Submitted:
26 June 2023
Posted:
27 June 2023
You are already at the latest version
Abstract
Keywords:
1. Introduction
2. Evolutionary Game Model
2.1. Model variables and assumptions
2.1.1. Assumption 1
2.1.2. Assumption 2
2.1.3. Assumption 3
2.2. Evolutionary Game Model
3. Modern Analysis
3.1. Analysis of the government
3.2. Analysis of the platform organization
3.3. Analysis of the settled enterprise
4. Evolution Strategy Analysis
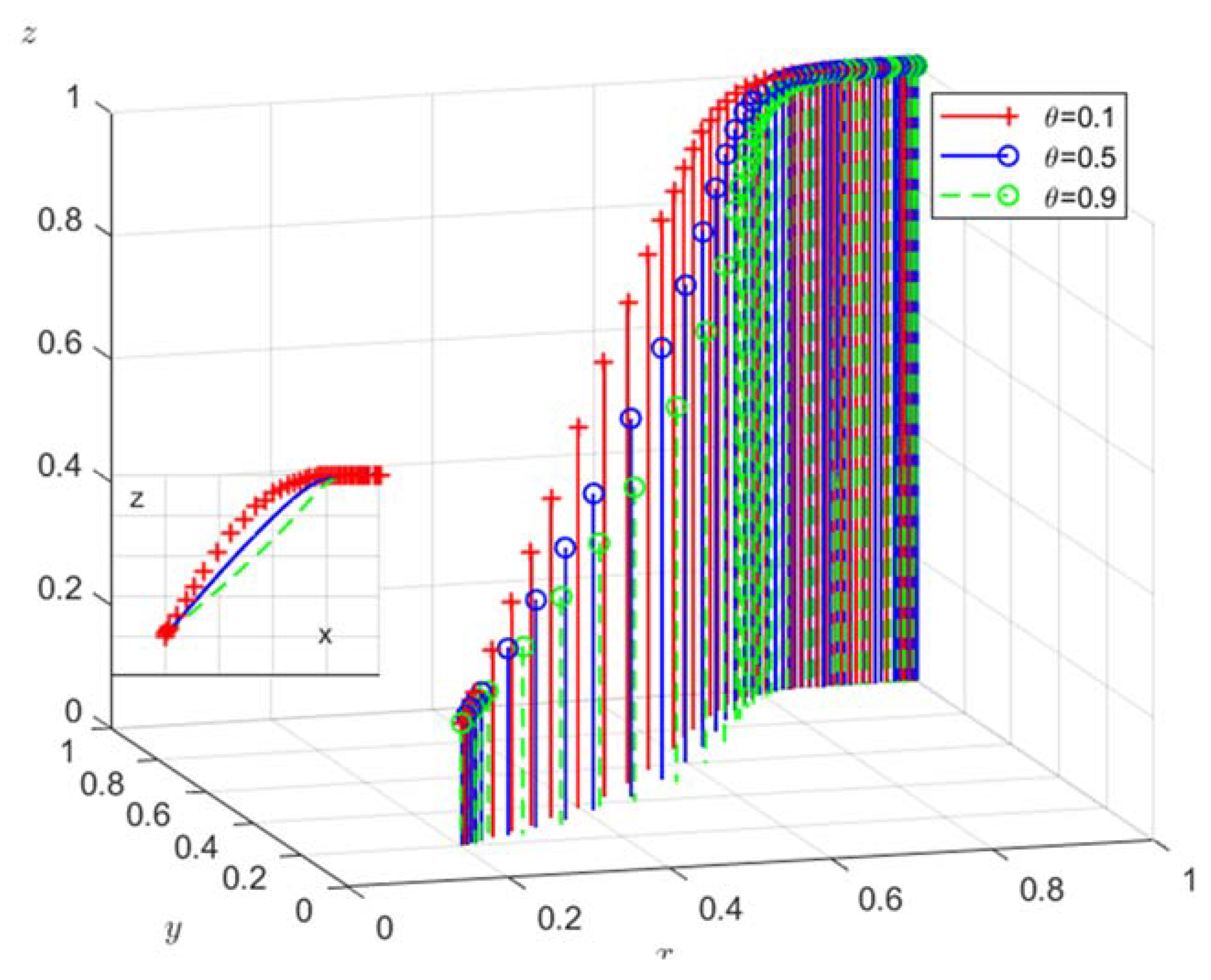
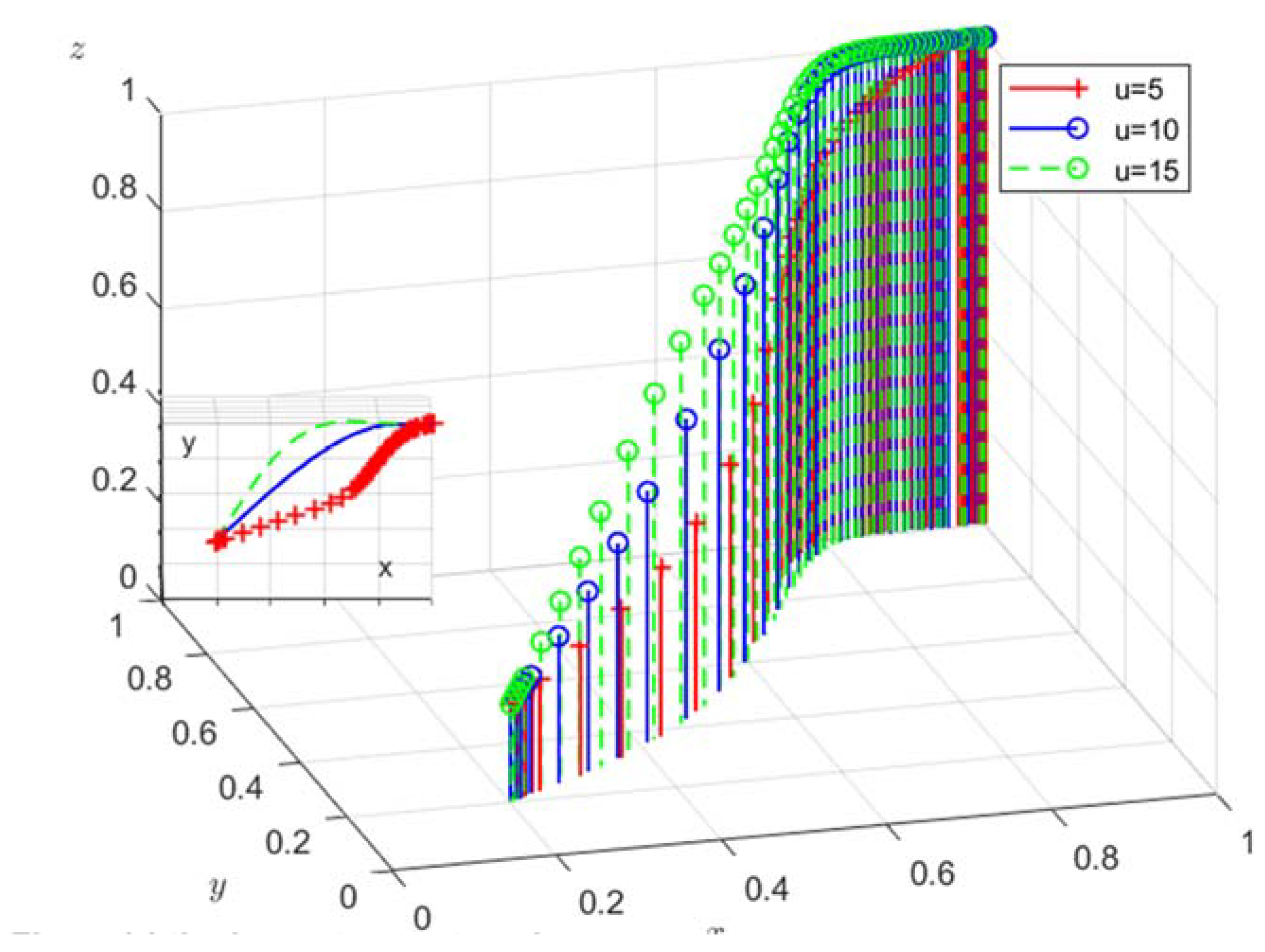
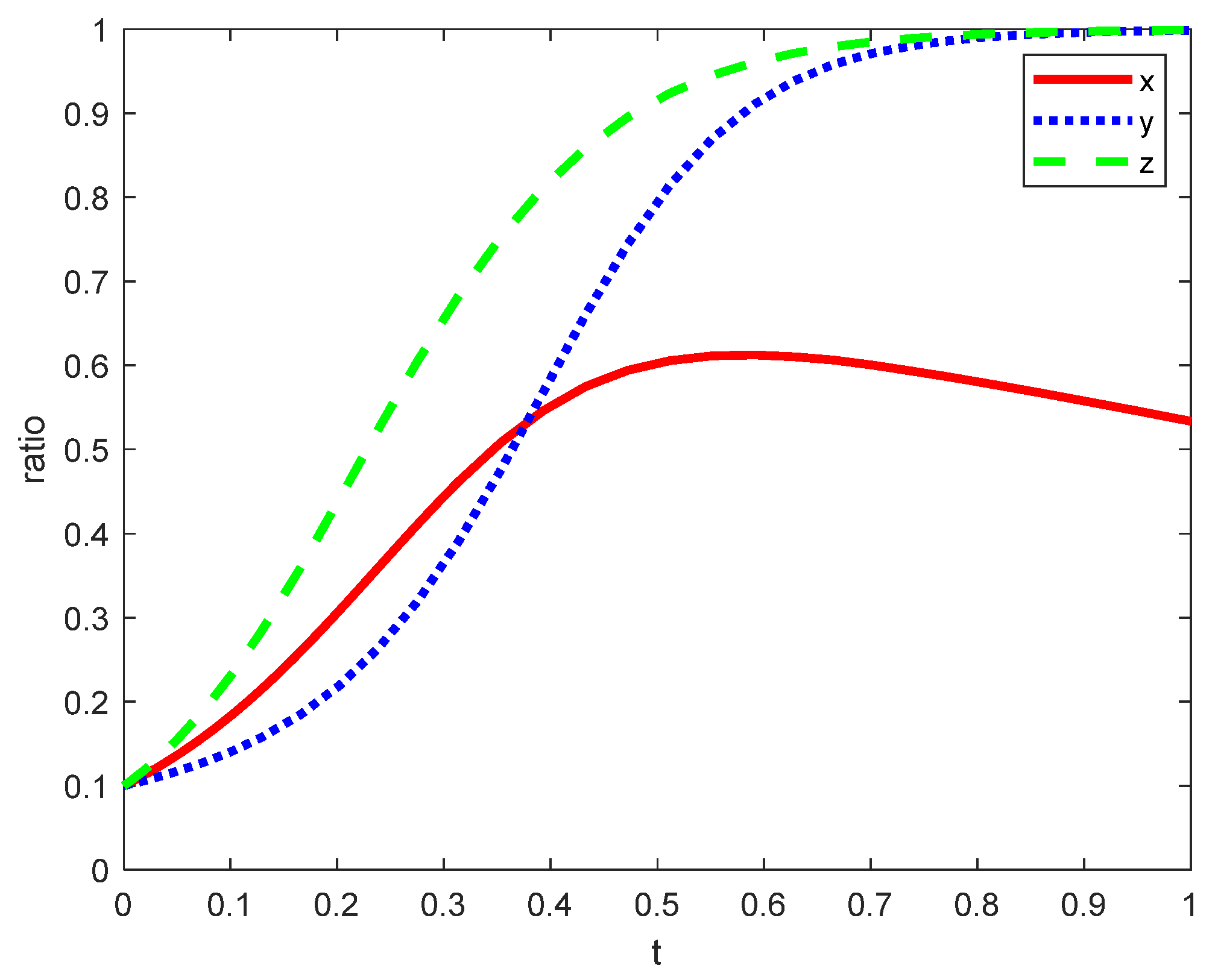
5. Numerical Analysis of the Tripartite Game in Different Life Cycle Stages
5.1 Birth stage
5.2 Expansion stage

5.3 Leadership stage
5.4 Self-Renewal stage
6. Influencing Factors Analysis of Digital Platform Governance
6.1 Impact on government reputation

6.2 Influence of platform monopoly

6.3 Impact on the rights protection consciousness of settled enterprises

7. Discussion
8. Implications
8.1 Theoretical implications
8.2 Practical implications
9. Limitations and Future Research
10. Conclusions
Funding
Data Availability Statement
Conflicts of Interest
References
- Jovanovic, M.; Sjödin, D.; Parida, V. Co-evolution of platform architecture, platform services, and platform governance: Expanding the platform value of industrial digital platforms. Technovation. 2022, 118. [Google Scholar] [CrossRef]
- Hanelt, A.; Bohnsack, R.; Marz, D.; Antunes, C. A systematic review of the literature on digital transformation: Insights and implications for strategy and organizational change. J Manag Stud. 2020. [CrossRef]
