results obtained revealed that this approach to valorize textile waste offers a unique avenue for the development of sustainable functional materials with potential applications in various biomedical and industrial fields.
Keywords: 
;  ;  ;  ;  ;  

1. Introduction

Keratin is one of the most abundant and underexploited fibrous proteins found in the epidermis of vertebrates, as well as in some epidermal appendages such as nails, hair, fur, hooves, feathers, wool, and horns [1,2]. Additionally, keratin is present in numerous wastes produced by the textile and poultry industries, as well as slaughterhouses, which are considered environmental pollutants and pose a serious threat to human health and the natural ecosystem [1,3,4]. In this context, it is crucial to convert the keratin present in these wastes into high-value-added products such as biomaterials, composite materials, films, reinforcements, fertilizers, absorbents, and cosmetics [2,3,4]. Moreover, these bio-based products are viewed as more economically sustainable and environmentally friendly due to their renewable nature, biocompatibility, and biodegradability. As a result, researchers are focused on reusing and dissolving these wastes [2,3].
Recycling the millions of tons of wool waste produced annually by the textile industries has become a significant research challenge [3,4]. Wool keratin (WK) is insoluble and resistant to the most common solvents due to the presence of strong intra- and intermolecular disulfide bonds, hydrogen bonds, and van der Waals forces, making its dissolution and regeneration difficult [1,2,3,5,6]. Therefore, various approaches capable of cleaving the disulfide and hydrogen bonds, such as oxidation, reduction, acid-alkali, sulfitolysis methods, enzymatic hydrolysis, and the use of ionic liquids, have been explored to extract WK from wool wastes [1,2,3,6]. However, many of these methods have issues related to time consumption, high temperatures, rigorous reaction conditions, and some involve expensive, toxic, harmful, and poorly biodegradable compounds [2,3]. Consequently, in recent years, green dissolution methods have been proposed. Among them, the use of deep eutectic solvents (DES) is gaining attention for the dissolution and regeneration of WK from wool waste due to their good biocompatibility, biodegradability, non-toxicity, easy availability, and low price [3,4]. Deep eutectic solvents (DESs) are mixtures of two or more compounds that act as either hydrogen bond acceptors (HBA) or hydrogen bond donors (HBD). These solvents have significantly lower melting points than their individual components, enabling reactions to occur at lower temperatures and establishing hydrogen and van der Waals bonds with the wool structure [2,3,4,5]. Various types of DES have been investigated for transforming wool waste and regenerating WK.
For example, Moore et al. utilized Choline chloride (ChCl): Urea DES at a molar ratio of 2:1 to obtain DES-WK. The dissolution of WK was carried out at 170 °C for 30 minutes with stirring [7]. Similarly, Jiang et al. employed ChCl: Urea DES in a 1:2 molar ratio to dissolve wool fibers at 130 °C for 5 hours and regenerate WK [3]. In another study, Wang et al. tested ChCl: Oxalic acid (OA) DES at a molar ratio of 1:2 for WK dissolution. The results showed that DES-WK exhibited higher solubility when a 5.0% weight ratio of wool to DES was used at 110-125 °C for 2 hours [4]. Additionally, Okoro et al. recently used a mixture of 1.6 g L-Cysteine (L-Cys) and 20 mL lactic acid (LA) to solubilize wool waste. The effectiveness of L-Cys: LA DES in WK recovery from wool waste was confirmed without affecting its structure [2]. However, these studies focused solely on the dissolution and regeneration of WK using DES, emphasizing the need to develop strategies for reusing this sustainable biopolymer to achieve high-value materials.
In this study, WK was initially dissolved in two different DES mixtures, specifically L-Cys: LA and ChCl: Urea DES mixtures. Subsequently, the resulting gels based on DES-WK were electrospun into nanofibers. Electrospinning is considered one of the most versatile, simple, rapid, flexible, and cost-effective techniques for producing functional micro/nanofiber materials for a wide range of applications [8,9,10]. However, the preparation of electrospinning solutions often involves the use of organic solvents that are harmful to human health and the environment [11,12]. Green solvents like DES offer a potential alternative for electrospinning to overcome the drawbacks associated with traditional solvents. Additionally, biopolymers such as WK are often challenging to electrospin on their own and require blending with other polymers [13,14,15,16]. Among these polymers, Polyvinyl Alcohol (PVA) has been extensively investigated for producing nanofibrous materials due to its biocompatibility, biodegradability, non-toxicity, enhanced fiber-forming ability, and excellent solubility in benign solvents such as water [17,18]. Therefore, to the best of our knowledge, this study represents the first successful blending of PVA with different weight ratios of gels based on DES-WK for electrospinning into nanofibrous membranes, aiming to valorize wool waste.

2. Materials and Methods

2.1. Materials

Wool waste was obtained from “A Transformadora, Lda”, a wool finishing manufacturer at Covilhã, Portugal. L-Cysteine (L-Cys), Urea, Mueller-Hinton Broth (MHB), Nutrient Agar (NA), Nutrient Broth (NB), Resazurin (7-hydroxy-3H-phenoxazin-3-one 10-oxide) dye, Tween 80, and Sodium chloride (NaCl) were purchased from Sigma-Aldrich (Sigma-Aldrich, St. Louis, MO, USA). DL-Lactic acid 90% (LA), Choline chloride 99% (ChCl) were acquired from Fisher Scientific (Fisher Scientific, Leicestershire, UK). Poly(vinyl alcohol) PVA (115,000 g/mol) was provided from VWR Chemicals (VWR Chemicals, Leuven, Belgium). ABTS was purchased from Panreac (Panreac, Barcelona, Spain). Potassium persulfate was acquired from Acros Organics (Acros Organics, Geel, Belgium).

2.2. Preparation of DES Mixtures

The L-Cys : LA DES was prepared as previously described by Okoro et al. [2]. Briefly, 1.6 g of L-Cys and 20 mL of LA were stirred at 105 °C into a lab flask until a homogeneous DES mixture was obtained. In turn, the ChCl : Urea DES was produced by mixing the two components at a 1:2 molar ratio, under stirring at 80 °C, until obtaining a transparent and homogenous liquid as described by Jiang et al. [3].

2.3. Dissolution of WK into DES Mixtures

The dissolution of the WK was carried out through the immersion of 2.0 g of wool waste in the previously prepared L-Cys : LA DES. In turn, 0.16 g of wool waste was immersed into ChCl : Urea DES by adapting a protocol previously reported by Jiang et al. [3]. Both DES mixtures were stirred at 130 °C for 3 h, until dissolution was complete and homogenous gel solutions obtained. The solubility of the gels based on DES-WK was determined through Equation (1):
S o l u b i l i t y % = W 0 W 1 W 0 × 100
where W0 is the weight of wool waste before dissolution and W1 is the weight of wool waste after dissolution.

2.4. Determination of the Antibacterial Activity of the DES Mixtures and the Gels-Based on DES-WK

The antibacterial activity of the DES mixtures and the gels based on DES-WK solutions was characterized by broth microdilution assay according to CLSI M07-A6 guidelines using Staphylococcus aureus (S. aureus) (ATTC 6538) and Klebsiella pneumoniae (K. pneumoniae) (ATCC 4352) as model bacterial. Briefly, sequential dilutions of the DES mixtures and the DES-WK gel solutions (e.g., ChCl : Urea DES, L-Cys : LA DES, L-Cys : LA DES-WK, and ChCl : Urea DES-WK) were prepared in sterile MHB. Then, overnight liquid suspensions of S. aureus and K. pneumoniae were adjusted in sterile water to 1 × 108 CFU/mL (0.5 McFarland turbidity) and further diluted 1:10 in MHB to obtain the bacterial work suspensions containing 1 × 107 CFU/mL. After that, a volume of 50 µL of the work suspension of the S. aureus and K. pneumoniae and 50 µL of the serial dilutions of DES and the DES-WK gel solutions were pipetted into 96-well plates and incubated for 24 h at 37 °C. After incubation, 30 µL of the 0.02% (w/v) resazurin solution were added to the 96-well plates and further incubated for 4 h. The lowest concentration of the prepared dilutions that inhibit the growth of the bacteria tested was defined by the color change of resazurin from blue to pink. In this sense, a reduction by viable cells of the resazurin blue dye in its oxidized state to a pink fluorescent resorufin product indicating bacterial growth. Wells containing only MHB medium were used as a negative control (K-), whereas wells filled with MHB medium and bacterial work suspensions were used as positive control (K+).

