Preprint
Article

This version is not peer-reviewed.

On the Safety of Implanted Breast Prostheses in Accidental Impacts

A peer-reviewed article of this preprint also exists.

Submitted:

02 June 2023

Posted:

05 June 2023

You are already at the latest version

Abstract
The employment of breast silicone implants, both in aesthetic and reconstructive medicine, is widespread thanks to their recognized biocompatibility and durability. Some critical situations, as for example in case of accidental impacts, may however induce concerns by potential patients about their use. Experimental data is collected by means of static compressive and tensile tests. Aging at 37, 60, 75° and 90° Celsius is performed in a physiological saline solution (0,9% NaCl). Impact dynamic tests are carried out using a Hybrid II anthropomorphic test dummy with the prostheses implanted. Mechanical tensile and compressive tests show mechanical degradation of the prostheses characteristics after aging. Impact dynamic tests show a great probability of breast implant rupture at speeds up to 90 km/h. Accidental events like car crashes or bad falls, are con-firmed as possible causes of significant damages to implanted prostheses. In addition, the possi-ble long-term aging of the silicone shell, although of limited relevance in terms of body compati-bility or reaction, can lead to some degradation of mechanical properties, rendering the outcome of accidental events even more worthy of attention.
Keywords: 
;  ;  ;  ;  

1. Introduction

The use of silicone breast implants for aesthetic or reconstructive surgery dates back about 60 years; since their invention by Cronin [1], it is estimated that far more than eleven million women have undergone breast implants insertion worldwide [2]. As any other surgery, breast prosthesis implantation may suffer of post-operation complications; however, additional adverse reactions may result even over long times, which may be caused both by patient individual conditions and/or by the type of implant. A wealth of medical research has been dedicated to the reliability of different commercial prostheses, so that the safe use of different types of implants, e.g., silicone gel filling vs. saline solution filling or textured vs smooth shell surface, has been sometimes questioned over the years, with effects on the public perception about their safety and leading to oscillations in their market success [3,4]. Such controversial discussions have been mainly in relation to human body compatibility and possible critical effects in medical terms. Breast Implant-Associated Anaplastic Large Cell Lymphoma (BIA-ALCL) or, Squamous Cell Carcinoma (SCC) are relevant examples of such clinical effects which find great attention by medical researchers and institutions [2,3,4,5,6].
From a mechanical point of view, the danger of rupture of the prosthesis with inner filler leakage is one of the various possible complications related to the utilization of breast implants, which potentially interests the totality of implanted women, irrespective of their medical conditions. Thus, it has been object of a number of investigations mainly aimed, again, at evidencing the possible clinical consequences and the most reliable methods to detect such damages [7,8,9]. It is generally assumed that most trauma do not involve prosthesis rupture, except in the case of impacts with sharp objects. However, it should be considered that, in case of high viscosity silicone gel filler, accidental ruptures may remain undetected for long times with little or no sign for the involved person [10,11]. Nonetheless, slow, silent perfusion of the gel in the surrounding body tissues may occur with adverse results not immediately evident, so that the actual ruptures may be possibly much more common than expected [12].
In this framework, the chance to investigate at what extent mechanical stresses due to fortuitous impacts occurring in human life, as for instance car collisions or accidental bad falls, may result critical for the implant integrity and can lead to probable important gel leakages becomes of great relevance. Moreover, considering that the duration of implanted prostheses may exceed 30 years [13], it is important that, in addition to clinical compatibility, material ageing effects over the mechanical failure probability are estimated. Previous studies indicate a possible significant, although limited, effect of aging over viscoelastic behaviour of medical grade silicone rubbers [14,15]. On the other end, it should be underlined that most medical studies are dedicated to post-ruptures effects, while engineering based investigations about the conditions leading to possible implant failures are quite limited.
Previous indications, gathered from preliminary experimental tests with explanted prostheses, suggest that accidental impacts, as those experienced in car crashes can produce prosthesis rupture followed by relevant gel leakage. In addition, it was argued that shell mechanical response can be significantly affected by ageing in the body conditions; whether gel swelling or silicone shell material ageing should be considered as main causes of such changes, is still under discussion [16,17,18,19].
In this paper, the results of crash tests with anthropomorphic dummies carrying prostheses and impacting at different velocities, representative of typical car accident situations, are presented and discussed. At the same time, a research program has been started to study the long-term, mechanical aging of initially new prostheses. At the global prosthesis level, squeezing load and failure pressure as function of ageing at the body conditions are being tested. At the shell material level, silicone shell strength, ultimate elongation and stiffness after ageing at different temperatures and for different times are being characterized, with the goal of estimating the long-term variability of shell mechanical properties. The results of ageing tests up to 10 months in a wide temperature range are here reported and discussed; longer term aging results will be later presented, as soon as they become available.

