Preprint
Article

This version is not peer-reviewed.

Disturbance Observer Based Robust Take-off Control for a Semi-submersible Permeable Slender Hybrid Unmanned Aerial Underwater Quadrotor

A peer-reviewed article of this preprint also exists.

Submitted:

26 June 2023

Posted:

26 June 2023

You are already at the latest version

Abstract
The development of hybrid unmanned aerial underwater vehicles (HAUVs) compatible with the advantages of the aerial vehicles and the underwater vehicles is of great significance. This paper presents the first study on a new HAUV layout using four rotors to realize the medium crossing motion of a transverse slender body similar to the fuselage of a missile or a submarine, that is the hybrid aerial underwater quadrotor (HAUQ). Then a robust control strategy is proposed for the take-off HAUQ on the water in the presence of unknown disturbances and complex model dynamic uncertainties. As a semi-submersible HAUQ rises straightly from the water, the inside of the slender fuselage placed horizontally is filled with water. The center of the mass, the moment of inertia, and the arm of force of the HAUQ will change rapidly in the takeoff phase from the water since the rapid non-uniform change of mass caused by the passive fast drainage. It is difficult to establish a accurate mathematical model of the complex dynamic changes caused by the multi-media dynamics, the fast changing buoyancy, and the added mass crossing air–water surface. Therefore, an uncertain kinematic and dynamic model is established through the passive fast nonuniform change and the complex dynamics are considered as the unknown terms, and the external disturbances of gust and other factors are assumed as the bounded disturbance input. A robust design approach is introduced to deal with the fast time-varying mass disturbance based on the input-to-state stability (ISS) theorem. The complex dynamics are estimated using the basis function and the unknown weight parameters, and the adaptive laws are adopted for the on-line estimation of the unknown weight parameters. Consider the residual disturbance of the uncertain nonlinear system as a total disturbance term, a disturbance observer is introduced for disturbance observation. The numerical simulation shows the feasibility and robustness of the proposed algorithm.
Keywords: 
;  ;  ;  

Introduction

A great number of significant research in the development of advanced robotic system has been made and in the last decades, especially as to autonomous underwater vehicles (AUVs) and unmanned aerial vehicles (UAVs). As AUVs and UAVs are good at completing their tasks in their respective fields, they can achieve efficiently marine and aerial observations and attack missions respectively. However, when faced with a multi-domain task, it seems impossible to accomplish the mission whether AUVs or UAVs. The heterogeneous multi-robot systems have been used to accomplish the multi-domain environment monitoring[1,2,3]. And the multi-robot cooperation enriches the observing and improving the work efficiency. Nevertheless, some new challenges are brought by using such a multi-robot system for users. The difficulties of establishing and maintaining may create the multi-robot systems operational difficulties. What’s more, it’s extreme difficult for the heterogeneous robots working in different types medium to communicate with each other since the attenuation effect of water for the electromagnetic waves. Therefore, a single platform, that is the hybrid aerial underwater vehicle (HAUV) which can be capable of moving in both air and water, is needed to be developed to complete the multi-domain missions.
Since the huge differences in the physical properties between air and water, it is great challenge to design a HAUV capable of both air flight and underwater navigation for scientist, especially the efficient control technique. According to the existing literature, many vehicles of various layouts such as fixed-wing[4,5,6], variable-swept wing[7], flapping wing[8], and multi-rotor systems[9,10,11,12] have been adopted for aerial and underwater missions, which have shown the high practical value and fruitful results. And the controllability, payload, and practicality of HAUV has been assessed[13].
However, the existing layouts of HAUVs are not compatible with the advantages of the aerial vehicles and the underwater vehicles. A transverse permeable slender body similar to the fuselage of a missile or a submarine is a suitable scheme for the fuselage of the HAUVs. Then, a new HAUV layout is proposed which using four rotors to realize the medium crossing motion of a transverse slender body similar to the fuselage of a missile or submarine, that is the hybrid unmanned aerial underwater quadrotor (HAUQ) as shown in Figure 1. The HAUQ layout can help to use the morphing wing technology and the fixed wing hybrid quadrotor design technology to realize the underwater streamlined fuselage navigation and the fixed wing flight. The key of the whole flight process is the trans-media motion control from water to air.
The controller design of the hybrid aerial underwater quadrotor (HAUQ) is a typical gas-liquid coupling problem. The water-air interface crossing motion has strong nonlinearities and uncertainties, such as the multivariable strong couplings, the nonlinear hydrodynamic characteristics of the water air two phase flow, the impact of water waves, the gust, and the passively drainage disturbance. For the HAUV, it includes the water-air transition section and the air-water transition section. How to realize the stable and reliable conversion between the discontinuous media, the control scheme of the HAUV is the key of the cross medium motion. The control models and the control arithmetics of the existing vehicles including the surface vessel and the underwater vehicle have some limitations and strong disturbances such as winds, waves, and currents which will challenge the control issues. For the marine environment interference, most of the research objects are underwater vehicles. The influence of ocean current is studied on the motion control of the low speed AUV[14]. A robust navigation algorithm is developed for the recovery of AUV[15]. For the operability of AUV, the least square method is introduced to estimate the ocean current[16]. However, the research on modeling and control algorithm design of the trans-media motion in complex environment is extremely rare.
For the control design problem of the water to air transition motion process of HAUQs, a water air crossing motion control design scheme is proposed based on the lift provided by four rotors. The basic idea of the control algorithm of the HAUQ is to use four rotors in the air to pull up the streamlined body which is submerged in the water and drain the water inside the body in a short time. The traditional four rotor UAVs is the most common and representative UAV in multi rotor system, and it is a multiple-input and multiple-output nonlinear system including the nonlinearities, the multiple variables, the underactuated characteristics, the weak anti-jamming ability, and the complex couplings[17,18]. The HAUQ inherits these characteristics.
The HAUQ is facing a flight environment different from the traditional quadrotor UAV. When the permeable slender body of the HAUQ crosses from water to air, the medium changes, and there are many complex changes whose mechanism is not clear enough such as the additional mass caused by the fast drainage, the multi media dynamics, and the fast changing buoyancy. And the body is filled with water and needs to be discharged in a very short time such that the mass of the whole HAUQ changes dramatically when it takes off from the water to the air. The non-uniform drainage will also cause the change of the center of mass and the arm of force. The main contributions of the manuscript can be summarized as follows:
  • A new water-air trans-medium pattern is proposed for the HAUQ with a permeable slender body. Compared with the existing layouts of the HAUVs, the HAUQs with a permeable slender body can help to keep the streamlined fuselage needed for the underwater and air navigation.
  • A general mathematical model is established for HAUQs as the factors exist including the strong uncertainties caused by the fluid dynamics in the complex water air mixed environment, the fast time-varying added mass caused by the fluid dynamics and the residual water inside the slender body, the influence of the passively drainage, and the external disturbance.
  • A disturbance observer based robust control scheme is proposed for HAUVs. The robust control is adopted to compensate the fast time-varying mass uncertainty. For the uncertainties of the multi-media complex dynamics modeling on the position and attitude dynamic equations, it is estimated by considering it as a combination of the specific basis functions and an adaptive method is used to estimate the unknown weight parameters. The rapid and uncontrollable drainage will cause the mass and the center of mass to change during the take-off on the water surface. Meanwhile, the length of arm of force and the moment of inertia matrix will change unpredictably, and they are considered as the bounded uncertainty of moment of inertia matrix and the force arm variation. Then, a comprehensive dynamic disturbance term is formed together with the bounded additional disturbances, and a disturbance observer structure in [32] is introduced to estimate it. The idea of using a disturbance observer to estimate the system disturbances is to introduce the feedforward compensation in the process of controller design to improve the control performance of the system, and it is widely used in the aircraft control[19,20,21,22,23,24,25,29,30,31]. The input-to-state stability theorem is an effective method to study nonlinear systems with noises and disturbances[33]. This method can obtain the bounded states by suppressing the bounded disturbances, therefore the stability of the position and attitude control of the HAUQ is analyzed by the input state stability theorem. The simulation results show the effectiveness of the proposed algorithm.
The organization of this paper is as follows. Section 1 presents the kinematic equations with uncertainties of hybrid aerial underwater quadrotor in different coordinate system. The design of position controller and attitude controller as well as their stability analysis is discussed in Section 2. Finally, the controllers designed in this paper are tested using via simulation in Section 3.

