Submitted:
02 June 2023
Posted:
07 June 2023
You are already at the latest version
Abstract
Keywords:
1. Introduction
2. Non-local strain gradient constitutive equation theory
3. Timoshenko beam theory
4. Wave Propagation Analysis
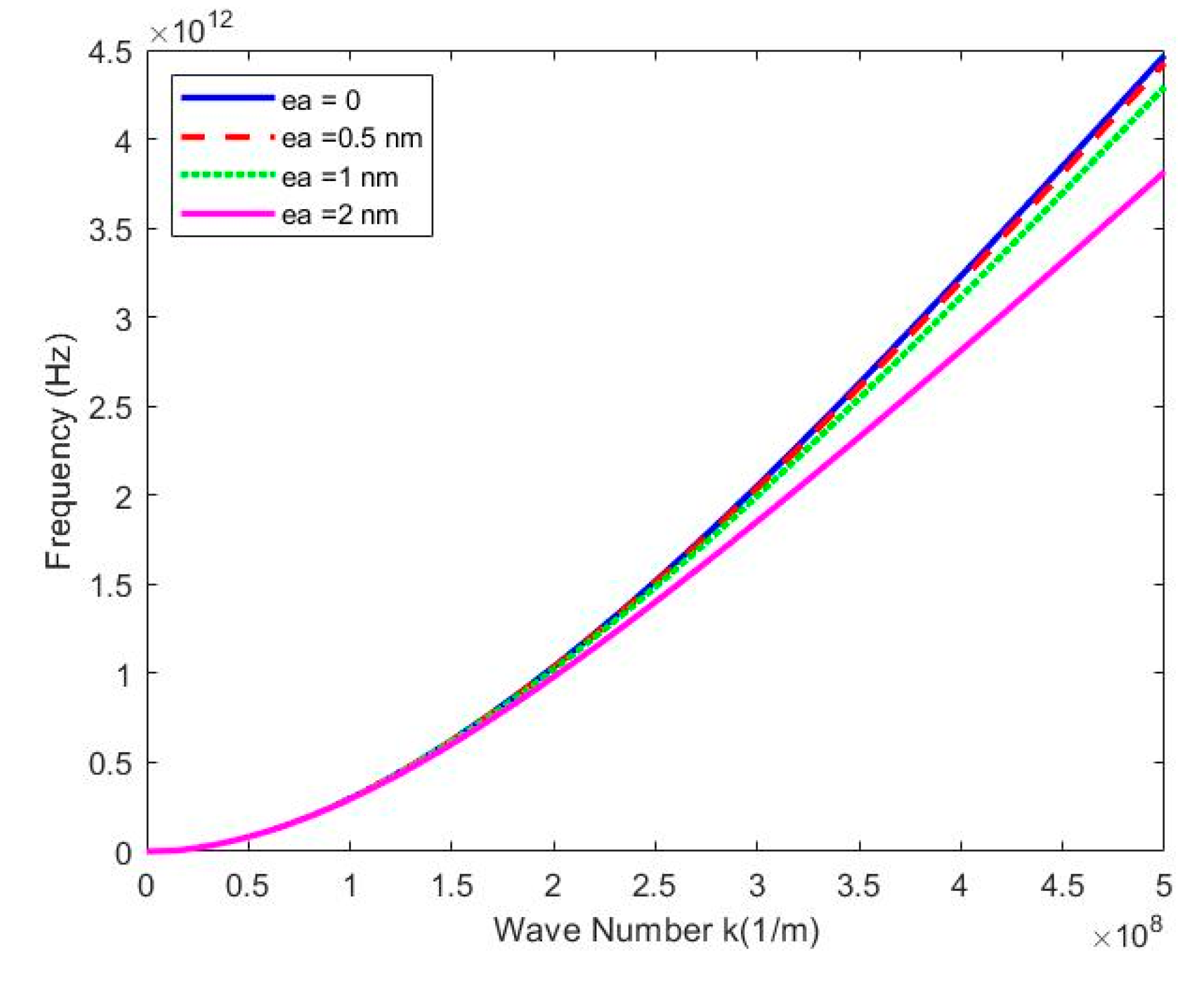
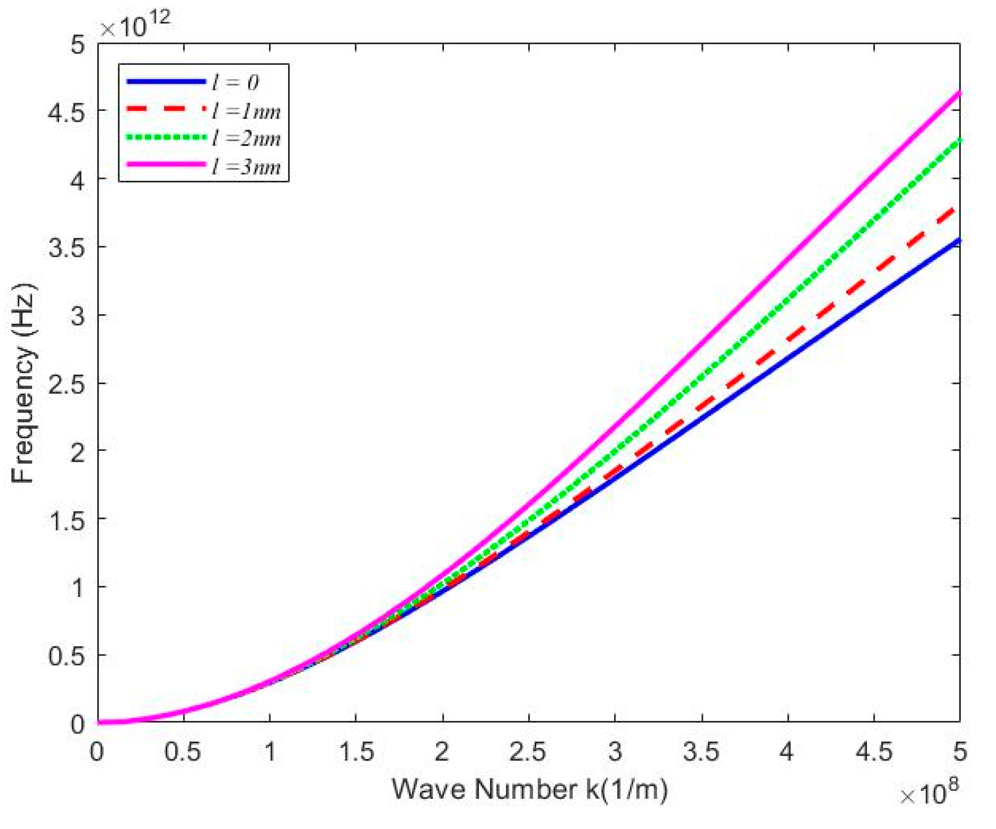