2.5. Production of the Gel-Based Electrospun PVA/DES-WK Nanofibrous Membranes

2.5.1. Preparation of the Electrospinning Solutions

For the electrospinning solutions, 10% PVA (w/v) with a viscosity-average molecular weight of 115,000 g/mol was dissolved in distilled water at 90 °C and kept under magnetic stirring overnight until complete dissolution. After that, the PVA was added to DES-WK gel solutions with a PVA/DES-WK blending ratio of 95/5, 90/10, 80/20, and 70/30. The blends were stirred continuously for an additional 2 h to obtain homogeneous PVA/DES-WK blend gel solutions.

2.5.2. Measurement of pH of the Electrospinning Gel Solutions

The pH of the PVA, the gels based on DES-WK, and the PVA/DES-WK blend gel solutions was determined by a digital pH meter (Mettler Toledo Seven Easy pH Meter). The pH value was read after being constant. All determinations were performed in triplicate.

2.5.3. Measurement of the Electrical Conductivity of the Electrospinning Gel Solutions

The electrical conductivity of the PVA, the gels based on DES-WK, and each PVA/DES-WK blend gel solution was measured using a digital conductivity meter (Mettler Toledo FiveEasy Conductivity Meter). The conductivity values were read from the digital screen of the conductivity meter when it stabilized. The measurements were carried out in triplicate.

2.5.4. Measurement of the Viscosity of the Electrospinning Gel Solutions

The viscosity of the PVA, the gels based on DES-WK, and the PVA/DES-WK blend gel solutions was determined with a rotational viscometer (VR 3000 MYR, model V1-L, Viscotech Hispania SL.). For each solution, three types of spindles (TL5, TL6, and TL7) were used at different rotation speeds to measure accurately the viscosity of the solutions. Both room temperature and the temperature of the solutions were checked before and after each measurement. The measurements were carried out in triplicate.

2.5.5. Electrospinning of the PVA/DES-WK Blend Gel Solutions

The raw PVA and the PVA/DES-WK blend gel solutions were electrospun using a modified electrospinning technique, Nanospider Technology (Nanospider laboratory machine NS LAB 500S from Elmarco s.r.o., Czech Republic, http://www.elmarco.com). Electrospinning was carried out with a working distance (distance from the spinning electrode to the collector of 13 cm, an applied voltage of 80.0 kV, and an electrode rotation rate of 55 Hz. The collection time was ~30 minutes on polypropylene nonwoven fabric at 25 °C.
The fabrication of the gel-based electrospun PVA/DES-WK nanofibrous membranes is overviewed in Figure 1.

2.6. Characterization of the Gel-Based Electrospun PVA/DES-WK Nanofibrous Membranes

2.6.1. Characterization of the Gel-Based Nanofibers’ Surface Morphology through Scanning Electron Microscopy (SEM) Analysis

The surface morphology of the gel-based electrospun PVA/DES-WK nanofibrous membranes were characterized through SEM. Briefly, all samples were mounted on aluminum stubs with Araldite adhesive and sputter-coated with a thin gold layer using a Quorum Q150R ES sputter coater (Quorum Technologies Ltd, Laughton, East Sussex, England). After that, the SEM images were acquired in a Hitachi S-3400N Scanning Electron Microscope (Hitachi, Tokyo, Japan) using an acceleration voltage of 20 kV. The morphology of the nanofibers was analyzed by SEM images and the fibers diameters were measured using an image analysis software, ImageJ (NIH Image, USA). The raw PVA was also analyzed for comparative purposes.

2.6.2. Fourier Transform Infrared Spectroscopic (FTIR) Analysis

Fourier transform infrared spectra of the raw materials (PVA and the gel based on L-Cys : LA DES-WK) and the gel-based electrospun PVA/L-Cys : LA DES-WK nanofibrous membranes were acquired on an IRAffinity-1S FTIR spectrophotometer (Shimadzu, Kyoto, Japan). Data were collected with an average of 64 scans, in the range of 4000-600 cm-1, and a spectral resolution of 4 cm-1. All the samples were then analyzed and cross-checked against the LabSolutionsIR (Version 2.11, Shimadzu, Kyoto, Japan) library.

2.6.3. Characterization of the Gel-Based Nanofibers’ Mechanical Properties

The mechanical performance of the PVA and gel-based electrospun PVA/L-Cys : LA DES-WK nanofibrous membranes was analyzed with a universal tensile test machine (DY-35, Adamel Lhomargy, Roissy en Brie, France) operated at room temperature, under dry conditions, equipped with a 100 N static load cell. For the test, electrospun nanofiber samples were cut into strip-shaped specimens with a width of 1 cm and a gauge length of 4 cm, and their thickness was measured with a micrometer (Adamel Lhomargy MI20, France) ranging from 0.174–0.292 mm. The length between the clamps and the speed of testing were set to 1 cm and 1 mm/min, respectively. On each sample, measurements were performed three times and the average value was recorded.

2.6.4. Evaluation of the Gel-Based Nanofibers’ Antioxidant Activity

The antioxidant activity of the gel-based electrospun PVA/L-Cys : LA DES-WK nanofibrous membranes was assessed using the ABTS radical decolorization assay. Briefly, the ABTS radical cation (ABTS+) was initially formed by mixing 5 mL of ABTS (7 mM) stock solution with 88 µL of potassium persulfate (2.4 mM). The reaction mixture was then incubated in the dark for 12–16 h at room temperature. Prior to the beginning of the assay, the ABTS+ solution was diluted with phosphate buffer (0.1 M, pH 7.4) to reach an absorbance of 0.700 ± 0.025, at 734 nm. Then, 10 mg of each gel-based electrospun nanofibers sample were immersed in 10 mL of ABTS+ solution, and the reaction occurred for 30 min in the dark. The scavenging capability of ABTS+ at 734 nm was determined through Equation (2):
A n t i o x i d a n t   a c t i v i t y % = A c o n t r o l A s a m p l e A c o n t r o l × 100
where Acontrol is the absorbance of the remaining ABTS+ in the control sample (e.g., PVA) and Asample is the absorbance of the remaining ABTS+ when incubated with the nanofiber’s samples (e.g., gel-based electrospun PVA/L-Cys : LA DES-WK nanofibrous membranes). All experiments were conducted in triplicate.

2.6.5. Evaluation of the Gel-Based Nanofibers’ Antimicrobial Properties

The ability of the produced gel-based electrospun PVA/L-Cys : LA DES-WK nanofibrous membranes to inhibit bacteria growth was characterized using S. aureus (ATCC 6538) and K. pneumoniae (ATCC 4352) through Japanese Industrial Standard JIS L 1902:2002. For this purpose, bacterial suspensions (1×105 CFU/mL) were prepared and inoculated over the nanofibers’ samples. For this purpose, the samples were evaluated immediately after adding the inoculum (T0h) and after 18–24 h in contact with the inoculum at 37 °C (T24h). Then, each sample was subjected to vigorous vortex for 30 s in a neutralizing solution composed by 0.85 (w/v) NaCl and 2 mL/L of Tween 80, and serial dilutions were prepared with 0.85 (w/v) NaCl and seeded on NA plates. After overnight incubation at 37 °C, the bacterial colonies were counted and expressed as CFU/mL. The percentage of bacterial growth inhibition was determined accordingly with Equation (3):
A n t i b a c t e r i a l   a c t i v i t y % = C S C × 100
Where C and S represent the CFU/mL of control (e.g., PVA) and experimental group (e.g., gel-based electrospun PVA/L-Cys : LA DES-WK nanofibrous membranes) respectively.

2.6.6. Statistical Analysis

The statistical data analysis used one-way analysis of variance (ANOVA), followed by Tukey's multiple comparison test, using GraphPad Prism 6 software (GraphPad Software, La Jolla, CA, USA). A p value lower than 0.05 (p < 0.05) was considered statistically significant. All experiments were conducted in triplicate unless otherwise stated, and data expressed as a mean ± standard deviation (SD).