1. Mathematical model

1.1. Dynamic model of water surface takeoff in body coordinate system

The take-off of a HAUQ on the water surface mainly refers to the process that as the HAUQ body is totally or partially submerged in the water medium, the pulling force generated by the rotation of the quadrotor pulls it out of the water and drain the residual water in the body. In order to establish the dynamic equation of a HAUQ, the inertial coordinates { F I } = { O , X , Y , Z } of water air integration are established. In this coordinate system, a point on the water surface where the flight path is located as the reference system origin. Any direction of the water surface is taken as the positive O X direction. The O Z axis is perpendicular to the water surface and upward. The water depth is negative, and the height is positive. The O Y is perpendicular to the O X Z plane, and determined by the right hand rule. Define the body coordinate system as { F b } = { O b , X b , Y b , Z b } . R v S O ( 3 ) is the velocity transform matrix from coordinate system F b to coordinate system F I . Define the HAUQ position as P I = [ x , y , z ] T which represents the position of the trans-media UAV in the inertial coordinates { F I } = { O , X , Y , Z } . The flight attitude is Θ = [ ϕ , θ , ψ ] T , and represents the roll angle, the pitch angle, and the yaw angle respectively. V b R 3 is the velocity component in the body coordinate system. ω b is the angular velocity in body coordinate system. Let the mass of the HAUQ without water be M, and the mass of the HAUQ is M + M Δ ( t ) during the takeoff process on the water surface. M Δ ( t ) 0 caused by the fast drainage holds and changes rapidly. It is worth noting that the M Δ ( t ) does not include the added mass caused by underwater navigation, which is considered as the uncertainty. The rapid mass change also brings about the change of the center of mass position and the moment of inertia. The moment of inertia matrix is defined as J + J Δ ( t ) . We have
P ˙ I = R v V b , R ˙ v = R v S ( ω b )
where
S ( x ) = 0 x 3 x 2 x 3 0 x 1 x 2 x 1 0 , x = x 1 x 2 x 3
From Newton’s laws of Motion, we have equation (2)
M + M Δ ( t ) V ˙ b = M + M Δ ( t ) S ( ω b ) V b + A v ( V b ) + 0 0 F 1 + F 2 + F 3 + F 4 + R v T 0 0 M + M Δ ( t ) g + Δ 1 J + J Δ ( t ) ω ˙ b = l + Δ l 1 ( t ) F 1 + l + Δ l 2 ( t ) F 2 l + Δ l 3 ( t ) F 3 + l + Δ l 4 ( t ) F 4 l + Δ l 1 ( t ) F 1 + l + Δ l 2 ( t ) F 2 l + Δ l 3 ( t ) F 3 l + Δ l 4 ( t ) F 4 C F 1 F 2 + F 3 F 4 S ( ω b ) J + J Δ ( t ) ω b + B ω ( ω b ) + Δ 2
where Δ M ( t ) represents the change of the extra mass during the drainage process of cross medium flight, Δ l i ( t ) , i = 1 , . . . , 4 is the change of arm of force caused by the change of mass center, Δ J ( t ) is the change moment of inertia with time t, A v ( V b ) and B ω ( ω b ) are the unknown terms including forces and moments caused by the complex multi-media dynamics and the fast changing buoyancy. Δ M ( t ) 0 , Δ l i ( t ) 0 , i = 1 , . . . , 4 , and Δ J ( t ) 0 during the fast drainage. Δ i , i = 1 , 2 is the external disturbance. Define F b = [ F 1 , F 2 , F 3 , F 4 ] T and
N = 0 0 0 0 0 0 0 0 1 1 1 1 , G = 0 0 M , G Δ ( t ) = 0 0 M Δ ( t ) , L = l l l l l l l l C C C C , L Δ ( t ) = Δ l 1 ( t ) Δ l 2 ( t ) Δ l 3 ( t ) Δ l 4 ( t ) Δ l 1 ( t ) Δ l 2 ( t ) Δ l 3 ( t ) Δ l 4 ( t ) 0 0 0 0
Then the equation (2) can be given by
M + M Δ ( t ) V ˙ b = M + M Δ ( t ) S ( ω b ) V b + A v ( V b ) + N F b + R v T G + G Δ ( t ) g + Δ 1 J + J Δ ( t ) ω ˙ b = S ( ω b ) J + J Δ ( t ) ω b + B ω ( ω b ) + L + L Δ ( t ) F b + Δ 2
where l is the distance between the propeller axis and the mass center of the HAUQ when it is not in water, C R is a constant number determined by the characteristics of rotor motor.

1.2. Dynamic model of water surface takeoff in inertial coordinate system

In this section, the dynamic model established in the body coordinate system F b is transformed into the water air integrated inertial coordinate system F I for the convergence of controller design. Let R Θ be a transformation matrix from F b to F I , the dynamic equation of the HAUQ in the coordinate system can be written as
V b ω b = R v T 0 3 × 3 0 3 × 3 R Θ 1 P ˙ Θ ˙
So there are
M + M Δ ( t ) V ˙ b = M + M Δ ( t ) R ˙ v T P ˙ + R v T P ¨ = M + M Δ ( t ) R v T P ¨ S ( ω b ) V b
Then,
M + M Δ ( t ) R v T P ¨ = M + M Δ ( t ) V ˙ b + S ( ω b ) V b M + M Δ ( t ) R v T 1 R v T P ¨ = M + M Δ ( t ) R v T 1 V ˙ b + M + M Δ ( t ) R v T 1 S ( ω b ) V b
According to the property R v T = R v 1 of orthogonal matrix, we have
M + M Δ ( t ) P ¨ = M + M Δ ( t ) R v V ˙ b + R v S ( ω b ) V b = R v M + M Δ ( t ) S ( ω b ) V b + N F b + A v ( V b ) + R v T G + G Δ ( t ) g + Δ 1 + M + M Δ ( t ) R v S ( ω b ) V b = R v A v ( V b ) + G + G Δ ( t ) g + R v N F b + R v Δ 1
In addition, ω ˙ b is given by
ω ˙ b = R ˙ Θ 1 Θ ˙ + R Θ 1 Θ ¨
Thus,
J + J Δ ( t ) R Θ 1 Θ ¨ = J + J Δ ( t ) ω ˙ b J + J Δ ( t ) R ˙ Θ 1 Θ ˙ = S ( ω b ) J + J Δ ( t ) ω b + B ω ( ω b ) J + J Δ ( t ) R ˙ Θ 1 Θ ˙ + L + L Δ ( t ) F b + Δ 2
In summary, the dynamic equation of the HAUQ in the water air integrated inertial coordinate system is
M + M Δ ( t ) P ¨ = R v A v ( V b ) + R v N F b + G + G Δ ( t ) g + R v Δ 1 J + J Δ ( t ) R Θ 1 Θ ¨ = S ( ω b ) J + J Δ ( t ) ω b J + J Δ ( t ) R ˙ Θ 1 Θ ˙ + L + L Δ ( t ) F b + B ω ( ω b ) + Δ 2
It can seen from the equation (10) that the HAUQ also has four independent inputs F i , i = 1 , . . . , 4 compared with the traditional quadrotor, but has six degrees of freedom x ( t ) , y ( t ) , z ( t ) , ϕ ( t ) , θ ( t ) , and ψ ( t ) . There exists complex coupling relations between states. The sudden change of the medium causes the complex forces and the additional mass which change quickly in a short time.

2. Nonlinear robust control laws

2.1. Control model of water surface takeoff

It is necessary to simplify the dynamic model before designing the control law. First, let the moment of inertia matrix is
J = I x x 0 0 0 I y y 0 0 0 I z z , J Δ ( t ) = Δ I x x Δ I x y Δ I x z Δ I y x Δ I y y Δ I y z Δ I z x Δ I z y Δ I z z
Consider the small angle of the HAUQ, the dynamics can be rewritten as
M + M Δ ( t ) P ¨ = R v A v ( P ˙ ) + R v N F b + G + G Δ ( t ) g + R v Δ 1 J + J Δ ( t ) R Θ 1 Θ ¨ = S ( Θ ˙ ) J + J Δ ( t ) Θ ˙ + L + L Δ ( t ) F b + B ω ( ω b ) + Δ 2
where R v A v ( P ˙ ) and B ω ( ω b ) are unknown terms. M Δ ( t ) , J Δ ( t ) , and L Δ ( t ) are time varying variables. R v Δ 1 and Δ 2 are bounded disturbances. The HAUQ control system is divided into the position control subsystem and the attitude control subsystem, that is
Π 1 : P ¨ = 1 M + M Δ ( t ) A P ( t , P ˙ ) + 1 M + M Δ ( t ) R v N F b + G g + Δ P
Π 2 : J + J Δ R Θ 1 Θ ¨ = S ( Θ ˙ ) J + J Δ ( t ) Θ ˙ + B ω ( ω b ) + L + L Δ ( t ) F b + Δ 2
where
A P ( t , P ˙ ) = R v A v ( P ˙ ) , G = 0 0 1 T , Δ P = 1 M + M Δ ( t ) R v Δ 1