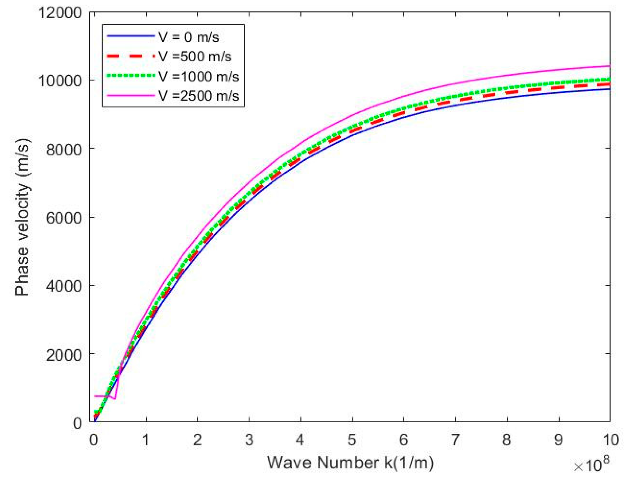
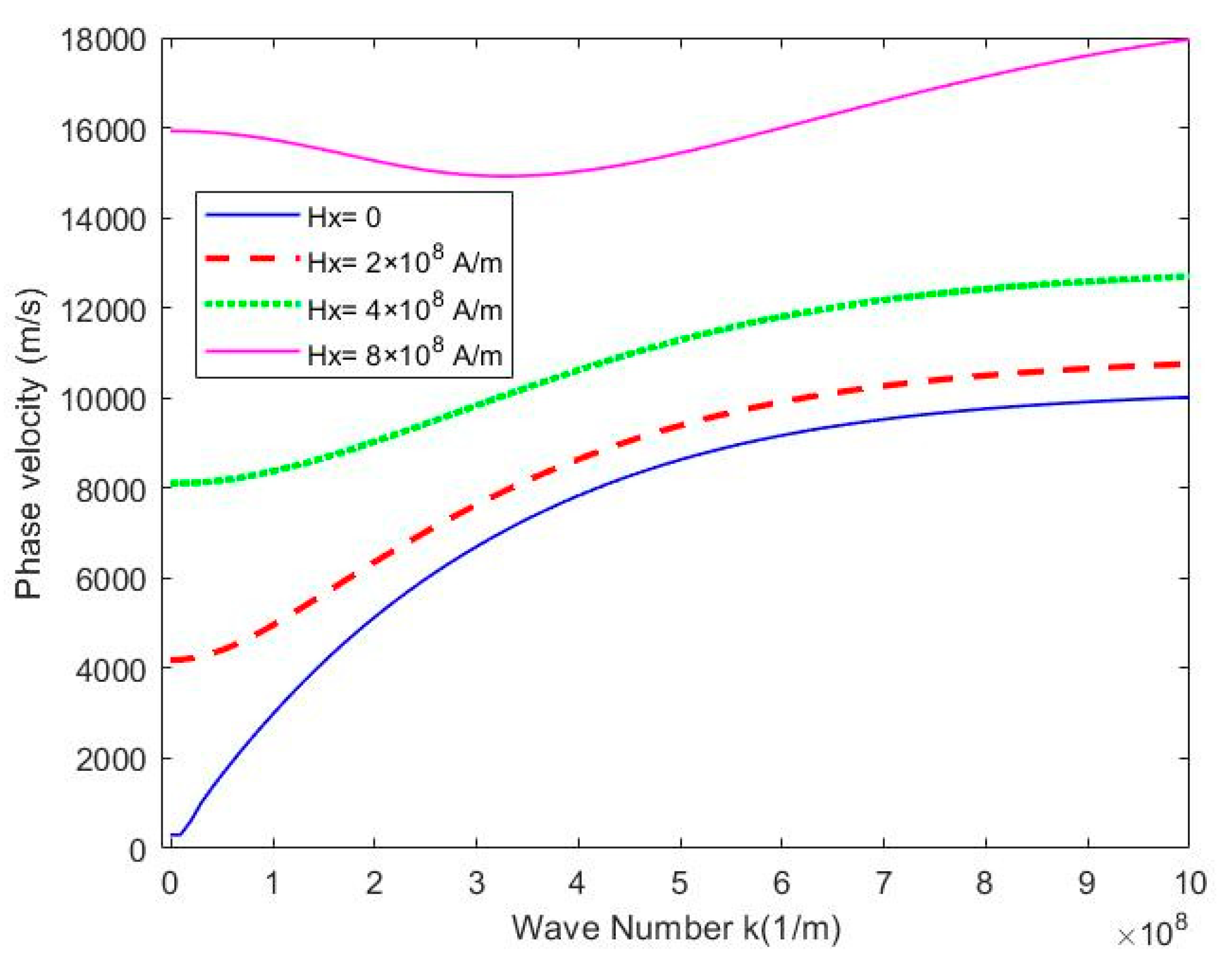
5. Numerical results and discussions
6. Conclusion
References
- Iijima, S. Helical microtubules of graphitic carbon. nature, 1991, 354, 56–58. [Google Scholar] [CrossRef]
- Gadd G E, Blackford M, Moricca S, et al. The world’s smallest gas cylinders?. Science, 1997, 277, 933–936.
- Hummer G, Rasaiah J C, Noworyta J P. Water conduction through the hydrophobic channel of a carbon nanotube. nature, 2001, 414, 188–190.
- Wong E W, Sheehan P E, Lieber C M. Nanobeam mechanics: elasticity, strength, and toughness of nanorods and nanotubes. science, 1997, 277, 1971–1975.