3. Results and Discussion

3.1. Dissolution of WK into DES Mixtures

The wool waste was placed in contact with two different DES mixtures, i.e., ChCl : Urea molar ratio 1 : 2 and 1.6 g L-Cys in 20 mL of LA, and dissolved at 130 °C for 3 h, respectively, in order to evaluate the influence of the composition of the DES system on the dissolution of the WK. Concerning that, in Table 1 can be seen that 1.6 g L-Cys in 20 mL of LA displayed a higher WK dissolution efficiency, reaching a solubility of 68.83 ± 5.10% at 130 °C, whereas for ChCl : Urea molar ratio 1 : 2 was reached a solubility of 42.88 ± 0.83% at 130 °C.
Previous studies reported that both DES mixtures were able to dissolve wool and regenerate keratin from wool waste. Particularly, Okoro et al. reported to the L-Cys : LA DES that the use of the LA affected the bonds in the wool, forming hydrogen bonds with peptides and other wool functional groups [2]. These new hydrogen bonds allowed that the L-Cys can easily penetrate and cleavage the disulphide bonds, and consequently promote the formation of thiolate anions, which can further cleavage of the disulphide bonds in keratin chains, thus leading to higher wool solubilization. In turn, Jianf et al. revealed the potential of dissolve and regenerate WK using the ChCl : Urea DES by cleavage of disulfide bonds among amino acid side chains [3]. In addition, ChCl, a rich hydrogen bond acceptor, has been used to break intermolecular or intramolecular hydrogen bonds. Therefore, both DES mixtures demonstrated to be able to successfully dissolve the WK, although the solubility of the wool waste can be significantly influenced by several factors, like the molar ratio of hydrogen bond acceptor and donor in DES system, the dissolution time, and the range of the temperature.

3.2. Determination of the Antibacterial Activity of the DES Mixtures and the Gels-Based on DES-WK

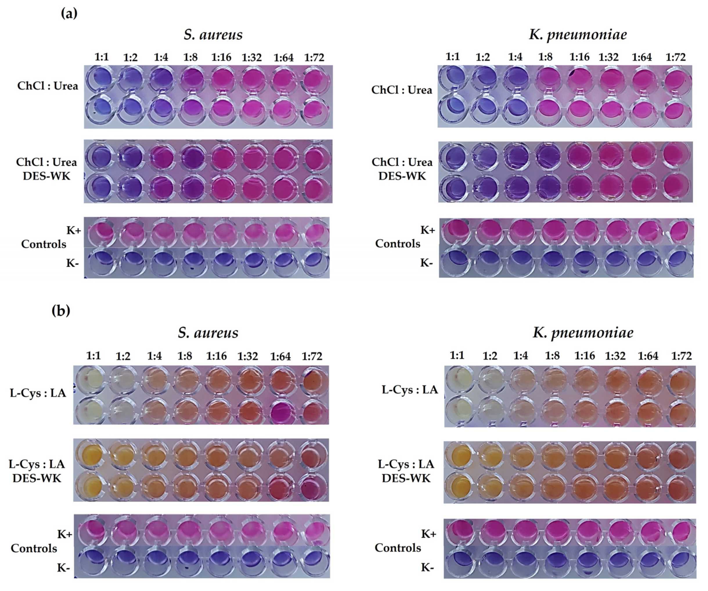
In our study, the lowest concentration of DES mixtures to prevent the bacterial growth was defined as minimal inhibitory concentration (MIC). So, the ChCl : Urea DES presented MIC values of 250 µL/mL for S. aureus and K. pneumoniae, which correspond to the 1:4 dilutions, respectively, Figure 2a. In addition, it was found that the gel-based on ChCl : Urea DES-WK exhibited a slightly higher antimicrobial activity, displaying MIC values of 125 µL/mL against S. aureus and K. pneumoniae, corresponding to the 1:8 dilutions, respectively, Figure 2a. In turn, the L-Cys : LA DES did not show conclusive results, since the blue-purple resazurin color changed to a colorless and/or orange/yellowish hue, Figure 2b, due to the resazurin chemical structural changes at different pH levels [19]. Ezati et al. reported that resorufin forms the caproyl ester group in acidic conditions, a colorless and non-fluorescent hexanoyl resorufin [19]. Moreover, Labadie et al. described that resorufin has an intense red fluorescence at neutral pH, while a yellow fluorescence is observed at pH below 6.6 [20]. Therefore, the resazurin reduction-based technique to detect of bacterial growth exhibited technical limitations related to the discoloration/color change of resorufin under acidic conditions due to the presence of LA in the DES mixture. However, both DES and the gels based on DES-WK dissolved exhibit recognized antimicrobial properties, it is possible to check below in the Section 3.4.5.
However, DES have attracted research attention as a new generation of green solvents due to their unique characteristics, such as less toxicity, biodegradability, environmental safety, and intrinsic bioactive properties [21,22].

3.3. Evaluation of the pH and the Electrospinning Solution Properties

3.3.1. pH

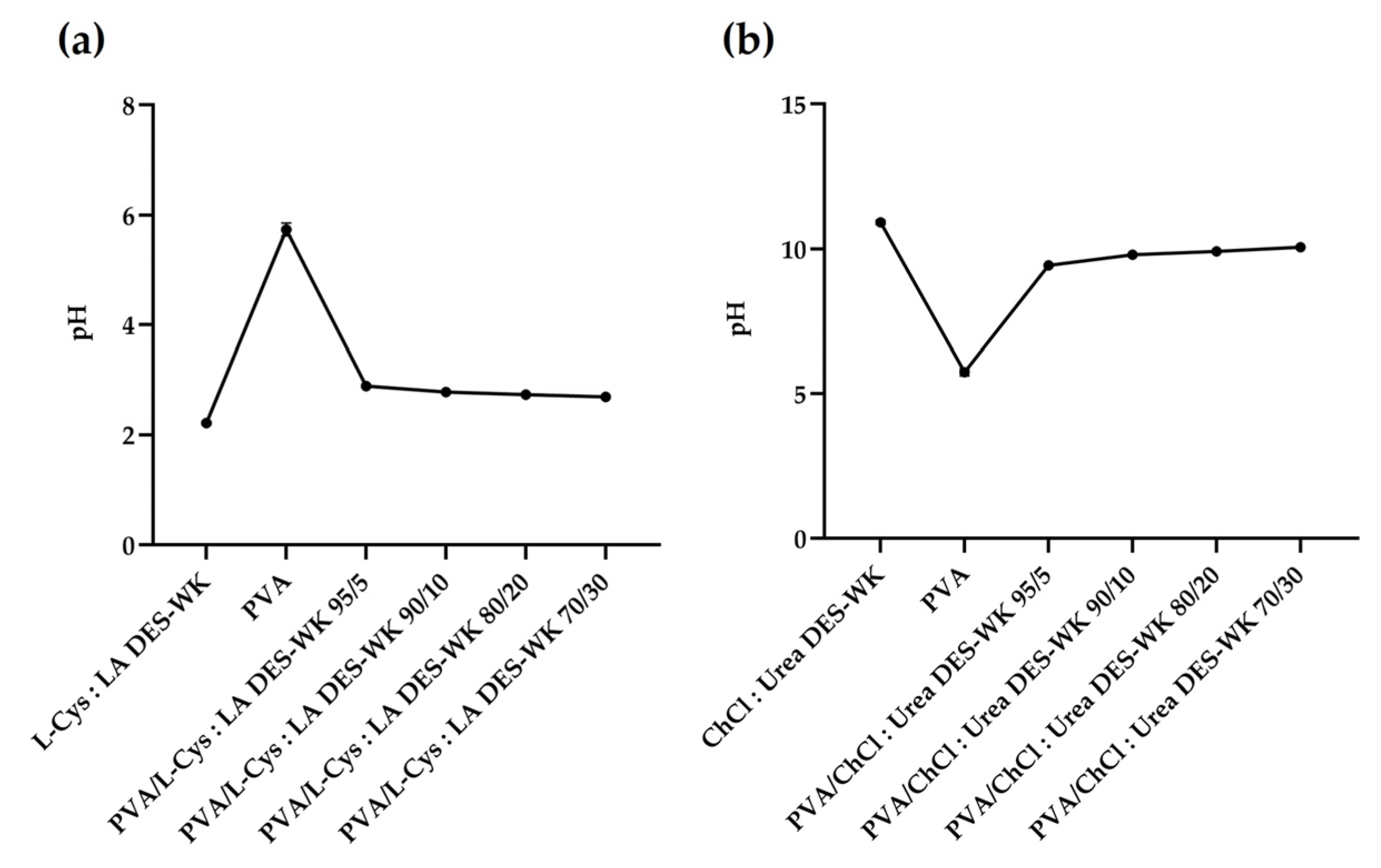
The properties of the electrospinning solutions, such as the electrical conductivity and the viscosity can be influenced by the pH value [23]. Concerning that, the pH of the PVA solution, the DES mixtures, and the PVA/DES-WK weight ratios of 95/5, 90/10, 80/20, and 70/30 were measured and recorded (Figure 3). The L-Cys : LA DES exhibited a pH value of 2.22 ± 0.17, while the PVA solution displayed a pH value of 5.74 ± 0.12, which is in agreement with the pH values reported in the literature for this polymer [24]. However, when the gel-based on L-Cys : LA DES-WK was blended with the PVA in different ratios there was a slight increase in pH values compared to the L-Cys : LA DES mixture, Figure 3a.
In turn, the ChCl : Urea DES revealed a high pH of 10.92 ± 0.08, which resulted in an increase in the pH values of the PVA/ChCl : Urea DES-WK blends gel solutions in relation to the PVA, Figure 3b.
Therefore, the effect of the pH on the electrical conductivity and viscosity of the electrospinning solutions, and consequently, on the production and the morphology of the electrospun nanofibers, was investigated in the following sections of this scientific paper.

