Submitted:
07 July 2023
Posted:
10 July 2023
You are already at the latest version
Abstract
Keywords:
1. Introduction
2. Materials and Methods
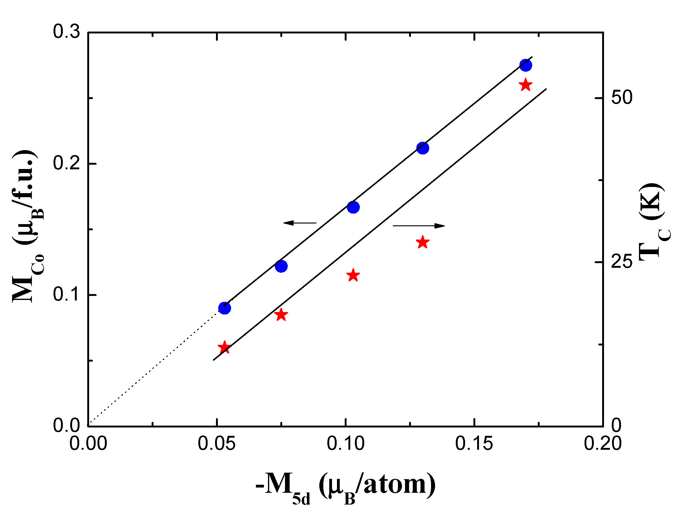
3. Results and Discussions
4. Conclusions
Author Contributions
Funding
Data Availability Statement
Conflicts of Interest
References
- Niihara, Koichi; Yajima, S. The Preparation and Crystal Structure of Ternary Rare Earth Borides, RCo3B2. Bull. Chem. Soc. Jpn. 1973, 46, 770–774. [Google Scholar] [CrossRef]
- Dubman, M.; Caspi, E.N.; Ettedgui, H.; Keller, L.; Melamud, M.; Shaked, H. Magnetic Ordering and Spin-Reorientation Transitions in Tb Co3 B2. Phys. Rev. B - Condens. Matter Mater. Phys. 2005, 72, 024446. [Google Scholar] [CrossRef]
- Sigalov, O.; Shames, A.I.; Caspi, E.N.; Dubman, M.; Ettedgui, H.; Goren, S.D.; Shaked, H. Magnetic Phase Transition in YCo3B2 Studied by Magnetic Resonance. J. Appl. Phys. 2005, 98, 74105. [Google Scholar] [CrossRef]
- Ido, H.; Yamauchi, H.; Cheng, S.F.; Sankar, S.G.; Wallace, W.E. Magnetic Properties of the Y1−xGdxCo3B2 System. J. Appl. Phys. 1991, 70, 6540–6542. [Google Scholar] [CrossRef]
- Ido, H.; Nanjo, M.; Yamada, M. Magnetic Susceptibility of RCo3B2 (R=Y, Sm, Gd, and Dy). J. Appl. Phys. 1994, 75, 7140–7142. [Google Scholar] [CrossRef]
- Caspi, E.N.; Pinto, H.; Kuznietz, M.; Ettedgui, H.; Melamud, M.; Felner, I.; Shaked, H. Magnetic Properties of TbCo3B2 Studied by Neutron Diffraction, Magnetization, and Ac-Susceptibility Measurements. J. Appl. Phys. 1998, 83, 6733–6735. [Google Scholar] [CrossRef]
- Caspi, E.N.; Dubman, M.; Ettedgui, H.; Shakedb, H.; Short, S.; Jorgensen, J.D. . Magnetic and Crystallographic Properties of HoCo3B2. Phys. B Condens. Matter 2005, 359–361, 944–946. [Google Scholar]
- Ballou, R.; Burzo, E.; Pop, V. Magnetic Properties of (GdxY1 − x)Co3B2 Compounds. J. Magn. Magn. Mater. 1995, 140–144, 945–946. [Google Scholar] [CrossRef]
- Burzo, E.; Vlaic, P. , Pop, V.; Creanga, I.. Magnetic Properties and Electronic Structures of YCo3-XNixB2 Compounds. J. Optoelectron. Adv. Mater. 2006, 8, 484–486. [Google Scholar]
- Burzo, E.; Lemaire, R. On the Magnetic Behaviour of RCo2 Compounds Where R Is Yttrium or a Rare-Earth. Solid State Commun. 1992, 84, 1145–1148. [Google Scholar] [CrossRef]
- Moriya, T. Recent Progress in the Theory of Itinerant Electron Magnetism. J. Magn. Magn. Mater. 1979, 14, 1–46. [Google Scholar] [CrossRef]
- Oesterreicher, H.; Parker, F.T.; Misroch, M. Magnetic Studies on RCo3B2 (R=Sm, Gd, Er). Appl. Phys. 1977, 12, 287–292. [Google Scholar] [CrossRef]