- Tushev, M.; Ebrahimi, F.; Mahmoud, A.M. A systematic literature review of anti-discrimination design strategies in the digital sharing economy. IEEE Trans Software Eng. 2022, 48, 1–1. [Google Scholar] [CrossRef]
- Deng, T.; Qiao, L.; Yao, X.; Chen, S.; Tang, X.A. A Profit framework model for digital platforms based on value sharing and resource complementarity. Sustainability. 2022, 14, 11954. [Google Scholar] [CrossRef]
- Chen, L.; Li, S.; Wei, J.; Yang, Y. Externalization in the platform economy: Social platforms and institutions. J Int Bus Stud. 2022, 53, 1805–1816. [Google Scholar] [CrossRef]
- Raff, S.; Wentzel, D.; Obwegeser, N. Smart products: Conceptual review, synthesis, and research directions. J Prod Innov Manag. 2020, 37, 379–404. [Google Scholar] [CrossRef]
- Jocevski, M. Blurring the lines between physical and digital spaces: Business model innovation in retailing. Calif Manag Rev. 2020, 63, 99–117. [Google Scholar] [CrossRef]
- Lanzolla, G.; Pesce, D.; Tucci, C.L. The digital transformation of search and recombination in the innovation function: Tensions and an integrative framework. J Prod Innov Manag. 2021, 38, 90–113. [Google Scholar] [CrossRef]
- Mukhopadhyay, S.; Bouwman, H. Multi-actor collaboration in platform-based ecosystem: Opportunities and challenges. J Inf Technol Case Appl. 2018, 20, 47–54. [Google Scholar] [CrossRef]
- Evans, D.S.; Schmalensee, R. Matchmakers: The New Economics of Multisided Platforms; Harvard Business Review Press: Boston, MA, 2016. [Google Scholar]