3.3.2. Electrical Conductivity

In the electrospinning process, a charged jet is ejected when the electrostatic repulsion forces, associated with an increase of the high voltage applied, overcame the surface tension of an electrospinning solution. In this moment, a liquid droplet is elongated into a conical shape forming a Taylor cone-jet, which is mainly controlled by the Coulombic force between the charges and the electric field [25,26,27]. Thus, these forces arise due to the surface charge on the jet and change according to the conductivity of the solution. As a result, the jet carries more charges as the electrical conductivity of the solution rises, and consequently it is subjected to a greater elongation, resulting in uniform fibers with smaller diameters [25,26,27].
Regarding that, the conductivity of the solutions used in the electrospinning, namely the gels-based DES-WK mixtures, the PVA solution, and the gels-based PVA/DES-WK blends with the weight ratios of 95/5, 90/10, 80/20, and 70/30 were measured and their values recorded in Figure 4.
The L-Cys : LA DES-WK presented a low conductivity (62.58 ± 11.97 µS/cm) when compared to the PVA solution (128.43 ± 2.34 µS/cm), which is widely recognized by its ability to produce uniform nanofibers. Additionally, the PVA/L-Cys : LA DES-WK gel blends revealed higher conductivity values in comparison with both PVA and L-Cys : LA DES-WK, Figure 4a. Similarly, the gel based on ChCl : Urea DES-WK exhibited a lower conductivity (90.71 ± 20.48 µS/cm) than the PVA solution (128.43 ± 2.34 µS/cm), although the difference is smaller. However, when the gel-based ChCl : Urea DES-WK was blended with the PVA in different ratios, greatly increased conductivity values were observed, mainly to the PVA/ChCl : Urea DES-WK 70:30 (10525.00 ± 229.81 µS/cm), Figure 4b. Thus, although the nanofiber diameters decrease with the increase of the conductivity of the electrospinning solution, by promoting the stretching of the jet, a too-high conductivity value will result in unstable jetting and consequently the formation of nanofibers will not occur [25].

3.3.3. Viscosity

The viscosity of the electrospinning solution, an important measure of the polymer chain entanglements, is another parameter that has a significant impact on the diameter and shape of the nanofibers produced through the electrospinning technique. In addition, it is affected by the temperature, and depends on the concentration of the solution and the molecular weight of the polymer, since higher values result in densely entangled polymer chains, and consequently in more viscous solutions. Moreover, higher viscous solutions can difficult the elongation the jet and thus lead to thick nanofibers, while low viscous solutions can result in jets that breakup easily into droplets [26,27]. Therefore, a proper chain entanglement should be established in order to keep the solution jet coherent during the electrospinning process. In this sense, to produce high-quality nanofibers, the viscosity of the gels based on DES-WK mixtures, the PVA solution, and the gel-based PVA/DES-WK blends in different ratios was measured and shown in the Figure 5.
As expected, the PVA solution exhibited a high viscosity value (846 mPa.s), which was quite similar to the viscosity found in another previous study of the PVA when used to produce electrospun fiber mats (810 mPa.s) [28]. Besides, L-Cys : LA DES-WK gel solution revealed a low viscosity (70 mPa.s), and therefore the blend with different weigh ratio of PVA increased the chain entanglements and resulted in an improvement of the viscoelastic force, which can be enough to prevent breakup of the electrically charged jets. In this sense, the viscosity obtained for the PVA/L-Cys : LA DES-WK gel blends slightly increased with the rising amount of PVA, being higher for the 95:5 ratio (141.2 mPa.s), Figure 5a. On the other hand, the gel based on ChCl: Urea DES-WK solution presented the highest viscosity (934 mPa.s), and consequently after mixing with the PVA solution at different ratios, the viscosity remained high, particularly for the 95:5 ratio (875 mPa.s), Figure 5b.
So, the effect of the solution viscosity on the quality of the nanofibers, and their diameters was explored in the Section 3.4.1.

3.4. Characterization of the Gel-Based Electrospun PVA/DES-WK Nanofibrous Membranes

3.4.1. Characterization of the Gel-Based Nanofibers’ Surface Morphology through Scanning Electron Microscopy (SEM) Analysis

In recent years, electrospun nanofibers have become the main target of different studies to develop nanofibrous materials for a wide a range of applications. In this study, an electrospinning technique (the needle-free NanospiderTM technology) was used to produce gel-based nanofibers based on WK dissolved in DES mixtures as a novel and sustainable approach for wool waste valorization. For that purpose, the effect of the pH and the properties of the electrospinning solutions (e.g. electrical conductivity and viscosity) were evaluated. However, in addition to the solution properties (e.g. electrical conductivity, concentration, viscosity, and surface tension), there are other parameters that can influence the electrospinning process, and consequently, the features of the produced nanofibers, namely the processing variables (e.g. applied voltage, the distance between the electrode and the collector, electrode type, and flow rate) and the environmental conditions (e.g. temperature and humidity). Concerning that, the electrospinning was performed under controlled processing conditions, namely by applying a high voltage of 80 kV, a collecting distance of 13 cm and an electrode rotation rate of 55 Hz (electrode spin = 8.8 r/min).
In fact, both gels based on DES-WK showed poor electrospinnability, since L-Cys : LA DES-WK exhibited a low viscosity (70 mPa.s) and electrical conductivity (62.58 ± 11.97 mS/cm), which can lead to the formation of the unstable jets. In turn, the ChCl : Urea DES-WK revealed the highest viscosity (934 mPa.s) and a conductivity of 90.71 ± 20.48 mS/cm, however, it was not enough to also produce a stable electrospinning jet. Moreover, the wool, which is rich in many different functional groups, can establish diverse inter- and intramolecular bonds (e.g. ionic interactions, hydrogen bonds, van der Waals forces) and consequently may arise several complications to form the Taylor cone and drawing the nanofibers, being that a higher voltage is required to stretch the solution jet [29]. In this sense, the addition of the PVA circumvented the difficulty of directly electrospun the gels-based DES-WK solutions, due to their suitability to be applied as a base polymer to design electrospun nanofibrous structures. Predominantly, the PVA has been extensively investigated due to the use of water-based solvents, and its good processability, biocompatibility, biodegradability, chemo-thermal stability, mechanical performance, and low cost [30].
Hence, the formation and morphology of the electrospun nanofibers were analyzed through SEM and the fiber diameters determined using the ImageJ software, Figure 6.
The PVA showed a highly interconnected structure composed of fibers with a mean diameter of 346.68 ± 123.73 nm. In addition, when the PVA was added to the gels-based DES-WK solutions improved the ability to form high-quality nanofibers, and particularly, the electrospinning solution composed of PVA/L-Cys : LA DES-WK 95/5 resulted in uniform fibers with an mean diameter of 219.14 ± 61.83 nm. Additionally, when the L-Cys : LA DES-WK ratio in the gel blends was increased to 80/20 and 70/30 resulted in the formation of nanofibers without a smooth surface and with a wide distribution of fiber diameters due to the increase in the conductivity of the electrospinning solutions and slight decrease in the viscosity when increasing the content of L-Cys : LA DES-WK in the blends with the PVA (please see the Section 3.3.). On the other hand, the gel based on ChCl : Urea DES-WK was unable to produce nanofibers when the ratio of ChCl : Urea DES-WK increased to 80/20 and 70/30. However, the PVA/ChCl : Urea DES-WK 95/5 and the PVA/ChCl : Urea DES-WK 90/10 resulted in low fiber deposition. Therefore, under these conditions, the electrospinning solutions presented extremely high conductivity values, which prevented the formation of the stable jets, mainly in the non-spinnable conditions (80/20 and 70/30).
Overall, the SEM images revealed that L-Cys : LA DES-WK was seen as a more promising alternative to produce gel-based WK nanofibers from the wool waste.
Similarly, previous studies obtained WK nanofibers from the blends with polymers with a good fiber-forming capability, such as PVA, PEO, and PCL. Nonetheless, the extraction of keratin from the wool was performed mainly through the sulfitolysis and by using toxic and harmful chemical reagents [13,14,16]. Thus, this is a more sustainable approach, which requires the use of DES as a kind of green solvent for WK dissolution. In addition, the present study uses directly the wool dissolved in the DES mixtures in the electrospinning, without performing the WK extraction step, which make the process more efficient, fast, and cost effective. Hence, this approach opens numerous possibilities for the development of gel-based electrospun nanofibrous membranes with potential in many biomedical and other industrial applications, and contribute to a sustainable future, in alignment with UN sustainability goals.

