Submitted:
18 June 2023
Posted:
19 June 2023
You are already at the latest version
Abstract
Keywords:
1. Introduction
2. Approaches to the Positron Anomaly Solution with Dark Matter
3. Models Used
- A model with a decay of a scalar DM particle into two positronsaccording to Lagrangianwith an accompanying decay of DM particle into two positrons and FSR photon
- and more conventional model, to be compared with, with decay of scalar DM particle into an electron and a positronaccording to Lagrangianrespectively accompanied by decay
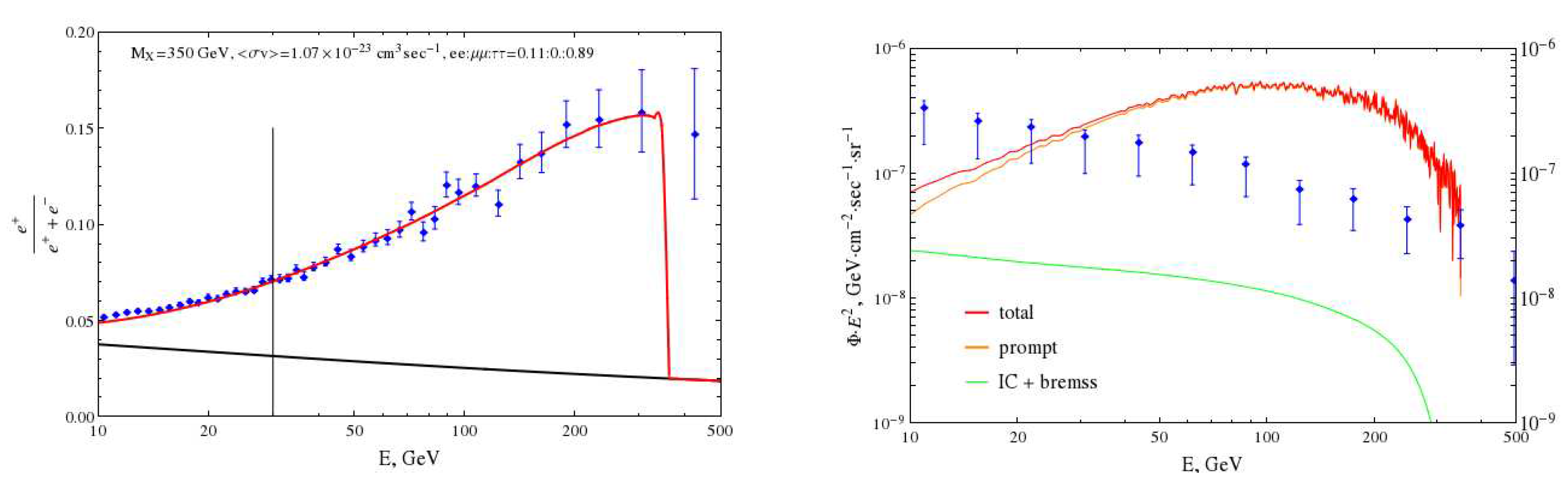
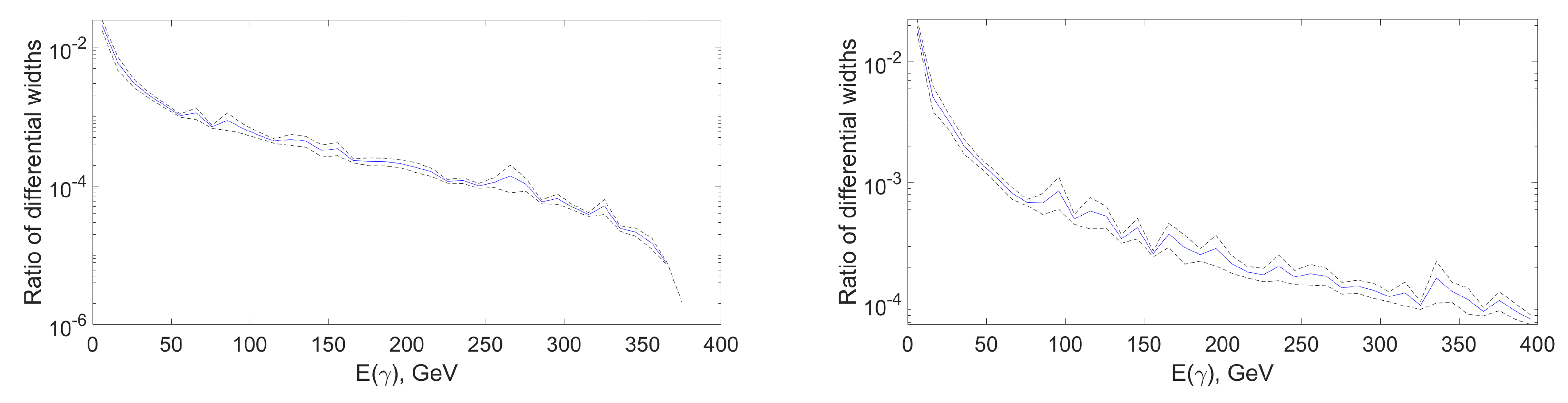
4. Results
5. Conclusion
Acknowledgments
Appendix A
References
- Adriani, Oscar, et al. An anomalous positron abundance in cosmic rays with energies 1.5–100 GeV. Nature 458.7238 2009: 607-609. [CrossRef]
- Aguilar, M., et al. First result from the Alpha Magnetic Spectrometer on the International Space Station: precision measurement of the positron fraction in primary cosmic rays of 0.5–350 GeV. Physical Review Letters 110.14 2013: 141102. [CrossRef]
- Ackermann, Markus, et al. Measurement of separate cosmic-ray electron and positron spectra with the Fermi Large Area Telescope. Physical Review Letters 108.1 2012: 011103. [CrossRef]
- G. Ambrosi, et al., DAMPE collaboration, Direct detection of a break in the teraelectronvolt cosmic-ray spectrum of electrons and positrons, Nature 552 2017 63–66. [CrossRef]
- D. Hooper, I. Cholis, T. Linden, K. Fang, Hawc observations strongly favor pulsar interpretations of the cosmic-ray positron excess, Phys. Rev. D 96 2017 103013. [CrossRef]
- S. Profumo, J. Reynoso-Cordova, N. Kaaz, M. Silverman, Lessons from HAWC pulsar wind nebulae observations: the diffusion constant is not a constant; pulsars remain the likeliest sources of the anomalous positron fraction; cosmic rays are trapped for long periods of time in pockets of inefficient diffusion, Phys. Rev. D 97 2018 123008,. [CrossRef]
- Belotsky, Konstantin M. and Kamaletdinov, Airat Kh. and Shlepkina, Ekaterina S. and Solovyov, Maxim L., Cosmic Gamma Ray Constraints on the Indirect Effects of Dark Matter Particles 2020, 3, 336–-344. [CrossRef]