- Kapusta, C.; Rosenberg, M.; Buschow, K.H.J. Nuclear Magnetic Resonance Study of the RE(Co, B)5-Type Compounds (RE Y, Gd). J. Alloys Compd. 1992, 187, 409–422. [Google Scholar] [CrossRef]
- Ido, H.; Nashima, O.; Ito, T.; Kaneda, T.; Saito, Y.; Konno, K.; Yoshida, H.; Motokawa, M. Magnetic Properties of RCo3B2 (R=rare Earth) Compounds. J. Appl. Phys. 1999, 85, 4865–4867. [Google Scholar] [CrossRef]
- Li, L.; Nishimura, K.; Huo, D.; Qian, Z.; Namiki, T. Critical Behaviour of the RCo3B2 (R = Gd, Tb and Dy) Compounds. J. Alloys Compd. 2013, 572, 205–208. [Google Scholar] [CrossRef]
- Li, L.; Nishimura, K.; Igawa, H.; Huo, D. Magnetic Properties and Magnetocaloric Effect in GdCo3B2 Compound. J. Alloys Compd. 2011, 509, 4198–4200. [Google Scholar] [CrossRef]
- Malik, S.K.; Umarji, A.M.; Shenoy, G.K. Magnetic and Mössbauer Studies on GdCo3B2 and DyCo3B2. J. Appl. Phys. 1985, 57, 3252–3254. [Google Scholar] [CrossRef]
- Li, L.; Huo, D.; Igawa, H.; Nishimura, K. Large Magnetocaloric Effect in TbCo3B2 Compound. J. Alloys Compd. 2011, 509, 1796–1799. [Google Scholar] [CrossRef]
- Rivin, O.; Shaked, H.; Gukasov, A.; Caspi, E.N. Long-Range and Short-Range Magnetic Order in the Singlet Ground State System TbCo 3 B 2. Phys. Rev. B 2014, 89, 174423. [Google Scholar] [CrossRef]
- Wolfson, E.J.; Caspi, E.N.; Ettedgui, H.; Shaked, H.; Avdeev, M. The Effect of Non-Magnetic Dilution of the Tb Sublattice in TbCo 3 B 2. J. Phys. Condens. Matter 2010, 22, 026001. [Google Scholar] [CrossRef]
- Toliński, T.; Falkowski, M.; Kowalczyk, A.; Synoradzki, K. Magnetocaloric Effect in the Ternary DyCo3B2 Compound. Solid State Sci. 2011, 13, 1865–1868. [Google Scholar] [CrossRef]
- Li, L.; Igawa, H.; Nishimura, K.; Huo, D. Study of the Magnetic Transition and Large Magnetocaloric Effect in DyCo3B2 Compound. J. Appl. Phys. 2011, 109, 83901. [Google Scholar] [CrossRef]
- Smardz, L.; Jezierski, A.; Kowalczyk, A. Electronic Properties of DyCo3B2 Compound. J. Magn. Magn. Mater. 1999, 205, 209–214. [Google Scholar] [CrossRef]
- Zheng, X.Q.; Xu, J.W.; Zhang, H.; Zhang, J.Y.; Wang, S.G.; Zhang, Y.; Xu, Z.Y.; Wang, L.C.; Shen, B.G. Magnetic Properties and Magnetocaloric Effect of HoCo3B2 Compound. AIP Adv. 2018, 8, 56432. [Google Scholar] [CrossRef]
- Miyagawa, H. . W.Y.; H.N.. S.Y.. N.S.. Magnetic Compton Profiles of DyCo4B and DyCo3B 2. J. Phys. IV Fr. 2003, 104, 503–506. [Google Scholar]
- Burzo, E. Rare Earths-Transition Metals-Boron Compounds; Switzerland, S.N., Ed.; 2023; ISBN 978-3-030-99245-3.