3.4.2. Fourier Transform Infrared Spectroscopic (FTIR) Analysis

The chemical composition of the gel-based electrospun nanofibers produced using the blends of PVA and the gel based on L-Cys : LA DES-WK, which arose as a highly promising choice, was examined by FTIR analysis. Concerning that, the acquired FTIR spectra of the raw PVA and the gel based on L-Cys : LA DES-WK, as well as the produced PVA/L-Cys : LA DES-WK gel blends are presented in Figure 7.
The spectrum of the PVA shows the characteristic peaks at 3305.99 cm-1 (-OH stretching vibration), 2914.44 cm-1 (CH stretching vibration), 1421.54 cm-1 (CH2 bending vibration), 1087.85 cm-1 (C-O stretching vibration), Figure 7a [31]. In addition, the gel based on L-Cys : LA DES-WK shows the typical bands of the wool waste at 1647.21 cm-1 (amide I), 1521.84 cm-1 (amide II), and 1041.56 cm-1 due to the presence of cysteine-S-sulfonated residues [2], as well as a characteristic peak of the LA at 1728.22 cm-1 (C=O stretching vibration), one of the main constituents of the DES mixture, Figure 7f [32].
Similarly the spectra of the PVA/L-Cys : LA DES-WK gel blends display the typical peaks of the PVA, as well as the characteristic bands of the gel based on L-Cys : LA DES-WK, which indicates that the protein functional groups/structure of the wool was preserved even after WK dissolution in the L-Cys : LA DES mixture. In addition, the peaks of wool waste at around 1640 cm-1 and 1518 cm-1 are more evident when increasing of L-Cys : LA DES-WK ratio, while the intensity of the broad absorption peak at 3319 cm-1 that belong to PVA decrease, Figure 7.
Furthermore, after cross-checking the acquired FTIR spectra with the LabSolutionsIR library (Table 2) was observed that the PVA/L-Cys : LA DES-WK 95/5 and the PVA/L-Cys : LA DES-WK 90/10 were matched with the PVA, while the PVA/L-Cys : LA DES-WK 80/20, the PVA/L-Cys : LA DES-WK 70/30, and the gel based on L-Cys : LA DES-WK were matched with the ethyl lactate, probably due to the higher L-Cys : LA ratio in these nanofibers.

3.4.3. Characterization of the Gel-Based Nanofibers’ Mechanical Properties

In this study, the mechanical properties, namely the Young’s modulus, tensile strength, and elongation at break, were evaluated in dry conditions for the raw PVA and the gel-based electrospun PVA/L-Cys : LA DES-WK nanofibrous membranes. The values are presented the Table 3.
The PVA, a synthetic polymer well known by its mechanical strength, showed a higher Young’s modulus (45.04 ± 3.58 MPa) and tensile strength (8.18 ± 1.25 MPa), compared with the PVA/L-Cys : LA DES-WK gel blends that have weaker mechanical performance. However, the tensile strength and the Young’s modulus of the PVA/L-Cys : LA DES-WK gel blends were not affected significantly when the ratio of gel based on DES-WK was increased of 95/5 to 90/10, resulting in tensile strengths of 4.19 ± 0.96 MPa and 4.43 ± 1.14 MPa and Young Modulus of 22.24 ± 3.00 MPa and 27.01 ± 0.18 MPa, respectively. On the other hand, the elongation at break assays revealed that the PVA, the PVA/L-Cys : LA DES-Wool 95/5, and the PVA/L-Cys : LA DES-Wool 90/10 can bear a strain of 18.34 ± 3.97%, 19.28 ± 8.05 %, and 16.40 ± 5.99, correspondently. Thus, the produced gel-based electrospun nanofibrous membranes presents similar elongation to break values, although a slight increase (not significant) has been noted when increasing the PVA content from 90/10 to 95/5.
Therefore, the mechanical properties exhibited by the gel-based electrospun PVA/L-Cys : LA DES-WK nanofibrous membranes emphasize their suitability for being used in biomedical and other industrial applications.

3.4.4. Evaluation of the Gel-Based Nanofibers’ Antioxidant Activity

The antioxidant activity of the produced gel-based electrospun PVA/L-Cys : LA DES-WK nanofibrous membranes was explored through the ABTS assay. ABTS+ is a stable free radical commonly used for assessing the total antioxidant capacity of natural compounds, which displays a maximum absorption peak at 734 nm [33,34].
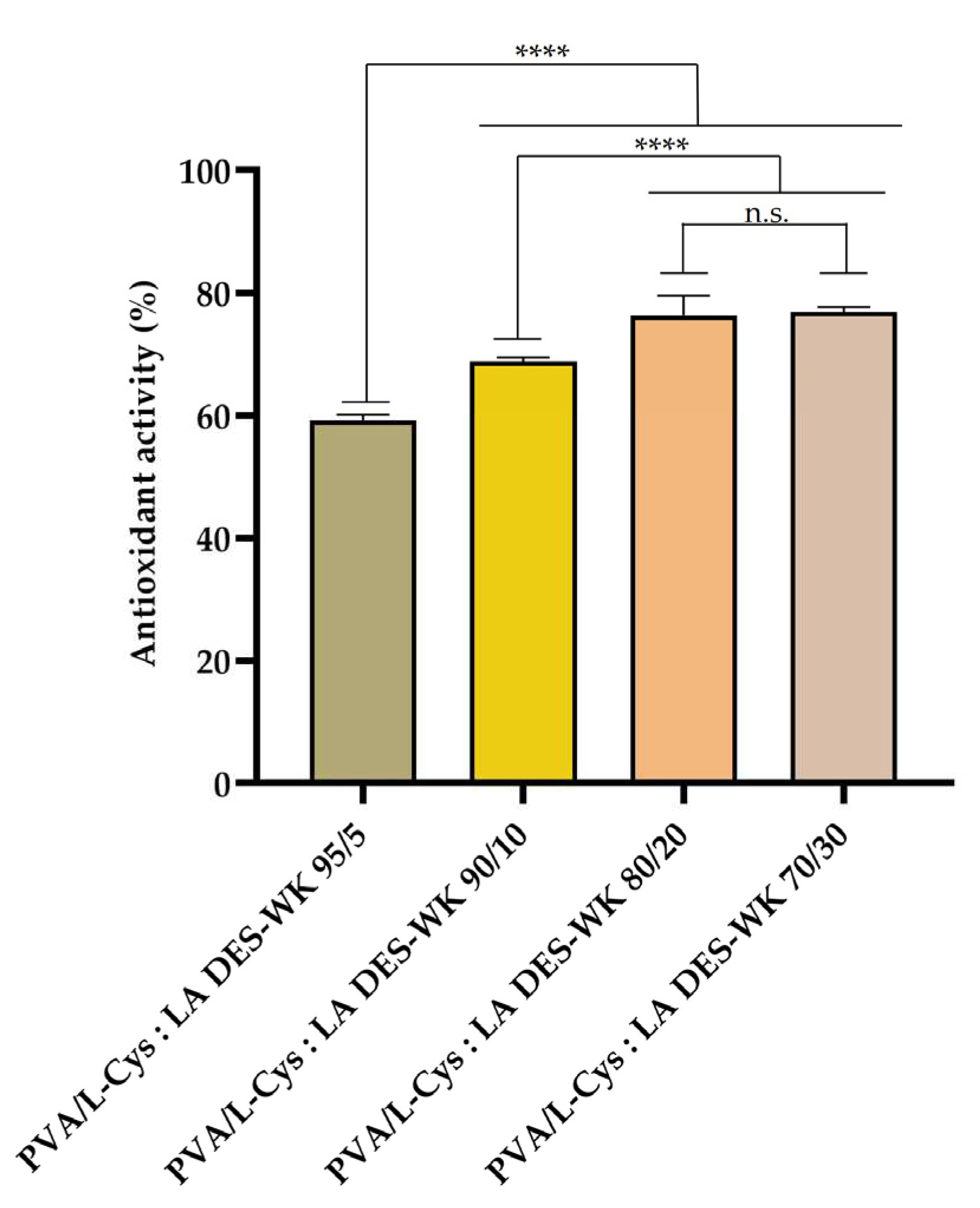
The results presented in Figure 8 showed that the antioxidant activity improved with the increasing L-Cys : LA DES-WK ratio. The PVA/L-Cys : LA DES-WK 95/5 exhibited a value of 59.25 ± 0.01%, while the PVA/L-Cys : LA DES-Wool 70/30 exhibited a value of 77.07 ± 0.01%. The improvement in the antioxidant activity of the gel-based electrospun nanofibrous membranes is attributed to the components of the DES mixture, namely to the L-Cys and LA, as well as the WK. In fact, in the literature, Nogueira et al. highlighted the antioxidant activity of the L-Cys [35], while the Hu et al. revealed that LA producing bacteria have prominent antioxidant properties [36]. Moreover, the WK displays a high cysteine content whose antioxidant functions have been previously demonstrated [37]. Therefore, the promising antioxidant capability of the produced gel-based electrospun PVA/L-Cys : LA DES-WK nanofibrous membranes arises from the ability of the DES mixture and the WK to donate a hydrogen atom to free radicals, reducing the ABTS+ radical to a colorless compound [34].