2.2. Robust adaptive position controller water air crossing

The trans-media flight adopts the strategy of slowly climbing to a certain height to drain water. Make P d the desired position point, then P ˙ d = 0 . Define η 1 = p p d , η 2 = p ˙ . Subsystem Π 1 is written as
η ˙ 1 = η 2 + p ˙ d η ˙ 2 = 1 M + M Δ ( t ) A P ( t , η ) + 1 M + M Δ ( t ) R v F P + G g + Δ P
where η = [ η 1 , η 2 ] T and F P = N F b holds. Assume that the independent element A P i ( t , P ˙ ) in A P ( t , P ˙ ) can be written as a combination of N basis functions φ i ( η ) as follows
A P ( t , η ) = Ω T Φ ( η ) + o ( η )
where Ω is the unknown constant parameter vector and o ( η ) is the high order component, and
Φ ( η ) = φ 1 ( η ) , φ 2 ( η ) , . . . , φ N ( η ) T R N
is a known regression vector. Define e 1 = η 1 and e 2 = η 2 η 2 * , subsystem Π 1 is given by
e ˙ 1 = e 2 + η 2 * e ˙ 2 = 1 M + M Δ ( t ) Ω T Φ ( η ) + 1 M + M Δ ( t ) R v F P + G g + Δ P + 1 M + M Δ ( t ) o ( η ) η ˙ 2 *
The additional mass M Δ ( t ) is time-varying but satisfies 0 M Δ ( t ) M Δ m a x , where M Δ m a x is the maximum value of the additional mass. The robust adaptive control law is given by
F p = M + M Δ m a x R v 1 K 2 e 2 1 2 ε 1 2 + 1 2 ε 2 2 e 2 e 1 1 M + M Δ m a x Ω ^ T Φ ( η ) G g + η ˙ 2 * η 2 * = K 1 e 1 η ˙ 2 * = K 1 e 2 + η 2 * + p ˙ z d Ω ^ ˙ = Φ ( η ) e 2 T K 3 Ω ^
where ε 1 , ε 2 , K 1 , K 2 , and K 3 are the positive constants.
Theorem 1.
For the closed-loop system with (17) and the robust adaptive control law (18), choose the appropriate parameters ε 1 > 0 , ε 2 > 0 K 2 > 0 , K 3 > 0 , and
1 K 1 M Δ m a x 4 M + 1 + M Δ m a x 4 M 2
, Consider the controller and the adaptive law (18), the closed-loop system of system (17) and error Δ Ω = Ω Ω ^ are input-to-state stable (ISS).
Proof 
(Proof of Theorem 1). Consider the following Lyapunov function
V ( e 1 , e 2 , Δ Ω ) = 1 2 e 1 T e 1 + 1 2 e 2 T e 2 + 1 2 ( M + M Δ ( t ) ) t r Δ Ω T Δ Ω
where Δ Ω = Ω Ω ^ is the parameter estimation error. Then, the derivative of V is
V ˙ = e 1 T e ˙ 1 + e 2 T e ˙ 2 + 1 M + M Δ ( t ) t r Δ Ω T Δ Ω ˙ = e 1 T e 2 + η 2 * + e 2 T 1 M + M Δ ( t ) Ω T Φ ( η ) + 1 M + M Δ ( t ) R v F P + G g + Δ P + 1 M + M Δ ( t ) o ( η ) η ˙ 2 * + 1 M + M Δ ( t ) t r Δ Ω T Δ Ω ˙
Substituting the virtual control law η 2 * into equation (20), we have
V ˙ K 1 e 1 T e 1 + e 2 T ( e 1 + 1 M + M Δ ( t ) Ω T Φ ( η ) + 1 M + M Δ ( t ) R v F P + G g η ˙ 2 * + Δ P + 1 M + M Δ ( t ) o ( η ) ) + 1 M + M Δ ( t ) t r Δ Ω T Δ Ω ˙ K 1 e 1 T e 1 + e 2 T e 1 + G g η ˙ 2 * + 1 M + M Δ ( t ) Ω T Φ ( η ) + 1 M + M Δ ( t ) R v F P + e 2 T Δ P + 1 M + M Δ ( t ) o ( η ) + 1 M + M Δ ( t ) t r Δ Ω T Δ Ω ˙
According inequalities
e 2 T Δ P + 1 M + M Δ o ( η ) 1 2 ε 1 2 e 2 T e 2 + ε 1 2 2 Δ P + 1 M + M Δ o ( η ) T Δ P + 1 M + M Δ o ( η )
We have
V ˙ K 1 e 1 T e 1 + e 2 T e 1 + 1 2 ε 1 2 e 2 + 1 M + M Δ ( t ) Ω T Φ ( η ) + 1 M + M Δ ( t ) R v F P + G g η ˙ 2 * + 1 M + M Δ ( t ) t r Δ Ω T Δ Ω ˙ + ε 1 2 2 Δ P + 1 M + M Δ ( t ) o ( η ) T Δ P + 1 M + M Δ ( t ) o ( η ) K 1 e 1 T e 1 + e 2 T e 1 + 1 2 ε 1 2 e 2 + 1 M + M Δ ( t ) Ω T Φ ( η ) + 1 M + M Δ ( t ) R v F P + G g η ˙ 2 * + 1 M + M Δ ( t ) t r Δ Ω T Δ Ω ˙ + ε 1 2 2 Δ P + 1 M + M Δ ( t ) o ( η ) T × Δ P + 1 M + M Δ ( t ) o ( η )
Substituting F P into (23), equation (23) is written as
V ˙ K 1 e 1 T e 1 + e 2 T ( e 1 + 1 M + M Δ ( t ) Ω T Φ ( η ) + 1 2 ε 1 2 e 2 + M + M Δ m a x M + M Δ ( t ) R v R v 1 ( ( K 2 + 1 2 ε 1 2 + 1 2 ε 2 2 ) e 2 e 1 G g 1 M + M Δ m a x Ω ^ Φ ( η ) K 1 e 2 + η 2 * ) + G g + K 1 e 2 + η 2 * ) + 1 M + M Δ ( t ) t r Δ Ω T Δ Ω ˙ + ε 1 2 2 Δ P + 1 M + M Δ ( t ) o ( η ) T Δ P + 1 M + M Δ ( t ) o ( η ) K 1 e 1 T e 1 + 1 M + M Δ ( t ) t r Δ Ω T Δ Ω ˙ + e 2 T ( 1 K 1 2 1 M + M Δ m a x M + M Δ ( t ) e 1 + 1 M + M Δ ( t ) Ω T Φ ( η ) 1 M + M Δ ( t ) Ω ^ T Φ ( η ) + 1 M + M Δ m a x M + M Δ ( t ) G g + K 1 K 1 + K 2 M + M Δ m a x M + M Δ ( t ) e 2 + 1 2 ε 1 2 1 M + M Δ m a x M + M Δ ( t ) e 2 M + M Δ m a x 2 ε 2 2 ( M + M Δ ( t ) ) e 2 ) + ε 1 2 2 Δ P + 1 M + M Δ ( t ) o ( η ) T × Δ P + 1 M + M Δ ( t ) o ( η ) K 1 e 1 T e 1 + 1 K 1 2 1 M + M Δ m a x M + M Δ ( t ) 1 2 ( e 2 e 1 ) t ( e 2 e 1 ) + 1 2 e 2 T e 2 + 1 2 e 1 T e 1 + e 2 T ( 1 M + M Δ ( t ) Ω T Φ ( η ) 1 M + M Δ ( t ) Ω ^ T Φ ( η ) + Δ G + 1 2 ε 1 2 1 M + M Δ m a x M + M Δ ( t ) e 2 + K 1 K 1 + K 2 M + M Δ m a x M + M Δ ( t ) e 2 ) M + M Δ m a x 2 ε 2 2 ( M + M Δ ( t ) ) e 2 + 1 M + M Δ ( t ) t r Δ Ω T Δ Ω ˙ + ε 1 2 2 Δ P + 1 M + M Δ ( t ) o ( η ) T Δ P + 1 M + M Δ ( t ) o ( η )
