Submitted:
28 June 2023
Posted:
28 June 2023
You are already at the latest version
Abstract
Keywords:
Introduction
1. Analysis
1.2. Energy Balance
1.3. Electric Resistivity
1.4. Heat Transfer Model
1.5. Boundary Conditions. Problems P1 and P2.
1.6. The Electrothermal Model in Dimensionless Form
1.7. Stability
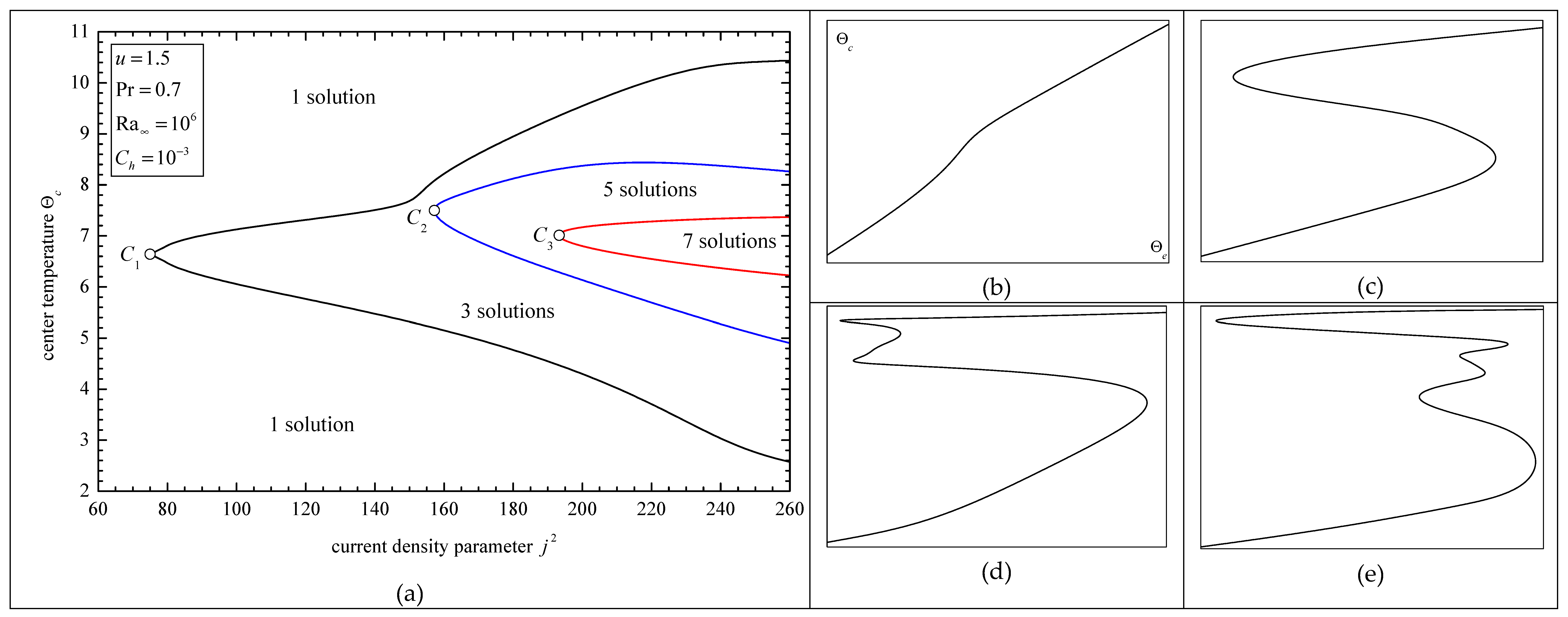
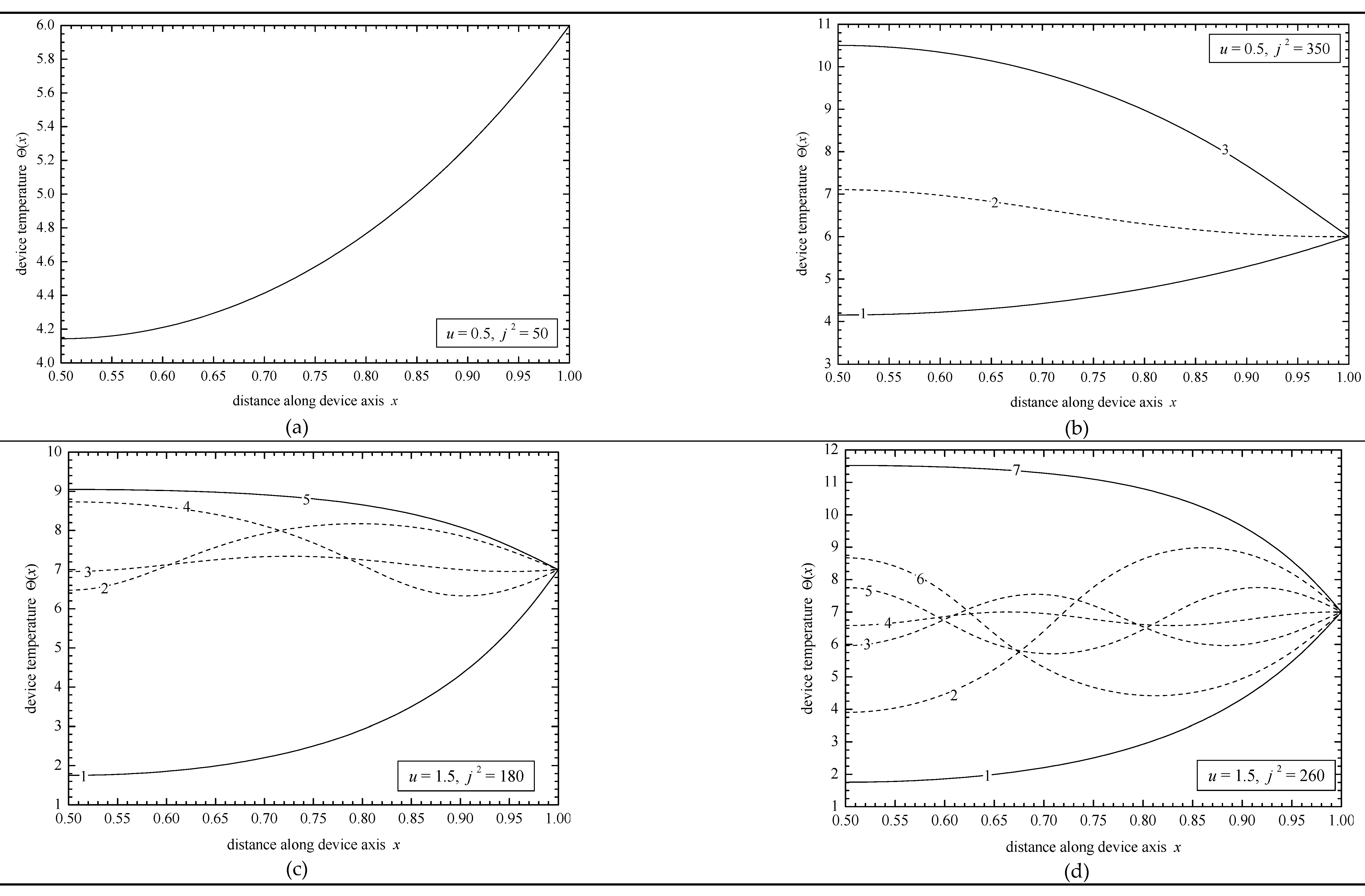
2. Results and Discussion
2.1. Problem P1
2.2. Problem P2
3. Conclusions
Nomenclature
| A | cross sectional area | [m2] |
| C | specific heat capacity | [J/(kgK)] |
| D | device diameter | [m] |
| E | electric field intensity | [V/m] |
| f | function of Prandtl number in Equation (3) | [-] |
| g | acceleration due to gravity | [-] |
| convective heat transfer coefficient | [W/(m2K)] | |
| radiative heat transfer coefficient | [W/(m2K)] | |
| j | current density parameter | [-] |
| J | current density | [A/m2] |
| k | thermal conductivity | [W/(mK)] |
| L | device length | [m] |
| Nu | Nusselt number, Equation (3) | [-] |
| P | perimetry | [m] |
| Pr | Prandtl number, Equation (3) | [-] |
| Ra | Rayleigh number, Equation (4) | [-] |
| t | time | [sec] |