3.4.5. Evaluation of the Gel-Based Nanofibers’ Antimicrobial Properties

In this study, the antimicrobial properties of the produced gel-based electrospun PVA/L-Cys : LA DES-WK nanofibrous membranes were characterized by using S. aureus and K. pneumoniae as gram-positive and gram-negative bacteria models, respectively.
The results presented in Figure 9 and Table 4 show that the PVA/L-Cys : LA DES-WK gel blends exhibited an inhibitory effect of 100% (reaching a 6 Log reduction) on S.aureus and K. pneumoniae growth, indicating an significant statistical difference with the control group, where the raw PVA was used. Therefore, the synergistic effect of the intrinsic antimicrobial activity of the L-Cys : LA DES and WK resulted in the production of gel-based nanofibers with exceptional antibacterial properties.
In the literature, it has been already described that the sulfhydryl functional groups (-SH) of the L-Cys interact with the -SH groups present at the cell membrane proteins, leading to a great decrease in enzymatic activity and bacterial metabolism [35]. Likewise, LA is lethal to microorganisms when undissociated molecules enter the cell through the cell membrane and ionize inside. Moreover, the acidic pH compromises enzymatic and protein activities, as well as induces DNA damage, disrupting the integrity of the bacteria membrane. Additionally, the LA can cause changes in cell membrane structure and permeability, leading to the leakage of the cellular content [37]. Likewise, the WK is also known for displaying a high cysteine content, and thus the wool waste also contributing to the antibacterial activity presented by the produced gel-based nanofibrous membranes [37].
Furthermore, it is important to emphasize that the percentages of bacterial reduction obtained are in accordance with the indications of the US FDA and their European counterparts, which consider that should be achieved a bacterial reduction of at least 99.99% to be considered as having antimicrobial properties [34].

4. Conclusions

Despite the tremendous efforts made in the textile industry, the generation of textile waste remain a serious problem. To overcome this situation, several studies have been focused on recycling and remanufacturing of these waste in order to produce new materials. Herein, a green and sustainable approach was used to dissolve the WK from textile with DES, a new class of natural, non-toxic, eco-friendly, and biodegradable solvents which have the unique ability to dissolve and regenerate WK. In addition, after confirming the potential of both ChCl : Urea and L-Cys : LA DES mixtures in the dissolution of the WK, the gels bases on DES-WK were for the first time directly prepared by electrospinning, without further extraction steps. For that purpose, and to suppress the challenge to electrospun the WK biopolymer, the PVA, a water-soluble and biodegradable polymer widely used for nanofiber production, was blended with the gels based on DES-WK in different ratios. The pH and the properties of the electrospinning solutions, like the electrical conductivity and the viscosity, were measured in order to evaluate their influence on the morphology and properties of the electrospun nanofibers. The results revealed that the L-Cys : LA DES containing the WK dissolved was more suitable to electrospun with the PVA, being observed uniform fibers particularly to the PVA/L-Cys : LA DES-WK 95/5. Besides, the FTIR spectra of the produced nanofibrous membranes presented the characteristic peaks of both PVA and the gel based on L-Cys : LA DES-WK, which indicates that the WK was preserved even after dissolution in the L-Cys : LA DES mixture. Moreover, the gel-based electrospun PVA/L-Cys : LA DES-WK nanofibrous membranes displayed remarkable antioxidant and antimicrobial properties. Hence, this study intends to find solutions to the textile sustainability and propose a cascading approach valorization strategy to dissolve WK and fabricate through electrospinning WK gel-based nanofibers with potential in many biomedical and other industrial applications.

Author Contributions

Investigation, analysis, writing—original draft preparation, C.M.; conceptualization, supervision, funding acquisition, writing—review and editing, I.C.G.; co-investigation and co-analysis, R.M. A.P.G, and I.C.G.. All authors have read and agreed to the published version of the manuscript.

Funding

This work was funded by the Portuguese Foundation for Science and Technology (FCT), I.P./MCTES through national funds (PIDDAC), in the scope of the FibEnTech Research Unit project (UIDB/00195/2020). It was also supported by the STVgoDigital project.

Data Availability Statement

Data that support the findings of this study are included in the article.

Conflicts of Interest

The authors declare no conflict of interest.