where
Δ G = 1 M + M Δ m a x M + M Δ ( t ) G g
Since Young’s inequality
e 2 T Δ G 1 2 ε 2 2 e 2 T e 2 + ε 2 2 2 Δ G T Δ G
and M + M Δ ( t ) M + M Δ m a x , define K 1 1 , then
V ˙ K 1 1 2 1 K 1 2 1 M + M Δ m a x M + M Δ ( t ) e 1 T e 1 K 1 + K 2 M + M Δ m a x M + M Δ ( t ) K 1 e 2 T e 2 + 1 2 ε 1 2 1 M + M Δ m a x M + M Δ ( t ) e 2 T e 2 + 1 2 ε 2 2 1 M + M Δ m a x M + M Δ ( t ) e 2 T e 2 + e 2 T 1 M + M Δ ( t ) Ω T Φ ( η ) 1 M + M Δ ( t ) Ω ^ T Φ ( η ) + 1 M + M Δ ( t ) t r Δ Ω T Δ Ω ˙ + ε 1 2 2 Δ P + 1 M + M Δ ( t ) o ( η ) T Δ P + 1 M + M Δ ( t ) o ( η ) + ε 2 2 2 Δ G T Δ G K 1 1 2 1 K 1 2 1 M + M Δ m a x M + M Δ ( t ) e 1 T e 1 K 1 + K 2 M + M Δ m a x M + M Δ ( t ) K 1 e 2 T e 2 + e 2 T 1 M + M Δ ( t ) Ω T Φ ( η ) 1 M + M Δ ( t ) Ω ^ T Φ ( η ) + 1 M + M Δ ( t ) t r Δ Ω T Δ Ω ˙ + ε 1 2 2 Δ P + 1 M + M Δ ( t ) o ( η ) T Δ P + 1 M + M Δ ( t ) o ( η ) + ε 2 2 2 Δ G T Δ G K 1 1 2 1 K 1 2 1 M + M Δ m a x M + M Δ ( t ) e 1 T e 1 K 1 + K 2 M + M Δ m a x M + M Δ ( t ) K 1 e 2 T e 2 + 1 M + M Δ ( t ) e 2 T Δ Ω T Φ ( η ) + t r Δ Ω T Δ Ω ˙ + ε 1 2 2 Δ P + 1 M + M Δ ( t ) o ( η ) T Δ P + 1 M + M Δ ( t ) o ( η ) + ε 2 2 2 Δ G T Δ G
According to the property of vector product as follows
e 2 T Δ Ω T Φ ( η ) = t r Δ Ω T Φ ( η ) e 2 T
Thus,
V ˙ K 1 1 2 1 K 1 2 1 M + M Δ m a x M + M Δ ( t ) e 1 T e 1 K 1 + K 2 M + M Δ m a x M + M Δ ( t ) K 1 e 2 T e 2 + 1 M + M Δ ( t ) t r Δ Ω T Φ ( η ) e 2 T + t r Δ Ω T Δ Ω ˙ + ε 2 2 2 Δ G T Δ G + ε 1 2 2 Δ P + 1 M + M Δ ( t ) o ( η ) T Δ P + 1 M + M Δ ( t ) o ( η ) K 1 1 2 1 K 1 2 1 M + M Δ m a x M + M Δ ( t ) e 1 T e 1 K 1 + K 2 M + M Δ m a x M + M Δ ( t ) K 1 e 2 T e 2 + 1 M + M Δ ( t ) t r Δ Ω T Φ ( η ) e 2 T t r Δ Ω T Ω ^ ˙ + ε 2 2 2 Δ G T Δ G + ε 1 2 2 Δ P + 1 M + M Δ ( t ) o ( η ) T Δ P + 1 M + M Δ ( t ) o ( η )
Substituting the adaptive law Ω ^ ˙ into (29), we have
V ˙ K 1 1 2 1 K 1 2 1 M + M Δ m a x M + M Δ ( t ) e 1 T e 1 K 1 + K 2 M + M Δ m a x M + M Δ ( t ) K 1 e 2 T e 2 + K 3 t r Δ Ω T Ω ^ + ε 1 2 2 Δ P + 1 M + M Δ ( t ) o ( η ) T Δ P + 1 M + M Δ ( t ) o ( η ) + ε 2 2 2 Δ G T Δ G K 1 1 2 1 K 1 2 1 M + M Δ m a x M + M Δ ( t ) e 1 T e 1 K 2 e 2 T e 2 + K 3 t r Δ Ω T Ω ^ + ε 2 2 2 Δ G T Δ G + ε 1 2 2 Δ P + 1 M + M Δ ( t ) o ( η ) T Δ P + 1 M + M Δ ( t ) o ( η )
Since K 1 1 , and let
K 1 1 2 1 K 1 2 1 M + M Δ m a x M + M Δ ( t ) > 0
Then,
K 1 1 2 1 K 1 2 1 M + M Δ m a x M > 0
Thus,
M Δ m a x 2 M K 1 2 M Δ m a x 2 M K 1 1 < 0
Therefore, we have
K 1 2 M Δ m a x 2 M K 1 1 < 0
We obtain
K 1 M Δ m a x 4 M 2 < 1 + M Δ m a x 4 M 2
Therefore,
1 K 1 M Δ m a x 4 M + 1 + M Δ m a x 4 M 2
Define
K e = K 1 1 2 1 K 1 2 1 M + M Δ m a x M + M Δ ( t )
Equation (29) is given by
V ˙ K e e 1 T e 1 K 2 e 2 T e 2 + K 3 t r Δ Ω T Ω ^ + ε 1 2 2 Δ P + 1 M + M Δ ( t ) o ( η ) T Δ P + 1 M + M Δ ( t ) o ( η ) + ε 2 2 2 Δ G T Δ G
Apply the equation
K 3 t r Δ Ω T Ω ^ = K 3 2 t r ( Ω Ω ^ ) T ( Ω Ω ^ ) + K 3 2 t r Ω T Ω K 3 2 t r Ω ^ T Ω ^ K 3 2 t r ( Ω Ω ^ ) T ( Ω Ω ^ ) + K 3 2 t r Ω T Ω = K 3 2 t r Δ Ω T Δ Ω + K 3 2 t r Ω T Ω
to obtain
V ˙ K e e 1 T e 1 K 2 e 2 T e 2 K 3 2 t r Δ Ω T Δ Ω + K 3 2 t r Ω T Ω + ε 1 2 2 Δ P + 1 M + M Δ ( t ) o ( η ) T Δ P + 1 M + M Δ ( t ) o ( η ) + ε 2 2 2 Δ G T Δ G 2 κ V + σ 2 Δ 2
where σ = max { ε 1 2 , ε 2 2 , K 3 } , κ = min { K e , K 2 , K 3 2 } , and
Δ 2 = Δ P + 1 M + M Δ ( t ) o ( η ) T Δ P + 1 M + M Δ ( t ) o ( η ) + Δ G T Δ G + t r Ω T Ω
Solving the differential equation (33), we obtain
V e 1 , e 2 , Δ Ω e 2 κ t V ( 0 ) + σ 4 κ 1 e 2 κ t sup 0 τ t Δ 2
Define ξ = [ e 1 , e 2 , Δ Θ ] T , then we have
ξ ( t ) e κ t ξ ( 0 ) + σ 2 κ 1 e 2 κ t sup 0 τ t Δ
where ξ ( 0 ) = [ e 1 ( 0 ) , e 2 ( 0 ) , Δ Ω ( 0 ) ] T and Δ Θ ( 0 ) = Ω ( 0 ) Ω ^ ( 0 ) . According to the definition of input state stability, the whole position closed-loop system is ISS. Furthermore, if the uncertainty is small or does not exists, that is Δ = 0 , we have ξ ( t ) e κ t ξ ( 0 ) and the closed-loop is exponentially stable. □
Denoting u = [ u x , u y , u z ] and u = R v F P = R v N F b , we have
u = M + M Δ m a x K 2 e 2 1 2 ε 1 2 + 1 2 ε 2 2 e 2 e 1 1 M + M Δ m a x Ω ^ T Φ ( η ) G g + η ˙ 2 *
Calculate the desire attitude angle command Θ d = [ ϕ c m d , θ c m d , ψ c m d ] T and the total force output N F b though u = R V ( ϕ c m d , θ c m d , ψ c m d ) N F b .