- Constantinides, P.; Henfridsson, O.; Parker, G.G. Platforms and infrastructures in the digital age. Inf Syst Res. 2018, 29, 381. [Google Scholar] [CrossRef]
- Cusumano, M.A.; Gawer, A.; Yoffie, D.B. The Business of Platforms: Strategy in the Age of Digital Competition, Innovation, and Power; HarperBusiness: New York, 2019. [Google Scholar]
- Chen, Y.; Pereira, I.; Patel, P.C. Decentralized governance of digital platforms. J Manag. 2020, 47, 1305–1337. [Google Scholar] [CrossRef]
- Parker, G.; Van Alstyne, M. Innovation, openness, and platform control. Manag Sci. 2018, 64, 3015–3032. [Google Scholar] [CrossRef]
- Moore, J.F. Predators and prey: A new ecology of competition. Harv Bus Rev. 1993, 71, 75–86. [Google Scholar] [PubMed]
- Gawer, A. Digital platforms’ boundaries: The interplay of firm scope, platform sides, and digital interfaces. Long Range Plann, American Psychological Association. 2021, 54, 102045. [CrossRef]
- Boudreau, K. Open platform strategies and innovation: Granting access vs. devolving control. Manag Sci. 2010, 56, 1849–1872. [Google Scholar] [CrossRef]
- Kyprianou, C. Creating value from the outside in or the inside out: How nascent intermediaries build peer-to-peer marketplaces. Acad Manag Discov. 2018, 4, 336–370. [Google Scholar] [CrossRef]
- Reischauer, G.; Mair, J. How organizations strategically govern online communities: Lessons from the sharing economy. Acad Manag Discov. 2018, 4, 220–247. [Google Scholar] [CrossRef]