| T | temperature | [K] |
| u | conduction-convection parameter | [-] |
| x | dimensionless distance | [-] |
| X | longitudinal distance along device | [m] |
- Greek Symbols
| α | thermal diffusivity | [m2/s] |
| β | thermal expansivity | [K-1] |
| γ | material density | [kg/m3] |
| ε | emissivity | [-] |
| Θ | dimensionless temperature | [-] |
| λ | eigenvalue | [-] |
| ν | kinematic viscosity | [m2/s] |
| ρ | reduced electric resistivity | [-] |
| electric resistivity | [Ω m] | |
| σ | Stefan-Boltzmann constant | [Wm-2K-4] |
| τ | dimensionless time | [-] |
- Subscripts
| b | position at |
| c | position at |
| e | position at |
| ref | reference value |
| s | steady state |
| ∞ | ambient environment |
- Superscripts
| derivative with respect to x |
- Abbreviations
| CCP | Conduction-Convection Parameter |
| NTC | Negative Temperature Coefficient |
| PTC | Positive Temperature Coefficient |
References
- T. G. Glaggett, R. W. Worrall, B. G. Lipták and P. M. B. Silva Girão, Thermistors, in: B. G. Lipták (Editor), Instrument Engineers’ Handbook, Process Measurement and Analysis, Vol 1, CRC Press, 4th ed., 2003, pp. 66-672.