2.3. Nonlinear attitude controller based on disturbance observer

Consider the subsystem Π 2 , and define ξ 1 = Θ Θ d and ξ 2 = Θ ˙ Θ ˙ d , we have
ξ ˙ 1 = ξ 2 ξ ˙ 2 = R Θ J 1 S ( Θ ˙ ) J Θ ˙ + R Θ J 1 L F b + R Θ J 1 B ω ( ω b ) Θ ¨ d R Θ J 1 J Δ ( t ) R Θ 1 Θ ¨ + R Θ J 1 S ( Θ ˙ ) J Δ ( t ) Θ ˙ + R Θ J 1 L Δ ( t ) F b + R Θ J 1 Δ 2
Denote ξ = [ ξ 1 , ξ 2 ] T . It is assumed that the unknown terms R Θ J 1 B ω ( ω b ) caused by the multi-media dynamics can be rewritten as a combination of M basis functions w j ( ξ ) , we obtain
R Θ J 1 B ω ( ω b ) = Ξ T W ( ξ ) + o 2 ( ξ )
where Ξ R m × 3 is the unknown constant and o 2 ( ξ ) is the higher order component, and
W ( ξ ) = w 1 ( W ( ξ ) , w 2 ( ξ ) , w 3 ( ξ ) , . . . , w M ( ξ ) ) R M
is the known regression vector. Subsystem Π 2 can be rewritten as
ξ ˙ 1 = ξ 2 ξ ˙ 2 = R Θ J 1 S ( Θ ˙ ) J Θ ˙ + R Θ J 1 L F b + Ξ T W ( ξ ) Θ ¨ d + Δ ξ
where
Δ ξ = R Θ J 1 J Δ ( t ) R Θ 1 Θ ¨ + R Θ J 1 S ( Θ ˙ ) J Δ ( t ) Θ ˙ + R Θ J 1 L Δ ( t ) F b + R Θ J 1 Δ 2 + o 2 ( ξ )
Δ ξ indicates the total disturbance. Define e ξ = ξ 2 ξ 2 * where ξ 2 * is the virtual control law . Equation (41) can be given by
ξ ˙ 1 = e ξ + ξ 2 * e ˙ ξ = R Θ J 1 S ( Θ ˙ ) J Θ ˙ + R Θ J 1 L F b + Ξ T W ( ξ ) Θ ¨ d ξ ˙ 2 * + Δ ξ
Then, we can design the attitude controller and obtain the main results.
Assumption A1.
Assume Δ ξ is bounded, and there exists an unknown constant such that Δ ξ ν .
The observer design method in [32] is introduced to estimate the total uncertainty Δ ξ and the adaptive estimate error Ξ T W ( ξ ) Ξ ^ T W ( ξ ) . Denote
Δ Ξ = Ξ T W ( ξ ) Ξ ^ T W ( ξ ) + Δ ξ
Assume Δ ^ Ξ is the estimate of Δ Ξ , the observer is given by
e ^ ˙ ξ = R Θ J 1 S ( Θ ˙ ) J Θ ˙ + R Θ J 1 L F b + Ξ ^ T W ( ξ ) Θ ¨ d ξ ˙ 2 * + Δ ^ Ξ + A e ξ e ^ ξ Δ ^ ˙ Ξ = z 1 + B e ξ e ^ ξ z ˙ 1 = z 2 + C e ξ e ^ ξ z ˙ 2 = D e ξ e ^ ξ
Denoting the observer error Δ ˜ Ξ = Δ Ξ Δ ^ Ξ and e ˜ ξ = e ξ e ^ ξ , the error equation is given by
e ˜ ˙ ξ = Ξ T W ( ξ ) Ξ ^ T W ( ξ ) + Δ ξ Δ ^ Ξ A e ˜ ξ = Δ Ξ Δ ^ Ξ A e ˜ ξ = Δ ˜ Ξ A e ˜ ξ Δ ˜ ˙ Ξ = Δ ˙ Ξ Δ ^ ˙ Ξ = Δ ˙ Ξ z 1 B e ˜ ξ Δ ˜ ¨ Ξ = Δ ¨ Ξ z ˙ 1 B e ˜ ˙ ξ = Δ ¨ Ξ z 2 C e ˜ ξ B Δ ˜ Ξ A e ˜ ξ = Δ ¨ Ξ z 2 B Δ ˜ Ξ + B A C e ˜ ξ Δ ˜ Ξ = Δ Ξ z ˙ 2 B Δ ˜ ˙ Ξ + B A C e ˜ ˙ ξ = Δ Ξ D e ˜ ξ B Δ ˜ ˙ Ξ + B A C Δ ˜ Ξ A e ˜ ξ = Δ Ξ + C B A A D e ˜ ξ + B A C Δ ˜ Ξ B Δ ˜ ˙ Ξ
Furthermore, a error state space equation is constructed as follows
e ˜ ˙ ξ Δ ˜ ˙ Ξ Δ ˜ ¨ Ξ Δ ˜ Ξ = A 1 0 0 0 0 1 0 0 0 0 1 C B A A D B A C B 0 e ˜ ξ Δ ˜ Ξ Δ ˜ ˙ Ξ Δ ˜ ¨ Ξ + 0 0 0 1 Δ Ξ
Define X = [ e ˜ ξ , Δ ˜ Ξ , Δ ˜ ˙ Ξ , Δ ˜ ¨ Ξ ] T and
A = A 1 0 0 0 0 1 0 0 0 0 1 C B A A D B A C B 0 , B = 0 0 0 1
Then, we have
X ˙ = A X + B Δ Ξ
Assume | Δ Ξ | ϑ , ϑ > 0 and the control law can be given by
L F b = J R θ 1 ξ 1 + R θ J 1 S ( Θ ˙ ) J Θ ˙ Ξ ^ T W ( ξ ) + Θ ¨ d + ξ ˙ 2 * 1 2 ε 3 2 e ξ a 2 e ξ Δ ^ Ξ ξ 2 * = a 1 ξ 1 Ξ ^ ˙ = W ( ξ ) e ξ T a 3 Ξ ^
where e ξ = ξ 2 ξ 2 * , a i , i = 1 , 2 , 3 and ε 3 are the positive constants. Therefore, the following theorem can be obtained.
Theorem 2.
For the closed-loop system of the attitude error equation (41), the state observer error equation (44), the disturbance error equation (47), and the adaptive estimate error, if there exists constants a i > 0 , i = 1 , 2 , 3 and ς > 0 , and matrices P > 0 , Q > 0 such that
A T P + P A = Q , ς > 1 λ m i n ( Q )
The closed-loop system is input-to-state stable with the disturbance observer (43) and the robust adaptive controller (48). If all disturbances and uncertainties disappear, the closed-loop system is exponentially stable.
Proof 
(Proof of Theorem 2). For convenience of the stability analysis, denote e ˜ ξ = e ξ e ^ ξ and X ˜ = X ς with ς > 0 is a small constant number. Equation (47) can be rewritten as
ς X ˜ ˙ = ς A X ˜ + B Δ Ξ Δ Ξ , J Δ , L Δ , Δ 2 , o 2 , Θ ¨ , Θ ˙ , ξ 1 , e ξ , X , t
Then, we redefine the error term as follows
Δ Ξ Δ Ξ , J Δ , L Δ , Δ 2 , o 2 , Θ ¨ , Θ ˙ , ξ 1 , e ξ , X , t
Equation (52) is given by
ς X ˜ ˙ = ς A X ˜ + B Δ Ξ Δ Ξ , J Δ , L Δ , Δ 2 , o 2 , Θ ¨ , Θ ˙ , ξ 1 , e ξ , ς X ˜ , t
Choose Lyapunov function as
V ( ξ 1 , e ξ , Δ Ξ , X ˜ ) = 1 2 ξ 1 T ξ 1 + 1 2 e ξ T e ξ + 1 2 t r ( Δ Ξ T Δ Ξ ) + ς X ˜ T P X ˜
where P = P T > 0 , the time derivative of the Lyapunov function V ( ξ 1 , e ξ , Δ Ξ , X ˜ ) is
V ˙ = ξ 1 T ξ ˙ 1 + e ξ T e ˙ ξ + t r ( Δ Ξ T Δ Ξ ˙ ) + X ˜ T P X ˜ ˙ + X ˜ ˙ T P X ˜ = ξ 1 T e ξ + ξ 2 * + e ξ T e ˙ ξ + t r ( Δ Ξ T Δ Ξ ˙ ) + ς X ˜ T P X ˜ ˙ + ς X ˜ ˙ T P X ˜
Substituting ξ 2 * into (54), we have
V ˙ = a 1 ξ 1 T ξ 1 + ξ 1 T e ξ + e ξ T R Θ J 1 S ( Θ ˙ ) J Θ ˙ + R Θ J 1 L F b + Ξ T W ( ξ ) Θ ¨ d + Δ ξ + t r ( Δ Ξ T Δ Ξ ˙ ) + ς X ˜ T P X ˜ ˙ + ς X ˜ ˙ T P X ˜
Using F b into (55), then we obtain
V ˙ a 1 ξ 1 T ξ 1 a 2 e ξ T e ξ + e ξ T Ξ T W ( ξ ) Ξ ^ T W ( ξ ) + Δ ξ Δ ^ Ξ 1 2 ε 3 2 e ξ + t r ( Δ Ξ T Δ Ξ ˙ ) + ς X ˜ T P X ˜ ˙ + ς X ˜ ˙ T P X ˜ = a 1 ξ 1 T ξ 1 a 2 e ξ T e ξ + e ξ T Δ Ξ T W ( ξ ) + e Δ 1 2 ε 3 2 e ξ + ς X ˜ T A T P + P A X ˜ + Δ Ξ T B T P X ˜ + X ˜ T P B Δ Ξ + t r ( Δ Ξ T Δ Ξ ˙ ) = a 1 ξ 1 T ξ 1 a 2 e ξ T e ξ + e ξ T Δ Ξ T W ( ξ ) + e Δ 1 2 ε 3 2 e ξ ς X ˜ T Q X ˜ + 2 X ˜ T P B Δ Ξ + t r ( Δ Ξ T Δ Ξ ˙ ) a 1 ξ 1 T ξ 1 a 2 e ξ T e ξ + e ξ T Δ Ξ T W ( ξ ) + e Δ 1 2 ε 3 2 e ξ ς X ˜ T λ m i n ( Q ) X ˜ + 2 X ˜ T P B Δ Ξ + t r ( Δ Ξ T Δ Ξ ˙ )
where e Δ = Δ ξ Δ ^ Ξ and A T P + P A = Q , Q > 0 . Substituting inequalities
e ξ T e Δ 1 2 ε 3 2 e ξ T e ξ + ε 3 2 2 e Δ T e Δ X ˜ T P B Δ Ξ 1 2 X ˜ 2 + 1 2 P 2 B 2 Δ Ξ 2 1 2 X ˜ 2 + 1 2 P 2 Δ Ξ 2
into (55), the equation (56) is rewritten as
V ˙ a 1 ξ 1 T ξ 1 a 2 e ξ T e ξ + e ξ T Δ Ξ T W ( ξ ) ς λ m i n ( Q ) X ˜ T X ˜ + X ˜ T X ˜ + P 2 Δ Ξ 2 t r ( Δ Ξ T Δ Ξ ^ ˙ ) + ε 3 2 2 e Δ T e Δ
Since
e ξ T Δ Ξ T W ( ξ ) = t r Δ Ξ T W ( ξ ) e ξ T
Thus,
V ˙ a 1 ξ 1 T ξ 1 a 2 e ξ T e ξ ς λ m i n ( Q ) 1 X ˜ T X ˜ + t r Δ Ξ T W ( ξ ) e ξ T t r ( Δ Ξ T Δ Ξ ^ ˙ ) + P 2 Δ Ξ 2 + ε 3 2 2 e Δ T e Δ
Use the adaptive law Δ Ξ ^ ˙ and we obtain
V ˙ a 1 ξ 1 T ξ 1 a 2 e ξ T e ξ ς λ m i n ( Q ) 1 X ˜ T X ˜ + t r Δ Ξ T W ( ξ ) e ξ T t r Δ Ξ T W ( ξ ) e ξ T a 3 Ξ ^ + P 2 Δ Ξ 2 + ε 3 2 2 e Δ T e Δ a 1 ξ 1 T ξ 1 a 2 e ξ T e ξ ς λ m i n ( Q ) 1 X ˜ T X ˜ + a 3 t r Δ Ξ T Ξ ^ + P 2 Δ Ξ 2 + ε 3 2 2 e Δ T e Δ
Term a 3 t r Δ Ξ T Ξ ^ can be rewritten as
a 3 t r Δ Ξ T Ξ ^ = a 3 2 t r Ξ Ξ ^ T Ξ Ξ ^ + a 3 2 t r Ξ T Ξ a 3 2 t r Ξ ^ T Ξ ^ a 3 2 t r Ξ Ξ ^ T Ξ Ξ ^ + a 3 2 t r Ξ T Ξ a 3 2 t r Δ Ξ T Δ Ξ + a 3 2 t r Ξ T Ξ
Since
λ m i n ( P ) X ˜ 2 X ˜ T P X ˜ λ m a x ( P ) X ˜ 2
Then, we have
V ˙ a 1 ξ 1 T ξ 1 a 2 e ξ T e ξ ς λ m i n ( Q ) 1 λ m a x ( P ) X ˜ T P X ˜ a 3 2 t r Δ Ξ T Δ Ξ + P 2 Δ Ξ 2 + a 3 2 t r Ξ T Ξ + ε 3 2 2 e Δ T e Δ 2 μ V + ι 2 Δ Ξ 2
where ς > 1 λ m i n ( Q ) , ι = max { a 3 , ε 3 2 , 2 } , and
μ = min a 1 , a 2 , ς λ m i n ( Q ) 1 / λ m a x ( P ) , a 3 2 Δ ω 2 = P 2 Δ Ξ 2 + t r Ξ T Ξ + e Δ T e Δ
Integral on both sides of inequality (64), then we have
V e 2 μ t V ( 0 ) + ι 4 μ 1 e 2 μ t sup 0 τ t Δ ω
Define χ = [ ξ 1 , e ξ , Δ Ξ , X ˜ ] T , we have
χ e μ t χ ( 0 ) + ι 2 μ 1 e μ t sup 0 τ t Δ ω
where χ ( 0 ) = [ ξ 1 ( 0 ) , e ξ ( 0 ) , Δ Ξ ( 0 ) , X ˜ ( 0 ) ] T and Δ Ξ ( 0 ) = Ξ ( 0 ) Ξ ^ ( 0 ) , Ξ ^ ( 0 ) > 0 . Therefore, the closed-loop system is ISS. Moreover, if the uncertainty does not exists, that is Δ ω = 0 , the closed-loop system is exponentially stable. □
Though the term Δ Ξ which includes the unmodeled dynamics, the external disturbance, and the higher order characteristics, the disturbance observer (43) can improve the robustness of the system without the accurate model for estimating objects.