- Rietveld, J.; Schilling, M.A.; Bellavitis, C. Platform strategy: Managing ecosystem value through selective promotion of complements. Organ Sci. 2019, 30, 1232–1251. [Google Scholar] [CrossRef]
- Cohen, J.E. Between Truth and Power: The Legal Constructions of Informational Capitalism; Oxford University Press: New York, 2019. [Google Scholar]
- Srnicek, N. Platform Capitalism; Polity Press: Cambridge, UK, 2017. [Google Scholar]
- Van Dijck, J.; Poell, T.; De Waal, M. The Platform Society: Public Values in a Connective World; Oxford University Press: New York, 2018. [Google Scholar]
- Zuboff, S. The Age of Surveillance Capitalism: The Fight for a Human Future at the New Frontier of Power; Public Affairs: New York, 2019. [Google Scholar]
- Ansell, C.; Miura, S. Can the power of platforms be harnessed for governance? Public Admin. 2020, 98, 261–276. [Google Scholar] [CrossRef]
- Cingolani, L. The survival of open government platforms: Empirical insights from a global sample. Gov Inf Q. 2021, 38, 101522. [Google Scholar] [CrossRef]
- Karle, H.; Peitz, M.; Reisinger, M. Segmentation versus agglomeration: Competition between platforms with competitive sellers. J Pol Econ. 2020, 128, 2329–2374. [Google Scholar] [CrossRef]
- Hagiu, A.; Jullien, B. Why do intermediaries divert search? RAND J Econ. 2011, 42, 337–362. [Google Scholar] [CrossRef]
- White, A. Search engines: Left side quality versus right side profits. Int J Ind Organ. 2013, 31, 690–701. [Google Scholar] [CrossRef]
- Casner, B. Seller curation in platforms. Int J Ind Organ. 2020, 72. [Google Scholar] [CrossRef]