- Wilder J W G, Venema L C, Rinzler A G, et al. Electronic structure of atomically resolved carbon nanotubes. Nature, 1998, 391, 59–62.
- Yan Z, Jiang L. Electromechanical response of a curved piezoelectric nanobeam with the consideration of surface effects. Journal of Physics D: Applied Physics, 2011, 44, 365301.
- Bian L, Gao M. Nanomechanics model for properties of carbon nanotubes under a thermal environment. Acta Mechanica, 2018, 229, 4521–4538.
- El Jarroudi, M. A third gradient elastic material resulting from the homogenization of a von Kármán ribbon-reinforced composite. ZAMM-Journal of Applied Mathematics and Mechanics/Zeitschrift für Angewandte Mathematik und Mechanik, 2018, 98, 1666–1685. [Google Scholar] [CrossRef]
- Bian L, Li H, Cheng Y. Temperature and size-dependent modeling for predicting mechanical properties of carbon nanotubes. Applied Mathematical Modelling, 2021, 98, 518–536.
- Chang W J, Lee H L. Free vibration of a single-walled carbon nanotube containing a fluid flow using the Timoshenko beam model. Physics Letters A, 2009, 373, 982–985.
- Selvaraj R, Ramamoorthy M. Dynamic analysis of laminated composite sandwich beam containing carbon nanotubes reinforced magnetorheological elastomer. Journal of Sandwich Structures & Materials, 2021, 23, 1784–1807.
- Shahedi S, Mohammadimehr M. Nonlinear high-order dynamic stability of AL-foam flexible cored sandwich beam with variable mechanical properties and carbon nanotubes-reinforced composite face sheets in thermal environment. Journal of Sandwich Structures & Materials, 2020, 22, 248–302.
- Mitra M, Gopalakrishnan S. Wave propagation in multi-walled carbon nanotube. Computational materials science, 2009, 45, 411–418.
- Peigney A, Laurent C, Flahaut E, et al. Specific surface area of carbon nanotubes and bundles of carbon nanotubes. Carbon, 2001, 39, 507–514.
- Eringen A C, Wegner J L. Nonlocal continuum field theories. Appl. Mech. Rev., 2003, 56, B20–B22.
- Yoon J, Ru C Q, Mioduchowski A. Vibration and instability of carbon nanotubes conveying fluid. Composites Science and Technology, 2005, 65, 1326–1336.
- Yoon J, Ru C Q, Mioduchowski A. Flow-induced flutter instability of cantilever carbon nanotubes. International journal of solids and structures 2006, 43, 3337–3349. [CrossRef]
- Wang B, Deng Z, Ouyang H, et al. Wave characteristics of single-walled fluid-conveying carbon nanotubes subjected to multi-physical fields. Physica E: Low-dimensional Systems and Nanostructures, 2013, 52, 97–105.
- Wang B, Deng Z, Ouyang H, et al. Wave propagation analysis in nonlinear curved single-walled carbon nanotubes based on nonlocal elasticity theory. Physica E: Low-dimensional Systems and Nanostructures, 2015, 66, 283–292.
- Ming Z H, Ming L, Bo Z, et al. Effect of shear strain on the deflection of a clamped magnetostrictive film–substrate system. Journal of magnetism and magnetic materials, 2011, 323, 3251–3258.
- Li M, Zheng H, Luo X. Additional small-scale boundary effects on free vibration of carbon nanotubes and their macroscopic energy meaning. International Journal of Materials Research, 2014, 105, 1018–1024.
- Bahaadini R, Saidi A R, Hosseini M. Flow-induced vibration and stability analysis of carbon nanotubes based on the nonlocal strain gradient Timoshenko beam theory. Journal of Vibration and Control, 2019, 25, 203–218.
- Bahaadini R, Saidi A R, Hosseini M. On dynamics of nanotubes conveying nanoflow. International Journal of Engineering Science, 2018, 123, 181–196.
- Lim C W, Zhang G, Reddy J N. A higher-order nonlocal elasticity and strain gradient theory and its applications in wave propagation. Journal of the Mechanics and Physics of Solids, 2015, 78, 298–313.