3. Simulation results

In this section, a numerical simulation of a HAUQ is presented to verify the effectiveness of the proposed position and attitude control algorithm and the observer strategy. Design a water air crossing flight scene in which the center of gravity of the HAUQ comes out of water from point ( 0 , 0 , 0 . 5 m ) and climbs to point ( 0 , 0 , 0 . 5 m ) to drain the water inside the body. Then the control effect of the proposed position and attitude control algorithm and the disturbance observer is verified. The design parameters of the HAUQ are given by
M = 7 K g , g = 9.8 m / s 2 , l = 0.5 m , C = 1
and the fundamental moment of inertia matrix is
J = 0.325 0 0 0 0.285 0 0 0 0.181
Assume that the disturbance change caused by a large amount of water in the slender body is
M Δ = 2 × 0.005 t , J Δ = 0.01 × 0 . 005 t 0.01 × 0 . 005 t 0.01 × 0 . 005 t 0.01 × 0 . 005 t 0.01 × 0 . 005 t 0.01 × 0 . 005 t 0.01 × 0 . 005 t 0.01 × 0 . 005 t 0.01 × 0 . 005 t L Δ = F e t ( t ) F e t ( t ) F e t ( t ) F e t ( t ) F e t ( t ) F e t ( t ) F e t ( t ) F e t ( t ) 0 0 0 0 , F e t ( t ) = 0.02 × 0 . 005 t
The unmodeled items of the complex dynamics of the HAUQ are composed of state variable feedback, the wave disturbance signal, and the random noise are given by
A P ( t , η ) = 0.25 1.00 3.00 1.00 5.00 1.00 1.00 1.00 0.10 P ˙ + 0.25 s i n 3 4 π t 0.25 c o s 3 4 π t 0.25 c o s 3 4 π t + 2 r a n d ( 1 ) 2 r a n d ( 1 ) 2 r a n d ( 1 ) R Θ J 1 B ω ( ω b ) = 0.35 0.00 0.00 0.00 0.10 0.00 0.00 0.00 0.50 Θ ˙ + 0.0000001 r a n d ( 1 ) 0.0000001 r a n d ( 1 ) 0.0000001 r a n d ( 1 )
where 2 r a n d ( 1 ) is a Gaussian random signal with the standard deviation 2 , the mean value 0, and the variance 1. 0 . 0000001 r a n d ( 1 ) is also a Gaussian random signal with the standard deviation 0 . 0000001 , the mean value 0, and the variance 1. For the unknown uncertainty caused by complex dynamics, the polynomial regression method is adopted and the adaptive law is used to estimate the unknown weight. Define η 1 / 1000 = [ η 1 x , η 1 y , η 1 z ] T , η 2 = [ η 2 x , η 2 y , η 2 z ] T , ξ 1 = [ ξ 1 ϕ , ξ 1 θ , ξ 1 ψ ] T and ξ 2 = [ ξ 2 ϕ , ξ 2 θ , ξ 2 ψ ] T , where position feedback estimation η 1 after dividing by 1000 is used to estimate the uncertainty to avoid the large initial values. The basis functions are given by
Φ ( η ) = [ ( η 1 x ) 2 , ( η 1 y ) 2 , ( η 1 z ) 2 , ( η 2 x ) 2 , ( η 2 y ) 2 , ( η 2 z ) 2 , η 1 x η 1 y , η 1 x η 1 z , η 1 x η 2 x , η 1 x η 2 y , η 1 x η 2 z , η 1 y η 1 z , η 1 y η 2 x , η 1 y η 2 y , η 1 y η 2 z , η 1 z η 2 x , η 1 z η 2 y , η 1 z η 2 z , η 2 x η 2 y , η 2 x η 2 z , η 2 y η 2 z , η 1 x , η 1 y , η 1 z , η 2 x , η 2 y , η 2 z , 1 ] W ( ξ ) = [ ( ξ 1 x ) 2 , ( ξ 1 y ) 2 , ( ξ 1 z ) 2 , ( ξ 2 x ) 2 , ( ξ 2 y ) 2 , ( ξ 2 z ) 2 , ξ 1 x ξ 1 y , ξ 1 x ξ 1 z , ξ 1 x ξ 2 x , ξ 1 x ξ 2 y , ξ 1 x ξ 2 z , ξ 1 y ξ 1 z , ξ 1 y ξ 2 x , ξ 1 y ξ 2 y , ξ 1 y ξ 2 z , ξ 1 z ξ 2 x , ξ 1 z ξ 2 y , ξ 1 z ξ 2 z , ξ 2 x ξ 2 y , ξ 2 x ξ 2 z , ξ 2 y ξ 2 z , ξ 1 x , ξ 1 y , ξ 1 z , ξ 2 x , ξ 2 y , ξ 2 z , 1 ]
The unknown matrix Ω R 21 × 3 and Ξ R 21 × 3 are estimated though the adaptive laws (18) and (48). The estimate of A P ( t , η ) and B ω ( t , ω b ) R Θ J 1 B ω ( ω b ) are
A ^ P ( t , η ) = Ω ^ T Φ ( η ) , B ^ ω ( t , ω b ) = Ξ ^ T W ( ξ )
The disturbance caused by extra factors such as gusts is assumed as
Δ 1 = 0.0005 sin 1 4 π t , Δ 2 = 0.0005 cos 1 4 π t
The gain parameter matrix of the control law and the and the adaptive control law are given by
A = 1.00 0.00 0.00 0.00 1.00 0.00 0.00 0.00 1.00 , B = 1.00 0.00 0.00 0.00 1.00 0.00 0.00 0.00 1.00 , C = 100.00 0.00 0.00 0.00 100.00 0.00 0.00 0.00 100.00 , D = 0.001 0.00 0.00 0.00 0.001 0.00 0.00 0.00 0.001
Denote Q 12 × 12 = 10 I 12 × 12 , solve the linear matrix inequalities (LMI) (49), we can obtain a proper P 12 × 12 > 0 where I 12 × 12 is the identity matrix. In the simulation, the initial values of P is P ( 0 ) = [ 0 , 0 , 0 . 5 ] T and the others are 0. The simulation results are shown in Figure 2, Figure 3, Figure 4, Figure 5, Figure 6, and Figure 7.
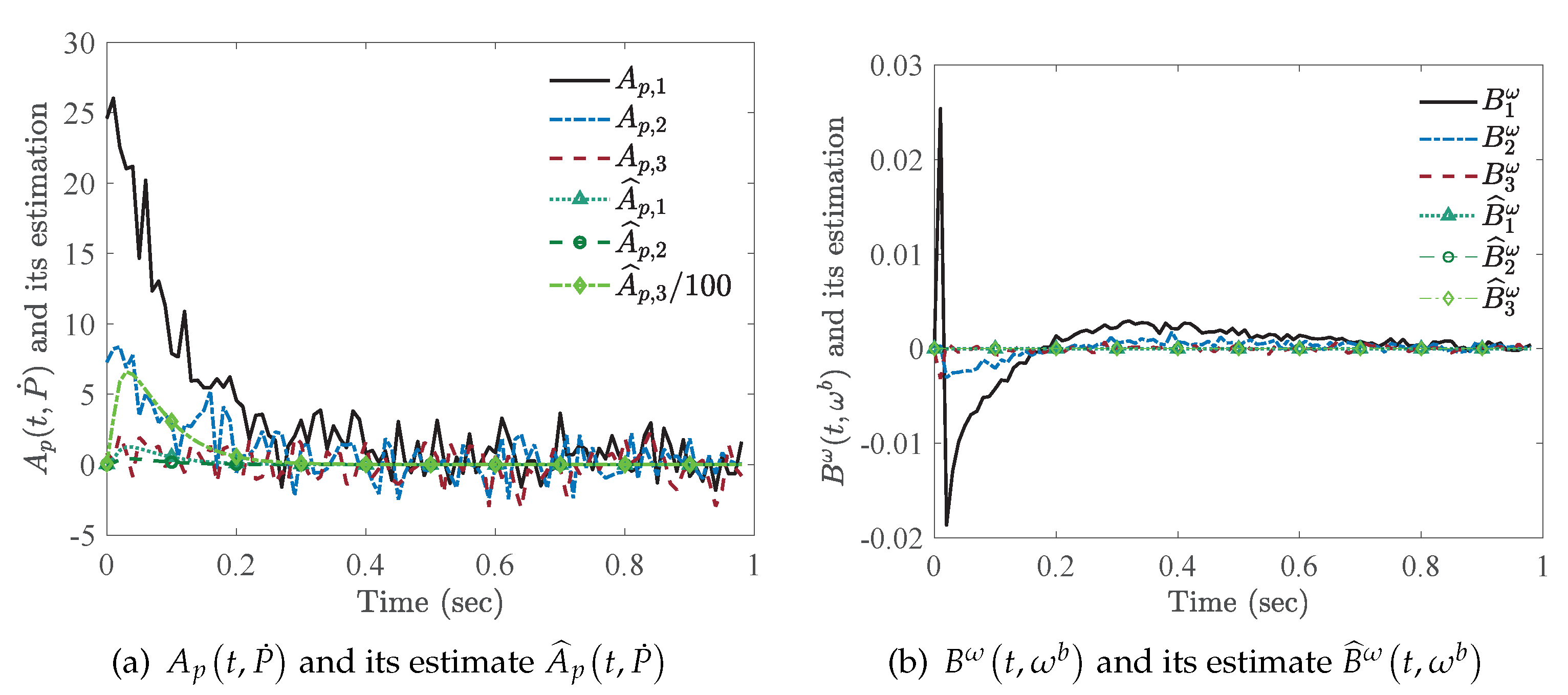
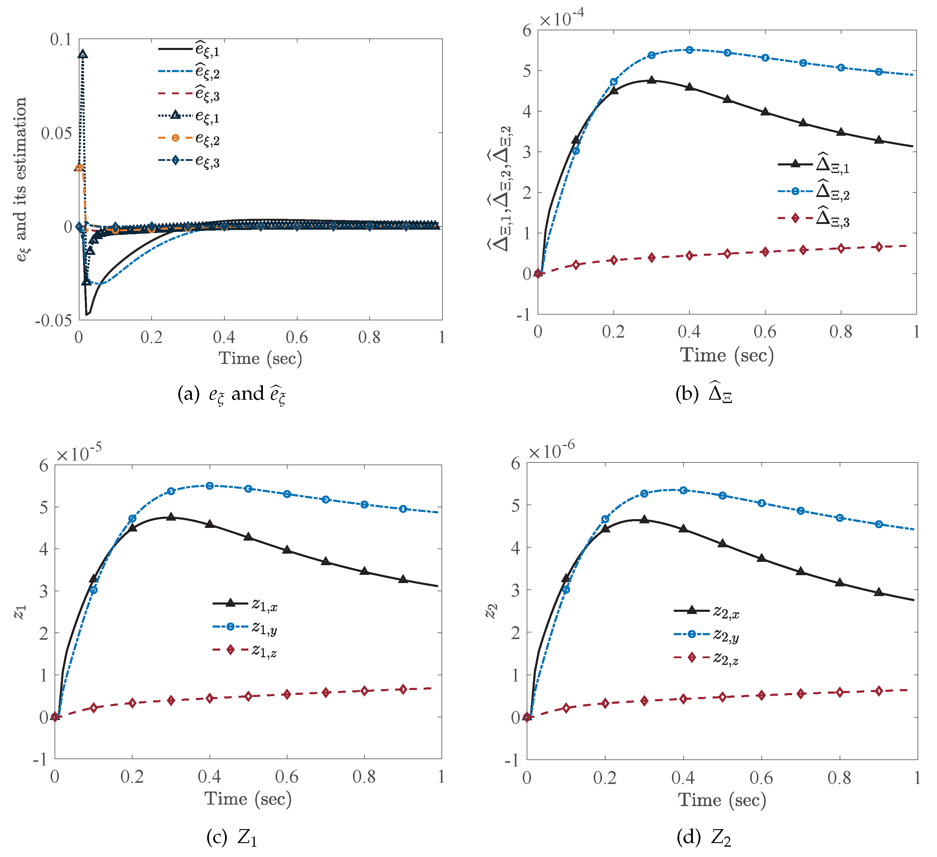
Figure 2 shows the position and the velocity curves in ( x , y , z ) directions. Figure 2(a) and Figure 2(b) illustrate that the position changes of the HAUQ in the two directions of x-axis and y-axis are less than 10 × 10 4 m and 4 × 10 4 m , which shows that the HAUQ climbs. After t > 0 . 6 s seconds, Figure 2(c) illustrates that the HAUQ reaches the fixed point hover drainage position. Figure 2(d) gives the velocity curves of ( x , y , z ) . The velocity in x-axis and y-axis is less than 0 . 02 m / s , and that in z-axis is less that 8 m / s . Figure 3(a) gives the change curves of attitude angle ( ϕ , θ , ψ ) and its desired angle command ( ϕ c m d , θ c m d , ψ c m d ) . Figure 3(b) gives the change curves of attitude angular rate. The roll rate, the pitch rate, and the yaw rate are all less than 0 . 05 r a d / s . Figure 4 shows the curves of the disturbance observer states ( e ξ , e ^ ξ ) , Δ ^ ξ , Z 1 , Z 2 . Figure 4(a) shows that e ^ ξ can realizes the dynamic observation of e ξ . Figure 4(b) gives the estimate Δ ^ Ξ of Δ Ξ . The state variables Z 1 and Z 2 are shown in Figure 4(c) and Figure 4(d). The approximation effect of the uncertainty term caused by complex kinematics is shown in Figure 5. Figure 5(a) illustrates that our proposed method combined with the adaptive approach and the polynomial method has good effect, and the initial value of disturbance estimation in z direction of A p ( t , P ˙ ) reaches about 700 due to the position feedback in approximation. The disturbance term B ω ( t , ω b ) and its estimation are shown in Figure 5(b). The control input curves of position ( x , y , z ) and the attitude ( ϕ , θ , ψ ) are given in Figure 6. Finally, the tree-dimensional flight trajectory of the mass center of the HAUQ in water surface takeoff is shown in Figure 7 which means that the HAUQ can achieve climbing and hover drainage as the fixed point ( 0 , 0 , 0 . 5 m ) with the proposed control algorithm, the uncertainty estimator and the disturbance observer.