- Gorwa, R. What is platform governance? Inf Commun Soc. 2019, 22, 854–871. [Google Scholar] [CrossRef]
- Tiwana, A.; Konsynski, B.; Venkatraman, N. Special issue: Information technology and organizational governance: The IT governance cube. J Manag Inf Syst. 2013, 30, 7–12. [Google Scholar] [CrossRef]
- Tiwana, A. Konsynski, B., & Bush, A. A. Platform evolution: Coevolution of platform architecture, governance, and environmental dynamics. Inf Syst Res 2010, 21, 675. [Google Scholar]
- Upadhyay, P.; Kumar, A.; Dwivedi, Y.K.; Adlakha, A. Continual usage intention of platform-based governance services: A study from an emerging economy. Gov Inf Q. 2022, 39, 101651. [Google Scholar] [CrossRef]
- Cho, S.; Mossberger, K.; Swindell, D.; Selby, J.D. Experimenting with public engagement platforms in local government. Urban Aff Rev (Thousand Oaks, CA) 2020, 57, 763–793. [Google Scholar] [CrossRef]
- Jung, D.; Kim, B.C.; Park, M.; Straub, D.W. Innovation and policy support for two-sided market platforms: Can government policy makers and executives optimize both societal value and profits? Inf Syst Res. 2019, 30, 1037–1050. [Google Scholar] [CrossRef]
- Fenwick, M.; McCahery, J.A.; Vermeulen, E.P.M. The end of “Corporate” governance: Hello “Platform” governance. Eur Bus Org Law Rev. 2019, 20, 171–199. [Google Scholar] [CrossRef]
- Matias, J.N.; Mou, M. Civil Servant: Community-led experiments in platform governance. In Proceedings of the 2018 CHI Conference on Human Factors in Computing Systems 2018; pp. 1–13.