- Belotsky, K. M. and Esipova, E. A. and Kamaletdinov, A. Kh. and Shlepkina, E. S. and Solovyov, M. L., Indirect effects of dark matter International Journal of Modern Physics D 2019, 28, 1941011. [CrossRef]
- Belotsky, Konstantin and Budaev, Ruslan and Kirillov, Alexander and Laletin, Maxim, Fermi-LAT kills dark matter interpretations of AMS-02 data. Or not? Journal of Cosmology and Astroparticle Physics 2017, 2017, 021–-021. [CrossRef]
- Aguilar, M. ; Ali Cavasonza, L. ; Ambrosi, G. ; Arruda, L. ; Attig, N. ; Barao, F. ; Barrin, L. ; Bartoloni, A. ; Başeğmez-du Pree, S. ; Bates, J. ; Battiston, R. ; Behlmann, M. ; Beischer, B. ; Berdugo, J. ; Bertucci, B. ; Bindi, V. ; de Boer, W. ; Bollweg, K. ; Borgia, B. ; Boschini, M. J. ; Bourquin, M. ; Bueno, E. F. ; Burger, J. ; Burger, W. J. ; Burmeister, S. ; Cai, X. D. ; Capell, M. ; Casaus, J. ; Castellini, G. ; Cervelli, F. ; Chang, Y. H. ; Chen, G. M. ; Chen, H. S. ; Chen, Y. ; Cheng, L. ; Chou, H. Y. ; Chouridou, S. ; Choutko, V. ; Chung, C. H. ; Clark, C. ; Coignet, G. ; Consolandi, C. ; Contin, A. ; Corti, C. search by orcid ; Cui, Z. ; Dadzie, K. ; Dai, Y. M. ; Delgado, C. ; Della Torre, S. ; Demirköz, M. B. ; Derome, L. ; Di Falco, S. ; Di Felice, V. ; Díaz, C. ; Dimiccoli, F. ; von Doetinchem, P. ; Dong, F. ; Donnini, F. ; Duranti, M. ; Egorov, A. ; Eline, A. ; Feng, J. ; Fiandrini, E. ; Fisher, P. ; Formato, V. ; Freeman, C. ; Galaktionov, Y. ; Gámez, C. ; García-López, R. J. ; Gargiulo, C. ; Gast, H. ; Gebauer, I. ; Gervasi, M. ; Giovacchini, F. ; Gómez-Coral, D. M. ; Gong, J. ; Goy, C. ; Grabski, V. ; Grandi, D. ; Graziani, M. ; Guo, K. H. ; Haino, S. ; Han, K. C. ; Hashmani, R. K. search by orcid ; He, Z. H. ; Heber, B. ; Hsieh, T. H. ; Hu, J. Y. ; Huang, Z. C. ; Hungerford, W. ; Incagli, M. ; Jang, W. Y. ; Jia, Yi ; Jinchi, H. ; Kanishev, K. ; Khiali, B. ; Kim, G. N. ; Kirn, Th. ; Konyushikhin, M. ; Kounina, O. ; Kounine, A. ; Koutsenko, V. ; Kuhlman, A. ; Kulemzin, A. ; La Vacca, G. search by orcid ; Laudi, E. ; Laurenti, G. ; Lazzizzera, I. ; Lebedev, A. ; Lee, H. T. ; Lee, S. C. ; Leluc, C. ; Li, J. Q. ; Li, M. ; Li, Q. ; Li, S. ; Li, T. X. ; Li, Z. H. ; Light, C. ; Lin, C. H. ; Lippert, T. ; Liu, Z. ; Lu, S. Q. ; Lu, Y. S. ; Luebelsmeyer, K. ; Luo, J. Z. ; Lyu, S. S. ; Machate, F. ; Mañá, C. ; Marín, J. ; Marquardt, J. ; Martin, T. ; Martínez, G. ; Masi, N. ; Maurin, D. ; Menchaca-Rocha, A. ; Meng, Q. ; Mo, D. C. ; Molero, M. ; Mott, P. ; Mussolin, L. ; Ni, J. Q. ; Nikonov, N. ; Nozzoli, F. ; Oliva, A. ; Orcinha, M. ; Palermo, M. ; Palmonari, F. ; Paniccia, M. ; Pashnin, A. ; Pauluzzi, M. ; Pensotti, S. ; Phan, H. D. ; Plyaskin, V. ; Pohl, M. ; Porter, S. ; Qi, X. M. ; Qin, X. ; Qu, Z. Y. ; Quadrani, L. ; Rancoita, P. G. ; Rapin, D. ; Reina Conde, A. ; Rosier-Lees, S. ; Rozhkov, A. ; Rozza, D. ; Sagdeev, R. ; Schael, S. ; Schmidt, S. M. ; Schulz von Dratzig, A. ; Schwering, G. ; Seo, E. S. ; Shan, B. S. ; Shi, J. Y. ; Siedenburg, T. ; Solano, C. ; Song, J. W. ; Sonnabend, R. ; Sun, Q. ; Sun, Z. T. ; Tacconi, M. ; Tang, X. W. ; Tang, Z. C. ; Tian, J. ; Ting, Samuel C. C. ; Ting, S. M. ; Tomassetti, N. ; Torsti, J. ; Tüysüz, C. ; Urban, T. ; Usoskin, I. ; Vagelli, V. ; Vainio, R. ; Valente, E. ; Valtonen, E. ; Vázquez Acosta, M. ; Vecchi, M. ; Velasco, M. ; Vialle, J. P. ; Wang, L. Q. ; Wang, N. H. ; Wang, Q. L. ; Wang, S. ; Wang, X. ; Wang, Z. X. ; Wei, J. search by orcid ; Weng, Z. L. ; Wu, H. ; Xiong, R. Q. ; Xu, W. ; Yan, Q. search by orcid ; Yang, Y. ; Yi, H. ; Yu, Y. J. ; Yu, Z. Q. ; Zannoni, M. ; Zhang, C. ; Zhang, F. ; Zhang, F. Z. ; Zhang, J. H. ; Zhang, Z. ; Zhao, F. ; Zheng, Z. M. ; Zhuang, H. L. ; Zhukov, V. ; Zichichi, A. ; Zimmermann, N. ; Zuccon, P. ; AMS Collaboration, The Alpha Magnetic Spectrometer (AMS) on the international space station: Part II - Results from the first seven years Physics Reports 2021, 894, p. 1-116. [CrossRef]
- Belotsky, Konstantin and Kamaletdinov, Airat and Laletin, Maxim and Solovyov, Maxim, The DAMPE excess and gamma-ray constraints Physics of the Dark Universe 2019, 26, 100333. [CrossRef]
- K. Fang, X.-J. Bi, P.-F. Yin, Explanation of the knee-like feature in the dampe cosmic e− + e+ energy spectrum, Astrophys. J. 854 2018 57,. [CrossRef]
- M. Kachelrieß, A. Neronov, D.V. Semikoz, Cosmic ray signatures of a 2–3myr old local supernova, Phys. Rev. D 97 2018 063011,. [CrossRef]
- Blum K., Katz B., Waxman E. AMS-02 Results Support the Secondary Origin of Cosmic Ray Positrons. Physical Review Letters 111.21 2013 (2013): 211101. [CrossRef]