4. Conclusions

In order to solve the problem of climbing and draining water of a slender HAUQ, a robust position and attitude control law with the adaptive law of the unknown approximation weights and a four-order disturbance observer are proposed by using the robust control method, the uncertainty approximation approach, and the disturbance observer. The proposed control law can effectively compensate and suppress the model uncertainty and the additional disturbance caused by the drainage, the multimedia complex dynamics, the gust, and other factors. Numerical simulation shows its effectiveness.

Author Contributions

Conceptualization L. F.; methodology, L.F..; software, L.F.; validation, Y. D.; formal analysis, Y.D.; investigation, L. F..; resources, L.F.; data curation, L.F.; writing—original draft preparation, L.F.; writing—review and editing, L.F.; visualization, L.F..; supervision, Y.D.; project administration, L.F. All authors have read and agreed to the published version of the manuscript.

Funding

This work was supported by the Feng Lei Youth Innovation Fund of CARDC, Grant/Award Numbers FL018070012, ZZZH2000907098.

Institutional Review Board Statement

Not applicable.

Informed Consent Statement

Not applicable.

Data Availability Statement

Not applicable.

Acknowledgments

The author of this article is very grateful for the support of Cross-media Vehicle Research Center of China Aerodynamics Research and Development Center and Science.

Conflicts of Interest

The authors declare no conflict of interest.