- Ding, L.; Ye, R.M.; Wu, J. Platform strategies for innovation ecosystem: Double-case study of Chinese automobile manufactures. J Clean Prod. 2019, 209, 1564–1577. [Google Scholar] [CrossRef]
- Hult, G.T.M.; Gonzalez-Perez, M.A.; Lagerström, K. The theoretical evolution and use of the Uppsala model of internationalization in the international business ecosystem. J Int Bus Stud. 2020, 51, 38–49. [Google Scholar] [CrossRef]
- Rong, K.; Wu, J.; Shi, Y.; Guo, L. Nurturing business ecosystems for growth in a foreign market: Incubating, identifying and integrating stakeholders. J Int Manag. 2015, 21, 293–308. [Google Scholar] [CrossRef]
- O’Mahony, S.; Karp, R. From proprietary to collective governance: How do platform participation strategies evolve? Strateg Manag J. 2022, 43, 530–562. [Google Scholar] [CrossRef]
- Mukhopadhyay, S.; Bouwman, H.; Jaiswal, M. Portfolios of control in mobile eco-systems: Evolution and validation. Info. 2015, 17, 36–58. [Google Scholar] [CrossRef]
- Teece, D.J. Dynamic Capabilities and (Digital) Platform Lifecycles, Entrepreneurship, Innovation, and Platforms (Advances in Strategic Management, Vol. 37); Emerald Publishing Limited: Bingley, 2017; pp. 211–225. [Google Scholar]
- Muzellec, L.; Ronteau, S.; Lambkin, M. Two-sided internet platforms: A business model lifecycle perspective. Ind Mark Manag. 2015, 45, 139–150. [Google Scholar] [CrossRef]
- Isckia, T.; de Reuver, M.; Lescop, D. Digital innovation in platform-based ecosystems: An evolutionary framework. In Proceedings of the 10th International Conference on Management of Digital Ecosystems 2018; 2018; pp. 149–156. [Google Scholar] [CrossRef]
- Teh, T.H. Platform governance. Am Econ J: Microecon 2022 14(3). American Economic Journal: Microeconomics. 2022, 14, 213–254. [Google Scholar] [CrossRef]
- Zhong, Q.; Sun, Y. The more the better? relational governance in platforms and the role of appropriability mechanisms. J Bus Res. 2020, 108, 62–73. [Google Scholar] [CrossRef]
- Cennamo, C.; Santaló, J. Generativity tension and value creation in platform ecosystems. Organ Sci (Providence, RI). 2019, 30, 617–641. [Google Scholar] [CrossRef]
- Foerderer, J. Interfirm exchange and innovation in platform ecosystems: Evidence from Apple’s worldwide developers conference. Manag Sci. 2020, 66, 4772–4787. [Google Scholar] [CrossRef]
- Tiwana, A. Evolutionary competition in platform ecosystems. Inf Syst Res. 2015, 26, 266–281. [Google Scholar] [CrossRef]
- Navarro-Chávez, C.; Delfín-Ortega, O.V.; Moreno Manzo, J.M. Municipal evaluation in Mexico: A measurement of the government reputation. Corp Reputation Rev. 2022, 25, 106–121. [Google Scholar] [CrossRef]
- Wei, Y.; Guo, Y.; Su, J. Dancing on a tightrope: The reputation management of local governments in response to public protests in China. Public Admin (London). 2021, 99, 547–562. [Google Scholar] [CrossRef]
- Jeon, D.S.; Kim, B.C.; Menicucci, D. Second-degree price discrimination by a two-sided monopoly platform. Am Econ J: Microecon 2022. American Economic Journal: Microeconomics 2022, 14, 322–369. [Google Scholar] [CrossRef]
- Vasudevan, R. Digital platforms: Monopoly capital through a classical-Marxian lens. Camb J Econ. 2022, 46, 1269–1288. [Google Scholar] [CrossRef]