- Tomassetti N. Cosmic-ray protons, nuclei, electrons, and antiparticles under a two-halo scenario of diffusive propagation. Physical Review D 92.8 2015 (2015): 081301. [CrossRef]
- Kappl R., Reinert A. Secondary Cosmic Positrons in an Inhomogeneous Diffusion Model. Physics of the Dark Universe 16 2017 (2017): 71–80. [CrossRef]
- Belotsky, Konstantin, et al. Decaying Dark Atom constituents and cosmic positron excess. Advances in High Energy Physics 2014 (2014): 1-10. [CrossRef]
- Belotsky, K. and Khlopov, M. and Kouvaris, C. and Laletin, M., High-energy positrons and gamma radiation from decaying constituents of a two-component dark atom model International Journal of Modern Physics D 2015, 24, 1545004. [CrossRef]
- Khlopov, Maxim Yu. Physics of dark matter in the light of dark atoms. Modern Physics Letters A 26.38 2011: 2823-2839. [CrossRef]
- Khlopov, Maxim Yu, and Chris Kouvaris. Composite dark matter from a model with composite Higgs boson. Physical Review D 78.6 2008: 065040. [CrossRef]
- Khlopov, M. Yu, C. A. Stephan, and D. Fargion. Dark matter with invisible light from heavy double charged leptons of almost-commutative geometry?. Classical and Quantum Gravity 23.24 2006 7305. [CrossRef]
- K. M. Belotsky, R. I. Budaev, A. A. Kirillov and M. L. Solovyov, Gamma-rays from possible disk component of dark matter J. Phys. Conf. Ser. 798 2017: 012084. [CrossRef]
- V. V. Alekseev, K. M. Belotsky, Y. V. Bogomolov, R. I. Budaev, O. A. Dunaeva, A. A. Kirillov et al., High-energy cosmic antiparticle excess vs. isotropic gamma-ray background problem in decaying dark matter universe Journal of Physics: Conference Series 675 2016: 012023. [CrossRef]
- V. V. Alekseev, K. M. Belotsky, Y. V. Bogomolov, R. I. Budaev, O. A. Dunaeva, A. A. Kirillov et al., On a possible solution to gamma-ray overabundance arising in dark matter explanation of cosmic antiparticle excess Journal of Physics: Conference Series 675 2016: 012026. [CrossRef]
- V. V. Alekseev, K. M. Belotsky, Y. V. Bogomolov, R. I. Budaev, O. A. Dunaeva, A. A. Kirillov et al., Analysis of a possible explanation of the positron anomaly in terms of dark matter Physics of Atomic Nuclei 80 2017: 713–717. [CrossRef]