References

  1. Ben Seghir, B.; Hemmami, H.; Soumeia, Z.; Laouini, S.E.; Rebiai, A.; Amor, B.; Souici, I.; Beki, A. Preparation Methods Keratin and Nanoparticles Keratin from Wool: A Review. Algerian Journal of Chemical Engineering 2020, 01, 5–11. [Google Scholar] [CrossRef]
  2. Okoro, O.V.; Jafari, H.; Hobbi, P.; Nie, L.; Alimoradi, H.; Shavandi, A. Enhanced Keratin Extraction from Wool Waste Using a Deep Eutectic Solvent. Chemical Papers 2022, 76, 2637–2648. [Google Scholar] [CrossRef]
  3. Jiang, Z.; Yuan, J.; Wang, P.; Fan, X.; Xu, J.; Wang, Q.; Zhang, L. Dissolution and Regeneration of Wool Keratin in the Deep Eutectic Solvent of Choline Chloride-Urea. Int J Biol Macromol 2018, 119, 423–430. [Google Scholar] [CrossRef] [PubMed]
  4. Wang, D.; Tang, R.C. Dissolution of Wool in the Choline Chloride/Oxalic Acid Deep Eutectic Solvent. Mater Lett 2018, 231, 217–220. [Google Scholar] [CrossRef]
  5. Jablonský, M.; Škulcová, A.; Malvis, A.; Šima, J. Extraction of Value-Added Components from Food Industry Based and Agro-Forest Biowastes by Deep Eutectic Solvents. J Biotechnol 2018, 282, 46–66. [Google Scholar] [CrossRef]
  6. Rajabinejad, H.; Zoccola, M.; Patrucco, A.; Montarsolo, A.; Rovero, G.; Tonin, C. Physicochemical Properties of Keratin Extracted from Wool by Various Methods. Textile Research Journal 2018, 88, 2415–2424. [Google Scholar] [CrossRef]
  7. Moore, K.E.; Mangos, D.N.; Slattery, A.D.; Raston, C.L.; Boulos, R.A. Wool Deconstruction Using a Benign Eutectic Melt. RSC Adv 2016, 6, 20095–20101. [Google Scholar] [CrossRef]
  8. Xue, J.; Wu, T.; Dai, Y.; Xia, Y. Electrospinning and Electrospun Nanofibers: Methods, Materials, and Applications. Chem Rev 2019, 119, 5298. [Google Scholar] [CrossRef]
  9. Nadaf, A.; Gupta, A.; Hasan, N.; Fauziya, N.; Ahmad, S.; Kesharwani, P.; Ahmad, F.J. Recent Update on Electrospinning and Electrospun Nanofibers: Current Trends and Their Applications. RSC Adv 2022, 12, 23808–23828. [Google Scholar] [CrossRef]
  10. Zulkifli, M.Z.A.; Nordin, D.; Shaari, N.; Kamarudin, S.K. Overview of Electrospinning for Tissue Engineering Applications. Polymers 2023, Vol. 15, Page 2418 2023, 15, 2418. [Google Scholar] [CrossRef]
  11. Avossa, J.; Herwig, G.; Toncelli, C.; Itel, F.; Rossi, R.M. Electrospinning Based on Benign Solvents: Current Definitions, Implications and Strategies. Green Chemistry 2022, 24, 2347–2375. [Google Scholar] [CrossRef]
  12. Bongiovanni Abel, S.; Liverani, L.; Boccaccini, A.R.; Abraham, G.A. Effect of Benign Solvents Composition on Poly(ε-Caprolactone) Electrospun Fiber Properties. Mater Lett 2019, 245, 86–89. [Google Scholar] [CrossRef]
  13. Li, S.; Yang, X.H. Fabrication and Characterization of Electrospun Wool Keratin/Poly(Vinyl Alcohol) Blend Nanofibers. Advances in Materials Science and Engineering 2014, 2014. [Google Scholar] [CrossRef]
  14. Ma, H.; Shen, J.; Cao, J.; Wang, D.; Yue, B.; Mao, Z.; Wu, W.; Zhang, H. Fabrication of Wool Keratin/Polyethylene Oxide Nano-Membrane from Wool Fabric Waste. J Clean Prod 2017, 161, 357–361. [Google Scholar] [CrossRef]
  15. Aluigi, A.; Vineis, C.; Tonin, C.; Tonetti, C.; Varesano, A.; Mazzuchetti, G. Wool Keratin-Based Nanofibres for Active Filtration of Air and Water. J Biobased Mater Bioenergy 2009, 3, 311–319. [Google Scholar] [CrossRef]
  16. Wang, Y.; Wang, Y.; Li, L.; Zhang, Y.; Ren, X. Preparation of Antibacterial Biocompatible Polycaprolactone/Keratin Nanofibrous Mats by Electrospinning. J Appl Polym Sci 2021, 138, 49862. [Google Scholar] [CrossRef]
  17. Fatahian, R.; Mirjalili, M.; Khajavi, R.; Rahimi, M.K.; Nasirizadeh, N. Effect of Electrospinning Parameters on Production of Polyvinyl Alcohol/Polylactic Acid Nanofiber Using a Mutual Solvent. Polymers and Polymer Composites 2021, 29, S844–S856. [Google Scholar] [CrossRef]
  18. Hu, X.; Wang, X.; Li, S.; Zhou, W.; Song, W. Antibacterial Electrospun Polyvinyl Alcohol Nanofibers Encapsulating Berberine-Hydroxypropyl-β-Cyclodextrin Inclusion Complex. J Drug Deliv Sci Technol 2021, 64, 102649. [Google Scholar] [CrossRef]
  19. Ezati, P.; Khan, A.; Rhim, J.W. Cellulose Nanofiber-Based PH Indicator Integrated with Resazurin-Modified Carbon Dots for Real-Time Monitoring of Food Freshness. Food Biosci 2023, 53, 102679. [Google Scholar] [CrossRef]
  20. Labadie, M.; Randrianjatovo-Gbalou, I.; Zaidi-Ait-Salem, M.; Dossat-Létisse, V.; Fontagné-Faucher, C.; Marcato-Romain, C.E. A Dynamic Resazurin Microassay Allowing Accurate Quantification of Cells and Suitable for Acid-Forming Bacteria. J Microbiol Methods 2021, 183, 106172. [Google Scholar] [CrossRef]
  21. Vieira Sanches, M.; Freitas, R.; Oliva, M.; Mero, A.; De Marchi, L.; Cuccaro, A.; Fumagalli, G.; Mezzetta, A.; Colombo Dugoni, G.; Ferro, M.; et al. Are Natural Deep Eutectic Solvents Always a Sustainable Option? A Bioassay-Based Study. Environmental Science and Pollution Research 2023, 30, 17268–17279. [Google Scholar] [CrossRef]
  22. Shekaari, H.; Zafarani-Moattar, M.T.; Mokhtarpour, M.; Faraji, S. Solubility of Hesperidin Drug in Aqueous Biodegradable Acidic Choline Chloride-Based Deep Eutectic Solvents. Scientific Reports 2023 13:1 2023, 13, 1–11. [Google Scholar] [CrossRef] [PubMed]
  23. Tam, N.; Oguz, S.; Aydogdu, A.; Sumnu, G.; Sahin, S. Influence of Solution Properties and PH on the Fabrication of Electrospun Lentil Flour/HPMC Blend Nanofibers. Food Research International 2017, 102, 616–624. [Google Scholar] [CrossRef] [PubMed]
  24. Saxena, S.K. POLYVINYL ALCOHOL (PVA) Chemical and Technical Assessment (CTA) First Draft Prepared By. Chemical and Technical Assessment 61st JECFA 2004, 1. [Google Scholar]
  25. Keirouz, A.; Wang, Z.; Reddy, V.S.; Nagy, Z.K.; Vass, P.; Buzgo, M.; Ramakrishna, S.; Radacsi, N. The History of Electrospinning: Past, Present, and Future Developments. Adv Mater Technol 2023, 8, 2201723. [Google Scholar] [CrossRef]
  26. Sharma, G.K.; James, N.R.; Sharma, G.K.; James, N.R. Electrospinning: The Technique and Applications. Recent Developments in Nanofibers Research 2022. [Google Scholar] [CrossRef]
  27. Yalcinkaya, F.; Yalcinkaya, B.; Jirsak, O.; Yalcinkaya, F.; Yalcinkaya, B.; Jirsak, O. Dependent and Independent Parameters of Needleless Electrospinning. Vlakna a Textil 2016, 2015, 75–79. [Google Scholar] [CrossRef]
  28. Supaphol, P.; Chuangchote, S. On the Electrospinning of Poly(Vinyl Alcohol) Nanofiber Mats: A Revisit. J Appl Polym Sci 2008, 108, 969–978. [Google Scholar] [CrossRef]
  29. Gazioglu Ruzgar, D.; Altun Kurtoglu, S.; Bhullar, S.K. A Study on Extraction and Characterization of Keratin Films and Nanofibers from Waste Wool Fiber. Journal of Natural Fibers 2020, 17, 427–436. [Google Scholar] [CrossRef]
  30. Teixeira, M.A.; Amorim, M.T.P.; Felgueiras, H.P. Poly(Vinyl Alcohol)-Based Nanofibrous Electrospun Scaffolds for Tissue Engineering Applications. Polymers (Basel) 2020, 12. [Google Scholar] [CrossRef]
  31. Riyadh, S.M.; Khalil, K.D.; Bashal, A.H. Structural Properties and Catalytic Activity of Binary Poly (Vinyl Alcohol)/Al2O3 Nanocomposite Film for Synthesis of Thiazoles. Catalysts 2020, Vol. 10, Page 100 2020, 10, 100. [Google Scholar] [CrossRef]
  32. Tang, W.; Wang, B.; Li, J.; Li, Y.; Zhang, Y.; Quan, H.; Huang, Z. Facile Pyrolysis Synthesis of Ionic Liquid Capped Carbon Dots and Subsequent Application as the Water-Based Lubricant Additives. J Mater Sci 2019, 54, 1171–1183. [Google Scholar] [CrossRef]
  33. Amorim, L.F.A.; Fangueiro, R.; Gouveia, I.C. Characterization of Bioactive Colored Materials Produced from Bacterial Cellulose and Bacterial Pigments. Materials 2022, Vol. 15, Page 2069 2022, 15, 2069. [Google Scholar] [CrossRef] [PubMed]
  34. Martins, R.; Mouro, C.; Pontes, R.; Nunes, J.; Gouveia, I. Natural Deep Eutectic Solvent Extraction of Bioactive Pigments from Spirulina Platensis and Electrospinning Ability Assessment. Polymers (Basel) 2023, 15, 1574. [Google Scholar] [CrossRef]