- J. Fraden, Handbook of Modern Sensors. Physics, Designs and Applications, (2004), 3rd ed., AIP Press, New York, pp. 477-481.
- M. Sapoff, Thermistor Thermometers, in: J. G. Webster (Editor), The Measurement, Instrumentation and Sensors Handbook, CRC Press/IEEE Press, 1999.
- C. Dewitte, R. Elst and F. Delannay (1994) “On the mechanism of delamination fracture of BaTiO3-based PTC thermistors”, J. Eur. Ceram. Soc. 14, pp. 481-492.
- P. Supancic (2000) “Mechanical stability of BaTiO3-based PTC thermistors components: experimental investigation and theoretical modeling”, J. Eur. Ceram. Soc. 20(12), pp. 2009-2024.
- H. Diesselhorst (1900) “Uber das Probleme das Electrisch Erwärmter Leiter”, Ann. Phys. 1, pp. 312-325.
- G. Cimatti (1989) “Remark on existence and uniqueness for the thermistor problem under mixed boundary conditions”, Quart. Appl. Math. 47, pp. 117-121.
- G. Cimatti (1988) “A bound for temperature in thermistor problem”, IMA J. Appl. Math. 40, pp. 15-22.
- G. Cimatti and G. Prodi (1988) “Existence results for a nonlinear elliptic system modeling a temperature dependent electrical resistor”, Ann Mat. Pure Appl. 152, pp. 227-236.
- H. Xie and W. Allegretto (1991) “Cα(Ω) solutions of a class of nonlinear degenerate elliptic systems arising in the thermistor problem”, SIAM J. Math. Anal. 22, pp. 1491-1499.
- S. N. Antontsev and M. Chipot (1994) “The Thermistor Problem: Existence, smoothness, uniqueness, blowup”, SIAM J. Math. Anal. 25, pp. 1128-1156.
- A.R. Bahadir (2002) “Steady state solution of the PTC thermistor using a quadratic spline finite element method”, Mathematical Methods in Engineering 8(2), pp. 101-109.
- R. Bahadir (2004) “Application of cubic B-spine finite element technique to the thermistor problem”, Applied Mathematics and Computation 149, pp. 379-387.
- S. Çatal (2004) “Numerical solution of the thermistor problem”, Applied Mathematics and Computation 152, pp. 743-757.
- S. Kutluay, A. S. S. Kutluay, A. S. Wood and A. Esen (2006) “A heat balance integral solution of the thermistor with a modified electrical conductivity”, Applied Mathematical Modelling 30, pp. 386-394.
- M. R. S. Ammi and D. F. M. Torres (2008) “Numerical analysis of a nonlocal parabolic problem resulting from thermistor problem”, Mathematics and Computers in Simulation 77, pp. 291-300.
- O. Golosnoy and J. K. Sykulski (2009) “Numerical modeling of non-linear coupled thermo-electric problems. A comparative study”, International Journal for Computation and Mathematics in Electrical and Electronic Engineering 28(3), pp. 639-655.
- E. G. Karpov (2012) “Bistability, autowaves and dissipative structures in semiconductor fibers with anomalous resistivity properties”, Philosophical Magazine 92(10), pp. 1300-1316.
- J. Hewitt, A. A. Lacey and R. I. Todd (2015) “A mathematical model for flash sintering”, Math. Model. Nat. Phenom. 10(6), pp. 77-89. [CrossRef]
- R. Raj (2012) “Joule heating during flash-sintering”, Journal of the European Ceramic Society 32, pp. 2293-2301.
- R. I. Todd, E. Zapata-Solvas, R. S. Bonilla, T. Sneddon and P. R. Wilshaw (2015) “Electrical characteristics of flash sintering: thermal runaway of Joule heating”, Journal of the European Ceramic Society 35, pp. 1865-1877.
- G. Pereira da Silva, H. A. Al-Qureshi, F. Keil, R. Janssen (2016) “A dynamic bifurcation criterion for thermal runaway during the flash sintering of ceramics”, Journal of the European Ceramic Society 36, pp. 1261-1267.
- A.C. Fowler, I. Frigaard and S. D. Howison (1992) “Temperature surges in current-limiting circuit devices”, SIAM J. Appl. Math. 52, pp. 998-1011.