- Li L, Hu Y. Buckling analysis of size-dependent nonlinear beams based on a nonlocal strain gradient theory. International Journal of Engineering Science, 2015, 97, 84–94.
- Li L, Hu Y, Ling L. Flexural wave propagation in small-scaled functionally graded beams via a nonlocal strain gradient theory. Composite Structures, 2015, 133, 1079–1092.
- Li L, Hu Y, Ling L. Wave propagation in viscoelastic single-walled carbon nanotubes with surface effect under magnetic field based on nonlocal strain gradient theory. Physica E: Low-dimensional Systems and Nanostructures, 2016, 75, 118–124.
- Wang Y, Bian L, Gao M. A non-local modeling for the influence of fluid forces on vibration characteristics of carbon nanotubes. Materials Science and Engineering: B, 2021, 272, 115348.
- Selvamani R, Jayan M M S, Dimitri R, et al. Nonlinear magneto-thermo-elastic vibration of mass sensor armchair carbon nanotube resting on an elastic substrate. Curved and Layered Structures, 2020, 7, 153–165.
- Ebrahimi F, Haghi P. Wave propagation analysis of rotating thermoelastically-actuated nanobeams based on nonlocal strain gradient theory. Acta Mechanica Solida Sinica, 2017, 30, 647–657.
- Ebrahimi F, Reza Barati M. Surface effects on the vibration behavior of flexoelectric nanobeams based on nonlocal elasticity theory. The European Physical Journal Plus, 2017, 132, 1–13.
- Amiri A, Vesal R, Talebitooti R. Flexoelectric and surface effects on size-dependent flow-induced vibration and instability analysis of fluid-conveying nanotubes based on flexoelectricity beam model. International Journal of Mechanical Sciences, 2019, 156, 474–485.
- Yang Y, Jinrui W, Wuhuai Y. Study on Dynamic Characteristics of Microchannel Fluid–Solid Coupling Systems in Nonlocal Stress Fields. Journal of Vibration Engineering & Technologies, 2019, 7, 477–485.
- Zhen Y X, Fang B. Nonlinear vibration of fluid-conveying single-walled carbon nanotubes under harmonic excitation. International Journal of Non-Linear Mechanics, 2015, 76, 48–55.
- Zhen Y, Zhou L. Wave propagation in fluid-conveying viscoelastic carbon nanotubes under longitudinal magnetic field with thermal and surface effect via nonlocal strain gradient theory. Modern Physics Letters B, 2017, 31, 1750069.
- Arani A G, Roudbari M A. Surface stress, initial stress and Knudsen-dependent flow velocity effects on the electro-thermo nonlocal wave propagation of SWBNNTs. Physica B: Condensed Matter, 2014, 452, 159–165.
- Bahaadini R, Hosseini M, Jamalpoor A. Nonlocal and surface effects on the flutter instability of cantilevered nanotubes conveying fluid subjected to follower forces. Physica B: Condensed Matter, 2017, 509, 55–61.
- Ghane M, Saidi A R, Bahaadini R. Vibration of fluid-conveying nanotubes subjected to magnetic field based on the thin-walled Timoshenko beam theory. Applied Mathematical Modelling, 2020, 80, 65–83.
- Pang M, Wang P, Zhang Y. Wave propagation in fluid-conveying nanotubes under multi-physical fields based on non-local higher-order strain gradient model. Micro & Nano Letters, 2019, 14, 922–927.
- Yang Y, Wang J, Yu Y. Wave propagation in fluid-filled single-walled carbon nanotube based on the nonlocal strain gradient theory. Acta Mechanica Solida Sinica, 2018, 31, 484–492.












Disclaimer/Publisher’s Note: The statements, opinions and data contained in all publications are solely those of the individual author(s) and contributor(s) and not of MDPI and/or the editor(s). MDPI and/or the editor(s) disclaim responsibility for any injury to people or property resulting from any ideas, methods, instructions or products referred to in the content. |
© 2023 by the authors. Licensee MDPI, Basel, Switzerland. This article is an open access article distributed under the terms and conditions of the Creative Commons Attribution (CC BY) license (http://creativecommons.org/licenses/by/4.0/).