  35. Nogueira, F.; Granadeiro, L.; Mouro, C.; Gouveia, I.C. Antimicrobial and Antioxidant Surface Modification toward a New Silk-Fibroin (SF)-l-Cysteine Material for Skin Disease Management. Appl Surf Sci 2016, 364, 552–559. [Google Scholar] [CrossRef]
  36. Hu, Y.; Zhao, Y.; Jia, X.; Liu, D.; Huang, X.; Wang, C.; Zhu, Y.; Yue, C.; Deng, S.; Lyu, Y. Lactic Acid Bacteria with a Strong Antioxidant Function Isolated from “Jiangshui,” Pickles, and Feces. Front Microbiol 2023, 14. [Google Scholar] [CrossRef] [PubMed]
  37. Giteru, S.G.; Ramsey, D.H.; Hou, Y.; Cong, L.; Mohan, A.; Bekhit, A.E.D.A. Wool Keratin as a Novel Alternative Protein: A Comprehensive Review of Extraction, Purification, Nutrition, Safety, and Food Applications. Compr Rev Food Sci Food Saf 2023, 22, 643–687. [Google Scholar] [CrossRef] [PubMed]
Figure 1. Schematic overview of the fabrication process of the gel-based electrospun PVA/DES-WK nanofibrous membranes.
Figure 1. Schematic overview of the fabrication process of the gel-based electrospun PVA/DES-WK nanofibrous membranes.
Preprints 80198 g001
Figure 2. Determination of the minimum inhibitory concentration (MIC) of the ChCl : Urea DES and ChCl : Urea DES-WK (a); L-Cys : LA DES and L-Cys : LA DES-WK (b) against Staphylococcus aureus (S. aureus) and Klebsiella pneumoniae (K. pneumoniae) by resazurin-based 96-well plate microdilution assay.
Figure 2. Determination of the minimum inhibitory concentration (MIC) of the ChCl : Urea DES and ChCl : Urea DES-WK (a); L-Cys : LA DES and L-Cys : LA DES-WK (b) against Staphylococcus aureus (S. aureus) and Klebsiella pneumoniae (K. pneumoniae) by resazurin-based 96-well plate microdilution assay.
Preprints 80198 g002
Figure 3. pH measurements of the PVA/L-Cys : LA DES-WK blend gel solutions (a) and PVA/ ChCl : Urea DES-WK blend gel solutions (b), as well as the raw PVA and the gels based on DES-WK mixtures.
Figure 3. pH measurements of the PVA/L-Cys : LA DES-WK blend gel solutions (a) and PVA/ ChCl : Urea DES-WK blend gel solutions (b), as well as the raw PVA and the gels based on DES-WK mixtures.
Preprints 80198 g003
Figure 4. Electrical conductivity measurements of the PVA/L-Cys : LA DES-WK blend gel solutions (a) and PVA/ ChCl : Urea DES-WK blend gel solutions (b), as well as the raw PVA and the gels based on DES-WK mixtures.
Figure 4. Electrical conductivity measurements of the PVA/L-Cys : LA DES-WK blend gel solutions (a) and PVA/ ChCl : Urea DES-WK blend gel solutions (b), as well as the raw PVA and the gels based on DES-WK mixtures.
Preprints 80198 g004
Figure 5. Viscosity measurements of the PVA/L-Cys : LA DES-WK blend gel solutions (a) and PVA/ ChCl : Urea DES-WK blend gel solutions (b), as well as the raw PVA and gels based on DES-WK mixtures.
Figure 5. Viscosity measurements of the PVA/L-Cys : LA DES-WK blend gel solutions (a) and PVA/ ChCl : Urea DES-WK blend gel solutions (b), as well as the raw PVA and gels based on DES-WK mixtures.
Preprints 80198 g005
Figure 6. SEM images and fiber diameters distribution of the produced gel-based electrospun PVA/DES-WK nanofibrous membranes.
Figure 6. SEM images and fiber diameters distribution of the produced gel-based electrospun PVA/DES-WK nanofibrous membranes.
Preprints 80198 g006
Figure 7. FTIR of the produced electrospun nanofibrous membranes and their raw materials: PVA (a), PVA/L-Cys : LA DES-WK 95/5 (b), PVA/L-Cys : LA DES-WK 90/10 (c), PVA/L-Cys : LA DES-WK 80/20 (d), PVA/L-Cys : LA DES-WK 70/30 (e), and L-Cys : LA DES-WK (f).
Figure 7. FTIR of the produced electrospun nanofibrous membranes and their raw materials: PVA (a), PVA/L-Cys : LA DES-WK 95/5 (b), PVA/L-Cys : LA DES-WK 90/10 (c), PVA/L-Cys : LA DES-WK 80/20 (d), PVA/L-Cys : LA DES-WK 70/30 (e), and L-Cys : LA DES-WK (f).
Preprints 80198 g007
Figure 8. Schematic representation of the antioxidant activity of the produced gel-based electrospun PVA/L-Cys : LA DES-WK nanofibrous membranes. (Data are presented as the mean ± standard deviation, ****p < 0.0001).
Figure 8. Schematic representation of the antioxidant activity of the produced gel-based electrospun PVA/L-Cys : LA DES-WK nanofibrous membranes. (Data are presented as the mean ± standard deviation, ****p < 0.0001).
Preprints 80198 g008
Figure 9. Schematic representation of the antibacterial activity of the produced gel-based electrospun PVA/L-Cys : LA DES-WK nanofibrous membranes.
Figure 9. Schematic representation of the antibacterial activity of the produced gel-based electrospun PVA/L-Cys : LA DES-WK nanofibrous membranes.
Preprints 80198 g009
Table 1. Solubility of the wool keratin (WK) in the DES mixtures.
Table 1. Solubility of the wool keratin (WK) in the DES mixtures.
DES mixture Time (h) T (° C) Solubility (%)
ChCl : Urea molar ratio 1 : 2 3 130 42.88 ± 0.83
1.6 g L-Cys in 20 mL LA 3 130 68.83 ± 5.10
Table 2. Matches found by LabSolutionsIR library for all nanofibers produced.
Table 2. Matches found by LabSolutionsIR library for all nanofibers produced.
Sample Degree of confidence Corresponding Polymer/Solvent
PVA 855 - Medium PVA
PVA/L-Cys LA DES-WK 95/5 825 - Medium PVA
PVA/L-Cys LA DES-WK 90/10 786 – Medium Ethyl Lactate
PVA/L-Cys LA DES-WK 80/20 805 – Medium Ethyl Lactate
PVA/L-Cys LA DES-WK 70/30 752 – Medium Ethyl Lactate
L-Cys LA DES-WK 758 – Medium Ethyl Lactate
Table 3. Characterization of the mechanical properties of the produced gel-based electrospun PVA/L-Cys : LA DES-WK nanofibrous membranes and associated PVA raw material.
Table 3. Characterization of the mechanical properties of the produced gel-based electrospun PVA/L-Cys : LA DES-WK nanofibrous membranes and associated PVA raw material.
Tensile Strength (MPa) Young’s modulus (MPa) Elongation at break (%) Thickness (mm)
PVA 8.18 ± 1.25 45.04 ± 3.58 18.34 ± 3.97 0.174 ± 0.02
PVA/ L-Cys : LA DES-WK 95/5 4.19 ± 0.96 22.24 ± 3.00 19.28 ± 8.05 0.292 ± 0.01
PVA/ L-Cys : LA DES-WK 90/10 4.43 ± 1.14 27.01 ± 0.18 16.40 ± 5.99 0.210 ± 0.02
PVA/ L-Cys : LA DES-WK 80/20 * - - - -
PVA/ L-Cys : LA DES-WK 70/30 * - - - -
* It was not possible to remove the nanofibers from the collector due to their poor quality.
Table 4. Antibacterial efficiency of the electrospun gel-based PVA/L-Cys : LA DES-WK nanofibrous membranes against S. aureus and K. pneumoniae expressed in percentage of bacterial reduction (%R).
Table 4. Antibacterial efficiency of the electrospun gel-based PVA/L-Cys : LA DES-WK nanofibrous membranes against S. aureus and K. pneumoniae expressed in percentage of bacterial reduction (%R).
S. aureus K. pneumoniae
Samples CFU/mL Growth Reduction (%) CFU/mL Growth Reduction (%R)
PVA 0h 7.25×103 - 0h 3.63×104 -
24h 3.02×108 - 24h 2.94×108 -
PVA/L-Cys: LA DES-WK 95/5 0.00×100 100.00% 0.00×100 100.00%
PVA/L-Cys: LA DES-WK 90/10 0.00×100 100.00% 0.00×100 100.00%
PVA/L-Cys: LA DES-WK 80/20 0.00×100 100.00% 0.00×100 100.00%
PVA/L-Cys: LA DES-WK 70/30 0.00×100 100.00% 0.00×100 100.00%
Disclaimer/Publisher’s Note: The statements, opinions and data contained in all publications are solely those of the individual author(s) and contributor(s) and not of MDPI and/or the editor(s). MDPI and/or the editor(s) disclaim responsibility for any injury to people or property resulting from any ideas, methods, instructions or products referred to in the content.
Copyright: This open access article is published under a Creative Commons CC BY 4.0 license, which permit the free download, distribution, and reuse, provided that the author and preprint are cited in any reuse.
Prerpints.org logo

Preprints.org is a free preprint server supported by MDPI in Basel, Switzerland.

Subscribe

Disclaimer

Terms of Use

Privacy Policy

Privacy Settings

© 2026 MDPI (Basel, Switzerland) unless otherwise stated