- K. M. Belotsky, A. A. Kirillov and M. L. Solovyov, Development of dark disk model of positron anomaly origin Int. J. Mod. Phys. D27 2018: 1841010. [CrossRef]
- M.L. Solovyov, M.A. Rakhimova, K.M. Belotsky, The “Dark disk” model in the light of DAMPE experiment Proceedings of the 23rd Bled Workshop "What Comes Beyond Standard Models?" 21.2 2020: 156–161. [CrossRef]
- Brown, Robert W. Understanding something about nothing: radiation zeros. AIP Conference Proceedings Vol. 350. No. 1. American Institute of Physics, 1995. [CrossRef]
- Shlepkina, E., POSSIBLE EFFECTS IN COSMIC GAMMA RADIATION DUE TO THE DECAY OR ANNIHILATION OF DARK MATTER PARTICLES. Master’s Thesis, National Research Nuclear University MEPhI (Moscow Engineering Physics Institute), Moscow, 2020.
- E. Boos, V. Bunichev, M. Dubinin, L. Dudko, V. Ilyin, A. Kryukov, V. Edneral, V. Savrin, A. Semenov, A. Sherstnev (the CompHEP collaboration), CompHEP 4.4 - Automatic Computations from Lagrangians to Events 2004. [CrossRef]
- A.Pukhov, E.Boos, M.Dubinin, V.Edneral, V.Ilyin, D.Kovalenko, A.Kryukov, V.Savrin, S.Shichanin, A.Semenov, CompHEP - a package for evaluation of Feynman diagrams and integration over multi-particle phase space. User’s manual for version 33 2004, 534, 250–259. [CrossRef]
- http://comphep.sinp.msu.ru.
- J. Alwall, R. Frederix, S. Frixione, V. Hirschi, F. Maltoni, O. Mattelaer, H.-S. Shao, T. Stelzer, P. Torrielli, M. Zaro, The automated computation of tree-level and next-to-leading order differential cross sections, and their matching to parton shower simulations Journal of High Energy Physics 2014, 2014. [CrossRef]



Disclaimer/Publisher’s Note: The statements, opinions and data contained in all publications are solely those of the individual author(s) and contributor(s) and not of MDPI and/or the editor(s). MDPI and/or the editor(s) disclaim responsibility for any injury to people or property resulting from any ideas, methods, instructions or products referred to in the content. |
© 2023 by the authors. Licensee MDPI, Basel, Switzerland. This article is an open access article distributed under the terms and conditions of the Creative Commons Attribution (CC BY) license (http://creativecommons.org/licenses/by/4.0/).