- Geradin, D.; Katsifis, D. Strengthening effective antitrust enforcement in digital platform markets. Eur Compet J. 2022, 18, 356–405. [Google Scholar] [CrossRef]
- Mo, D.; Yu, J.; Chen, X.M. Modeling and managing heterogeneous ride-sourcing platforms with government subsidies on electric vehicles. Transp Res B Methodol. 2020, 139, 447–472. [Google Scholar] [CrossRef]
- Seo, H.; Myeong, S. The priority of factors of building government as a platform with analytic hierarchy process analysis. Sustainability. 2020, 12, 5615. [Google Scholar] [CrossRef]
- Marjanovic, O.; Cecez-Kecmanovic, D. Open government data platforms – A complex adaptive sociomaterial systems perspective. Inf Organ. 2020, 30. [Google Scholar] [CrossRef]
- Just, N. Governing online platforms: Competition policy in times of platformization. Telecommun Policy. 2018, 42, 386–394. [Google Scholar] [CrossRef]
- Song, P.; Xue, L.; Rai, A.; Zhang, C.; Nanjing University; Fudan University; Georgia State University. The ecosystem of software platform: A study of asymmetric cross-side network effects and platform governance. MIS Q. 2018, 42, 121–142. [Google Scholar] [CrossRef]
- Sapraz, M.; Han, S. Users’ evaluation of a digital government collaborative platform (DGCP). Interface Sci, (Lanka); Transforming Government. 2023. [Google Scholar] [CrossRef]
- Chen, L.; Yi, J.; Li, S.; Tong, T.W. Platform governance design in platform ecosystems: Implications for complementors’ multihoming decision. J Manag. 2022, 48, 630–656. [Google Scholar] [CrossRef]
- Jiang, H.; Yang, J.; Gai, J. How digital platform capability affects the innovation performance of SMEs—Evidence from China. Technol Soc. 2023, 72, 102187. [Google Scholar] [CrossRef]
- Rakshit, S.; Islam, N.; Mondal, S.; Paul, T. Influence of blockchain technology in SME internationalization: Evidence from high-tech SMEs in India. Technovation. 2022, 115, 102518. [Google Scholar] [CrossRef]
- Andreoni, A.; Roberts, S. Governing digital platform power for industrial development: Towards an entrepreneurial-regulatory state. Camb J Econ. 2022, 46, 1431–1454. [Google Scholar] [CrossRef]










| Strategies | Settled enterprise | ||
| Participation | Nonparticipation | ||
| Valid government regulation | Platform governance | ||
| Platform monopoly | |||
| Invalid government regulation | Platform governance | ||
| Platform monopoly | |||
| Game strategies | Government | Platform organizations | Settled enterprise |
|---|---|---|---|
| Equilibrium Points | Eigenvalues | ESS conditions | ||
| unstable equilibrium point | ||||
| unstable equilibrium point | ||||
| unstable equilibrium point | ||||
| unstable equilibrium point | ||||
| unstable equilibrium point | ||||
Disclaimer/Publisher’s Note: The statements, opinions and data contained in all publications are solely those of the individual author(s) and contributor(s) and not of MDPI and/or the editor(s). MDPI and/or the editor(s) disclaim responsibility for any injury to people or property resulting from any ideas, methods, instructions or products referred to in the content. |
© 2023 by the authors. Licensee MDPI, Basel, Switzerland. This article is an open access article distributed under the terms and conditions of the Creative Commons Attribution (CC BY) license (http://creativecommons.org/licenses/by/4.0/).