- “Vlaic, P.; “Burzo Babes-Bolyai Univ., 3400 Cluj-Napoca (Romania)],” E. [Faculty of P. Electronic Structures and Magnetic Properties of RN+1Co3n+5B2n (n=0, 1, 2, 3 and ∞) Compounds with R=Y and Gd. 2002, 1. https://doi.org/2. Eur. Phys. J. B 2013, 86, 489. [CrossRef]
- Bartolomé, F.; Bonilla, C.M.; Herrero-Albillos, J.; Calvo-Almazán, I.; Castán, C.; Weschke, E.; Schmitz, D.; Paudyal, D.; Mudryk, Y.; Pecharsky, V.; et al. Short-Range Magnetic Correlations and Parimagnetism in RCo2. Eur. Phys. J. B 2013, 86, 489. [CrossRef]
- Bates, L.F. Modern Magnetism, Cambridge Univ.Press, Cambridge. 1951. [Google Scholar]
- Andersen, O.K. Linear Methods in Band Theory. Phys. Rev. B 1975, 12, 3060–3083. [Google Scholar] [CrossRef]
- Andersen, O.K.; Jepsen, O. Explicit, First-Principles Tight-Binding Theory. Phys. Rev. Lett. 1984, 53, 2571–2574. [Google Scholar] [CrossRef]
- Skriver, H.L. The LMTO Method: Muffin-Tin Orbitals and Electronic StructureNo Title; The LMTO Method, Springer, N.Y., Ed. 1984. [Google Scholar]
- Barth, U. von; Hedin, L. A Local Exchange-Correlation Potential for the Spin Polarized Case. I. J. Phys. C Solid State Phys. 1972, 5, 1629–1642. [Google Scholar] [CrossRef]
- Campbell, I.A. Indirect Exchange for Rare Earths in Metals. J. Phys. F Met. Phys. 1972, 2, L47–L50. [Google Scholar] [CrossRef]
- Burzo, E.; Chioncel, L.; Tetean, R.; Isnard, O. On the R 5d Band Polarization in Rare-Earth–Transition Metal Compounds. J. Phys. Condens. Matter 2011, 23, 026001. [Google Scholar] [CrossRef]
- Burzo, E.; Vlaic, P.; Kozlenko, D.P.; Rutkauskas, A. V High-Pressure Neutron Diffraction Study of RCo2 Compounds. J. Phys. Chem. Solids 2022, 160, 110330. [Google Scholar] [CrossRef]
- Brooks, M.S.S.; Gasche, T.; Auluck, S.; Nordström, L.; Severin, L.; Trygg, J.; Johansson, B. Ab Initio Calculation of Molecular Field Interactions in Rare-earth Transition-metal Intermetallics (Invited). J. Appl. Phys. 1991, 70, 5972–5976. [Google Scholar] [CrossRef]
- Vonsovski, G.V. Magnetism Vol. 2. In; Wiley and Sons Publ., N.Y., Ed.; 1974; p. 626.