References

  1. Shkurti, F., Xu, A., Meghjani, M., Higuera, J. C. G., Girdhar, Y., Giguere, P., and Dudek, G. "Multi-domain monitoring of marine environments using a heterogeneous robot team." In 2012 IEEE/RSJ International Conference on Intelligent Robots and Systems. IEEE. 2012, pp. 1747-1753. [CrossRef]
  2. Murphy, R. R., Steimle, E., Griffin, C., Cullins, C., Hall, M., and Pratt, K. (2008). "Cooperative use of unmanned sea surface and micro aerial vehicles at Hurricane Wilma." Journal of Field Robotics, 2008, Vol. 25, No. 3, 164-180. [CrossRef]
  3. Yuan C., Licht S., and He H. "Formation learning control of multiple autonomous underwater vehicles with heterogeneous nonlinear uncertain dynamics." IEEE transactions on cybernetics, 2017, 48(10), 2920-2934. [CrossRef]
  4. Izraelevitz, J. S., and Triantafyllou, M. S. (2015, May). "A novel degree of freedom in flapping wings shows promise for a dual aerial/aquatic vehicle propulsor." In 2015 IEEE International Conference on Robotics and Automation (ICRA). IEEE. 2015, pp. 5830-5837. [CrossRef]
  5. Lu, D., Xiong, C., Lyu, B., Zeng, Z., and Lian, L. (2018, May). "Multi-mode hybrid aerial underwater vehicle with extended endurance." In 2018 OCEANS-MTS/IEEE Kobe Techno-Oceans (OTO). IEEE. 2018, pp. 1-7. [CrossRef]
  6. Yu, C., Xiang, X., Wilson, P. A., and Zhang, Q. "Guidance-error-based robust fuzzy adaptive control for bottom following of a flight-style AUV with saturated actuator dynamics." IEEE transactions on cybernetics, 2019, 50(5), 1887-1899. [CrossRef]
  7. Wu, Y., Li, L., Su, X., and Gao, B. "Dynamics modeling and trajectory optimization for unmanned aerial-aquatic vehicle diving into the water." Aerospace Science and Technology, 2019, Vol. 89, pp. 220-229. [CrossRef]
  8. Chen, Y., Helbling, E., Gravish, N., Ma, K., and Wood, R. J. "Hybrid aerial and aquatic locomotion in an at-scale robotic insect." In 2015 IEEE/RSJ International Conference on Intelligent Robots and Systems (IROS). IEEE. 2015, pp. 331-338. [CrossRef]
  9. Lu, D., Xiong, C., Zeng, Z., and Lian, L. "Adaptive dynamic surface control for a hybrid aerial underwater vehicle with parametric dynamics and uncertainties." IEEE Journal of Oceanic Engineering, 2019, Vol. 45, No. 3, 740-758. [CrossRef]
  10. Stewart, W., Weisler, W., Anderson, M., Bryant, M., and Peters, K. "Dynamic modeling of passively draining structures for aerial–aquatic unmanned vehicles." IEEE Journal of Oceanic Engineering, 2020, Vol. 45, No. 3, pp. 840-850. [CrossRef]
  11. Gao J., Proctor A., Shi Y., and Bradley, C. "Hierarchical model predictive image-based visual servoing of underwater vehicles with adaptive neural network dynamic control." IEEE transactions on cybernetics, 2015, Vol. 46, No. 10, 2323-2334. [CrossRef]
  12. Wei T., Lu D., Zeng Z., Lian L. (2022). "Trans-media kinematic stability analysis for hybrid unmanned aerial underwater vehicle." Journal of Marine Science and Engineering, 10(2), 275. [CrossRef]
  13. Drews, P., Neto, A., Campos, M. "Hybrid unmanned aerial underwater vehicle: Modeling and simulation." In 2014 IEEE/RSJ International Conference on Intelligent Robots and Systems. IEEE. 2014, pp. 4637-4642. [CrossRef]
  14. Du, X. X., Song, B. W., and Pan, G., "Effect of wave and ocean current to motion of low-velocity UUV," Key Engineering Materials, 2011, Vol. 467, pp. 75-79. [CrossRef]
  15. Teo, H., and Eng, H., "A robust AUV docking guidance and navigation approach to handling unknown current disturbances," M. S. Florida Atlantic University, USA, 2010.
  16. Hegrenes, O., Hallingstad, O., and Jalving B., "A framework for obtaining steady-state maneuvering characteristics of underwater vehicles using sea-trial data," Mediterranean Conference on Control and Automation, July 27-29, Athens-Greece, 2007. [CrossRef]
  17. Chen, W. U., and Jianbo, S. U., "Trajectory tracking of quadrotor based on disturbance rejection control," Control Theorey and Applications, 2016, Vol. 33, No. 11, pp. 1422-1430.
  18. Carrillo, L., Flores, G., Sanahuja, G., and Lozano, R. "Quad rotorcraft swithcing control: An application for the task of path following," IEEE Transactions on Control Systems Technology, 2013, VOL. 22, No. 99. [CrossRef]
  19. Yang, H., Cheng, L., Xia, Y., and Yuan, Y., "Active disturbance rejection attitude control for a dual closed-loop quadrotor under gust wind," IEEE Transactions on Control Systems Technology, 2018, Vol. 26, No. 4, pp. 1400-1405. [CrossRef]
  20. Chang, K., Ma, D., Li, T., and Xia, Y., "Active disturbance rejection and predictive control strategy for a quadrotor helicopter," IET Control Theory & Applications, 2016, Vol. 10, No. 17, pp. 2213-2222. [CrossRef]
  21. Lee, S. J., Kim, S., Johansson, K. H. , and Kim, H. J., "Robust acceleration control of a hexarotor UAV with a disturbance observer," 2016 IEEE 55th Conference on Decision and Control (CDC), 2016, pp. 4166-4171. [CrossRef]
  22. Chen, M., Xiong, S., and Wu, Q., "Tracking flight control of quadrotor based on disturbance observer," IEEE Transactions on Systems, Man, and Cybernetics: Systems, 2019, pp. 1-10. [CrossRef]
  23. Xiao, B., and Yin, S., "A new disturbance attenuation control scheme for quadrotor unmanned aerial vehicles," IEEE Transactions on Industrial Informatics, 2017, Vol. 13, No. 6, pp. 2922-2932. [CrossRef]
  24. Castillo, A., Sanz, R., Garcia, P., Qiu, W., Wang, H., and Xu, C., "Disturbance observer-based quadrotor attitude tracking control for aggressive maneuvers," Control Engineering Practice, 2019, Vol. 82, pp. 14-23. [CrossRef]
  25. Wang L and Su J. "Robust disturbance rejection control for attitude tracking of an aircraft," IEEE Transactions on Control Systems Technology, 2015, 23(6), 2361-2368. [CrossRef]
  26. Bhatkhande, P., and Havens, T. C., "Real time fuzzy controller for quadrotor stability control," IEEE International Conference on Fuzzy Systems. 2014, pp. 913-919. [CrossRef]
  27. Dierks, T., Jagannathan, S., "Output feedback control of a quadrotor UAV using neural networks," IEEE Transactions on Neural Networks, 2010, Vol. 21, No. 1, pp. 50-66. [CrossRef]
  28. Kendoul, F., Lara, D., Fantoni, I., and Lozano, R., "Real-time nonlinear embedded control for an autonomous quadrotor helicopter," Journal of guidance, control, and dynamics, 2007, Vol. 30, No. 4, pp. 1049-1061. [CrossRef]
  29. Yang, J. Q., and Zhu F. L., "Linear-matrix-inequality observer design of nonlinear systems with unknown input and measurement noise reconstruction," Control Theory & Applications, 2014, Vol. 31, No. 4, PP. 538-544. [CrossRef]
  30. Yang, J., Li, S., Sun, C., and Guo, L., "Nonlinear-disturbance-observerbased robust flight control for airbreathing hypersonic vehicles," IEEE Transactions on Aerospace and Electronic Systems, 2013, Vol. 49, No. 2, pp. 1263-1275. [CrossRef]
  31. Bu, X., Wu X., Chen, Y., Chen, Y., and Bai, R., "Nonlinear disturbance-observer-based sliding mode backstepping control of hypersonic vehicle," Control Theory & Applications, 2014, Vol. 31, No. 11, pp. 1473-1479. [CrossRef]
  32. Sira-ramrez, H., Cortes-romero, J., and Luviano-juzrez, A., "Robust linear control of nonlinear flat systems," Robust Control Theory and Applications, 2010, Vol. 20, pp. 455-477. [CrossRef]
  33. Sontag, E., "Input to state stability: basic concepts and results," Lecture Notes in Mathematics (CIME Course, Cetraro, Italy), June 2004. [CrossRef]
Figure 1. Take-off for a semi-submersible hybrid aerial underwater quadrotor on the water.
Figure 1. Take-off for a semi-submersible hybrid aerial underwater quadrotor on the water.
Preprints 77670 g001
Figure 2. Position state variables of the hybrid aerial underwater quadrotor.
Figure 2. Position state variables of the hybrid aerial underwater quadrotor.
Preprints 77670 g002
Figure 3. Attitude state variable of the hybrid aerial underwater quadrotor.
Figure 3. Attitude state variable of the hybrid aerial underwater quadrotor.
Preprints 77670 g003
Figure 4. Disturbance observer state variable of the hybrid aerial underwater quadrotor.
Figure 4. Disturbance observer state variable of the hybrid aerial underwater quadrotor.
Preprints 77670 g004
Figure 5. The unknown uncertainty and its estimate of the hybrid aerial underwater quadrotor.
Figure 5. The unknown uncertainty and its estimate of the hybrid aerial underwater quadrotor.
Preprints 77670 g005
Figure 6. Control input variable of the hybrid aerial underwater quadrotor.
Figure 6. Control input variable of the hybrid aerial underwater quadrotor.
Preprints 77670 g006
Figure 7. Three dimensional trajectory of water surface takeoff.
Figure 7. Three dimensional trajectory of water surface takeoff.
Preprints 77670 g007
Disclaimer/Publisher’s Note: The statements, opinions and data contained in all publications are solely those of the individual author(s) and contributor(s) and not of MDPI and/or the editor(s). MDPI and/or the editor(s) disclaim responsibility for any injury to people or property resulting from any ideas, methods, instructions or products referred to in the content.
Copyright: This open access article is published under a Creative Commons CC BY 4.0 license, which permit the free download, distribution, and reuse, provided that the author and preprint are cited in any reuse.
Prerpints.org logo

Preprints.org is a free preprint server supported by MDPI in Basel, Switzerland.

Subscribe

Disclaimer

Terms of Use

Privacy Policy

Privacy Settings

© 2026 MDPI (Basel, Switzerland) unless otherwise stated