- S. D. Howison, J. F. Rodrigues and M. Shilor (1993) “Stationary solutions to the thermistor problem”, Journal of Mathematical Analysis and. Applications, 174, pp. 573-588.
- S. Zhou and D. R. Westbrook (1997) “Numerical solutions of the thermistor equations”, Journal of Computational and Applied Mathematics 79, pp. 101-118.
- G. Cimatti (2011) “Remark on the number of solutions in the thermistor problem”, Le Mathematische, Vol. LXVI, pp. 49-60.
- E. Brzozowski and M. S. Castro (2000) “Conduction mechanism of barium titanate ceramics”, Ceramics International, 26, pp. 265-269.
- X. Wang, H. L. W. Chan and C. L. Choy (2003) “Semiconducting barium titanate ceramics prepared by using yttrium hexaboride as sintering aid”, Materials Science and Engineering B, 100(3), pp. 286-291.
- X. Wang, H. L. W. Chan G. K. H. Pang and C. L. Choy (2004) “Positive temperature coefficient of resistivity effect in niobium doped barium titanate ceramics obtained at low sintering temperature”, J. Eur. Ceram. Soc. 24(6), pp. 1227-1231.
- Y. Luo, X. Lin X. Li and G. Lin (2006) “PTCR effect in BaBiO3-doped BaTiO3 ceramics”, Solid State Ionics, 177, pp. 1543-1546.
- H. Takeda, H. Harinaka, T. Shiosaki, M. A. Zubair, C. Leach, R. Freer, T. Hoshina, T. Tsurumi (2010) “Fabrication and positive temperature coefficient of resistivity properties of semiconducting ceramics based on the BaTiO3-(Bi1/2K1/2TiO3 system”, J. Eur. Ceram. Soc, 30, pp. 555-559.
- W. Rowlands and B. Vaidhyanathan (2019) “Additive manufacturing of barium titanate based ceramic heaters with positive temperature coefficient (PTCR)”, J. Eur. Ceram. Soc, 39, pp. 3475-3483.
- A.C. Metaxas (1996), Foundations of Electroheat. A Unified Approach, John Wiley & Sons, New York.
- S. Lupi (2017), Foundamentals of Electroheat. Electrical Technologies for Process Heating, Springer, Switzeland.
- S. Lupi, M. Forzan. A. Aliferov (2015), Induction and Direct Resistance Heating. Theory and Numerical Modeling, Springer, Switzerland.
- S. W. Churchill and H. H. S. Chu (1975) “Correlating equations for laminar and turbulent free convection from a horizontal cylinder”, Int. J. Heat Mass Transfer 18, pp. 1049-1053.
- M. Faghri and E. M. Sparrow (1986) “Forced convection in a horizontal pipe subjected to nonlinear external natural convection and to external radiation”, Int. J. Heat Mass Transfer 23, pp. 861-872.
- E. Hairer, S. P. Nørsett and G. Wanner, Solving Ordinary Differential Equations I. Nonstiff Problems, (1987) Springer-Verlag, New York.
- U. M. Ascher, R. M. M. Mattheij and R. D. Russel Numerical Solution of Boundary Value Problems for Ordinary Differential Equations, (1995) 2nd ed., SIAM, Philadelphia.
- R. Seydel, Practical Bifurcation and Stability Analysis, (2009), 3rd ed., Springer-Verlag, New York.
- G. Witmer, V. Balakotaih and D. Luss, (1986) “Finding singular points of two-point boundary value problems”, Journal of Computational Physics 65, pp. 244–250.
- R. Aris, (1979) “Chemical reactors and some bifurcation phenomena” In Bifurcation Theory and Applications in Scientific Disciplines, Annals New York Acad. of Sci., vol 316, pp. 314-331.
- G. Witmer, V. Balakotaih and D. Luss, (1986) “Multiplicity features of distributed systems – I. Langmuir-Hinshelwood reaction in a porous catalyst”, Chemical Engineering Science 41, pp. 179–186.
- R. Krikkis, (2015) “On the multiple solutions of boiling fins with heat generation”, Int. J. Heat Mass Transfer, vol. 80, pp. 236-242.







Disclaimer/Publisher’s Note: The statements, opinions and data contained in all publications are solely those of the individual author(s) and contributor(s) and not of MDPI and/or the editor(s). MDPI and/or the editor(s) disclaim responsibility for any injury to people or property resulting from any ideas, methods, instructions or products referred to in the content. |
© 2023 by the authors. Licensee MDPI, Basel, Switzerland. This article is an open access article distributed under the terms and conditions of the Creative Commons Attribution (CC BY) license (http://creativecommons.org/licenses/by/4.0/).