- Burzo, E.; Chioncel, L.; Costina, I.; Chiuzbăian, S.G. Electronic Structure and Magnetic Properties of Gd x La 1− x Ni 5 System. J. Phys. Condens. Matter 2006, 18, 4861–4877. [Google Scholar] [CrossRef]
- Burzo, E.; Chioncel, L. . Reminiscent Rare-Earth Cobalt Magnetic Couplings above the Curie Temperature and Spin Fluctuations in RCo2 Compounds. Rom. Repts. Phys. 2022, 74, 501. [Google Scholar]
- Perthold, W.; Hong, N.M.; Michor, H.; Hilscher, G.; Ido, H.; Asano, H. Specific Heat of RCo3B2 (R = Y, Sm, Gd, Dy, Lu). J. Magn. Magn. Mater. 1996, 157–158, 649–650. [Google Scholar] [CrossRef]
- Grüneisen, E. Theorie Des Festen Zustandes Einatomiger Elemente. Ann.Phys 1912, 39, 257–306. [Google Scholar] [CrossRef]
- Zhu, L.; Garst, M.; Rosch, A.; Si, Q. Universally Diverging Grüneisen Parameter and the Magnetocaloric Effect Close to Quantum Critical Points. Phys. Rev. Lett. 2003, 91, 066404. [Google Scholar] [CrossRef]
- Küchler, R.; Gegenwart, P.; Geibel, C.; Steglich, F. Systematic Study of the Grüneisen Ratio near Quantum Critical Points. Sci. Technol. Adv. Mater. 2007, 8, 428–433. [Google Scholar] [CrossRef]
- Burzo, E. Exchange Interactions in Heavy Rare-Earths RCo 2 Compounds. J. Phys. Conf. Ser. 2017, 848, 012004. [Google Scholar] [CrossRef]
- Burzo, E.; Chioncel, L. . On the Magnetic Behavior of Heavy Rare-Earths RCo2 Compounds. Rom J. Phys. 2018, 62, 601. [Google Scholar]
- Herrero-Albillos, J.; Bartolomé, F.; García, L.M.; Young, A.T.; Funk, T.; Campo, J.; Cuello, G.J. Observation of a Different Magnetic Disorder in ErCo 2. Phys. Rev. B 2007, 76, 094409. [Google Scholar] [CrossRef]
- Gignoux, D.; Givord, F. Polarised Neutron Study of TbCo2. J. Phys. F Met. Phys. 1979, 9, 1409–1419. [Google Scholar] [CrossRef]
- Gignoux, D.; Givord, F.; Koehler, W.C. Determination of Cobalt Behavior in TmCo2 and HoCo2 by Means of Polarized Neutron Diffraction. Phys. B+C 1977, 86–88, 165–166. [Google Scholar] [CrossRef]
- Gignoux, D.; Givord, D.; Givord, F.; Koehler, W.C.; Moon, R.M. Polarized-Neutron Study of Tm Co 2. Phys. Rev. B 1976, 14, 162–171. [Google Scholar] [CrossRef]
- Gignoux, D.; Givord, F.; Koehler, W.C.; Moon, R.M. . Field Induced Magnetic Density in the Paramagnetic Compound LuCo2. J. Magn. Magn. Mater. 1977, 5, 172–175. [Google Scholar] [CrossRef]






| R | Lattice parameters (nm) | Magnetization (μB/f.u.) | C (emuK/f.u.) |
Meff (Co) (μB/atom) | |||
|---|---|---|---|---|---|---|---|
| a | c | M4.2a) | M0b) | Ctotal | CCo | ||
| Gd | 0.5058 | 0.3020 | 6.42 | 6.54 | 8.63 | 0.74 | 1.40 |
| Tb | 0.5051 | 0.3007 | 6.03 | 7.73 | 12.70 | 0.88 | 1.53 |
| Dy | 0.5029 | 0.3020 | 8.23 | 9.44 | 15.10 | 0.96 | 1.60 |
| Ho | 0.520 | 0.3023 | 8.57 | 9.76 | 14.61 | 0.48 | 1.13 |
| Er | 0.5004 | 0.3023 | 8.37 | 8.90 | 12.72 | 1.28 | 1.84 |
| Y | 0.5032 | 0.3025 | - | - | 0.674 | 0.674 | 1.34 |
Disclaimer/Publisher’s Note: The statements, opinions and data contained in all publications are solely those of the individual author(s) and contributor(s) and not of MDPI and/or the editor(s). MDPI and/or the editor(s) disclaim responsibility for any injury to people or property resulting from any ideas, methods, instructions or products referred to in the content. |
© 2023 by the authors. Licensee MDPI, Basel, Switzerland. This article is an open access article distributed under the terms and conditions of the Creative Commons Attribution (CC BY) license (http://creativecommons.org/licenses/by/4.0/).