2. Materials and Methods

New prostheses with round shape and microtextured surface, produced by a primary manufacturer were employed for static mechanical tests and for aging tests. Explanted prostheses not previously damaged were employed for car-crash tests. These prostheses, produced by the same manufacturer, were also round, surface microtextured and were explanted from living patients for medical reasons, not related to implants integrity. No evident damage was observed in these prostheses; however, the time lapse between insertion and explantation could not be gathered.
Following a similar procedure previously set up with different used prostheses [19], squeezing tests were performed with new items. Two identical round prostheses of 275 cm3 volume (Figure 1) were tested in compression between flat steel plates at a constant crosshead rate of 5 mm/min by a MTS858 Mini Bionix II dynamometer. Compressive load, prostheses thickness and diameters were registered during the tests by a 15 kN load cell and by video recording. The internal pressure was estimated as the ratio between load and contact area between prosthesis and compression plate. A first, unaged item was pressed until rupture to estimate the rupture load and internal pressure. The second was pressed at 70 % of the estimated failure load, after aging at 37 °C in physiological saline solution (0.9 %, NaCl). Results of compression tests up to ten months aging was reached. Longer term tests are under way.
To investigate the effects of time and temperature aging on the shell properties, three new prostheses, from the same manufacturer and of the same type, were opened with a blade and carefully cleansed with paper towels after complete removal of the internal gel. Microtensile specimens were cut from the upper part of the shell, with dimensions according to ASTM D1708, by a die cutter (Figure 2). No specimens from the lower side of the prostheses were used since the thickness was consistently higher than the top side. Measurements were taken at different positions for each specimen with a micrometre gauge, indicating an average thickness of 0,521 mm ±0,022 mm.
Different sets of specimens, in groups of 15, were immersed in physiological solution maintained at 37 °C, 60 °C, 75 °C and 90 °C; these are being periodically tensile tested after aging for long times at each temperature level. The results will be correlated and discussed with the aim to estimate the aging rate in the body temperature conditions. In order to get a fast, preliminary indication about possible physical ageing sensitivity, two subsets of specimens, from different prosthesis of the same type, were maintained for one month and two months at 90 °C in saline solution. Unaged specimens and aged specimens were tensile tested at 50 mm/min elongation rate up to failure with an INSTRON 4302 testing machine (1000 N load cell). Strength, elongation and stiffness were thus evaluated and compared. Analogous tests and evaluations were done for specimens maintained in saline solution at different temperatures which have reached six months aging.
Crash tests to simulate car accidents were performed with a facility at the transport safety laboratory (LaST) at Politecnico di Milano. An anthropomorphic dummy (Hybrid II; H2-50) with round prosthesis applied over breast position by adhesive tape was placed on a seat and fixed by a four-point seat belt; the seat was mounted on the testing sled which can be accelerated along an 80 m rail at the desired speed by a controlled pneumatic ram. Hybrid II dummy is regularly employed for the testing of aeronautic seats and vehicle safety belts. A decelerating/stopping system based on energy absorbers made of plastically deformable aluminium tubes, allows to simulate a crash; the selection of proper deformable absorber dimensions and thickness, allows to select a controlled deceleration program, which is recorded by accelerometers mounted on the sled. Tests at 50 km/h and 90 km/h impact speed were performed. The same absorbers, corresponding to a maximum deceleration of about 25g, were selected for both impacts. The whole progress of acceleration and impact events were also recorded by a high speed, Phantom -V210 video camera. Visual inspection of prostheses after impacts was carried out to evidence possible shell damage and/or relevant loss of internal gel.

3. Results

Following previous experiences [16,19], static, compression tests were applied to record and characterize the response of breast prostheses up to silicone shell breaking. In particular, the tests allowed the estimation of the failure pressure of the new prostheses examined and the corresponding biaxial strength of the silicone rubber shell.
Static tests were carried out on two equal, round shape, breast implant, with a volume of 275 cc, a diameter of 11.7 cm and a nominal side projection of 3.7 cm. One of the specimens was compressed till rupture, while the second was compressed, after an ageing period, at 70% of the measured rupture load.
Figure 3 shows the compression set-up during the tests and at the end, when the prosthesis shows clear rupture. Throughout the tests, load, plates positions and contact area between deformed prosthesis and plates were recorded to evaluate the internal pressure and stress at rupture. In Figure 4 the load-displacement curves are reported, for the test done on a new prosthesis and on a prosthesis aged in saline solution at 37 °C, for three months, six months and ten months compressed up to 70% of previously measured rupture load. After each test, the aged prosthesis was placed again in the heated bath to continue the aging process. The compression test is being periodically repeated, with the same loading condition (up to 70% of rupture load) until failure, to verify the possible influence of ageing on the overall behaviour of the prostheses, in particular over shell rupture strength and elongation.
The measured rupture load for the new prosthesis was 7650 N, reached at a final prosthesis thickness of 8,44 mm. The internal pressure at rupture was about 2.35 bar. It is also to be noted that for the new prosthesis, rupture was reached at an internal pressure similar, but somewhat higher, to that (about 2 bars) previously measured with prostheses explanted from living patients [19]. Although, for the latter, the implantation time-period was not known, it is likely that such difference is consequence of ageing.
Compression tests performed with new prosthesis after short ageing times (3, 6 and 10 months) at 37 °C in saline solution at 70 % of estimated rupture force did not evidence sign of failure. In these tests, the prosthesis was pressed at 5359 N, corresponding to a maximum estimated internal pressure was of 1.76 bar, i.e., about 75% of the rupture pressure. The same prosthesis will be tested after longer time-periods in the same aging conditions. Figure 4 shows the compression load-displacement curves recorded for new and three, six and ten months aged prostheses. A significant increasing trend of load to deformation ratio with ageing time can be observed, as consequence of an increase of shell stiffness and/or an increase of elasticity of the filler gel.
Figure 4. Uniaxial compression load-displacement curves for new (up to failure) and aged prosthesis.
Figure 4. Uniaxial compression load-displacement curves for new (up to failure) and aged prosthesis.
Preprints 75528 g004
Two dynamic tests were carried out on explanted round prostheses, of the same producer, with a volume of 330 cc, to reproduce car accident effects at different vehicle speed. The shell thickness, measured after the tests, corresponded (0.52 mm) to that of the new prostheses employed in static tests. The implants were fixed on an anthropomorphic dummy by adhesive tape; a safety belt passing over the prosthesis was positioned. Figure 5 shows the prosthesis assembly on the dummy for the tests.
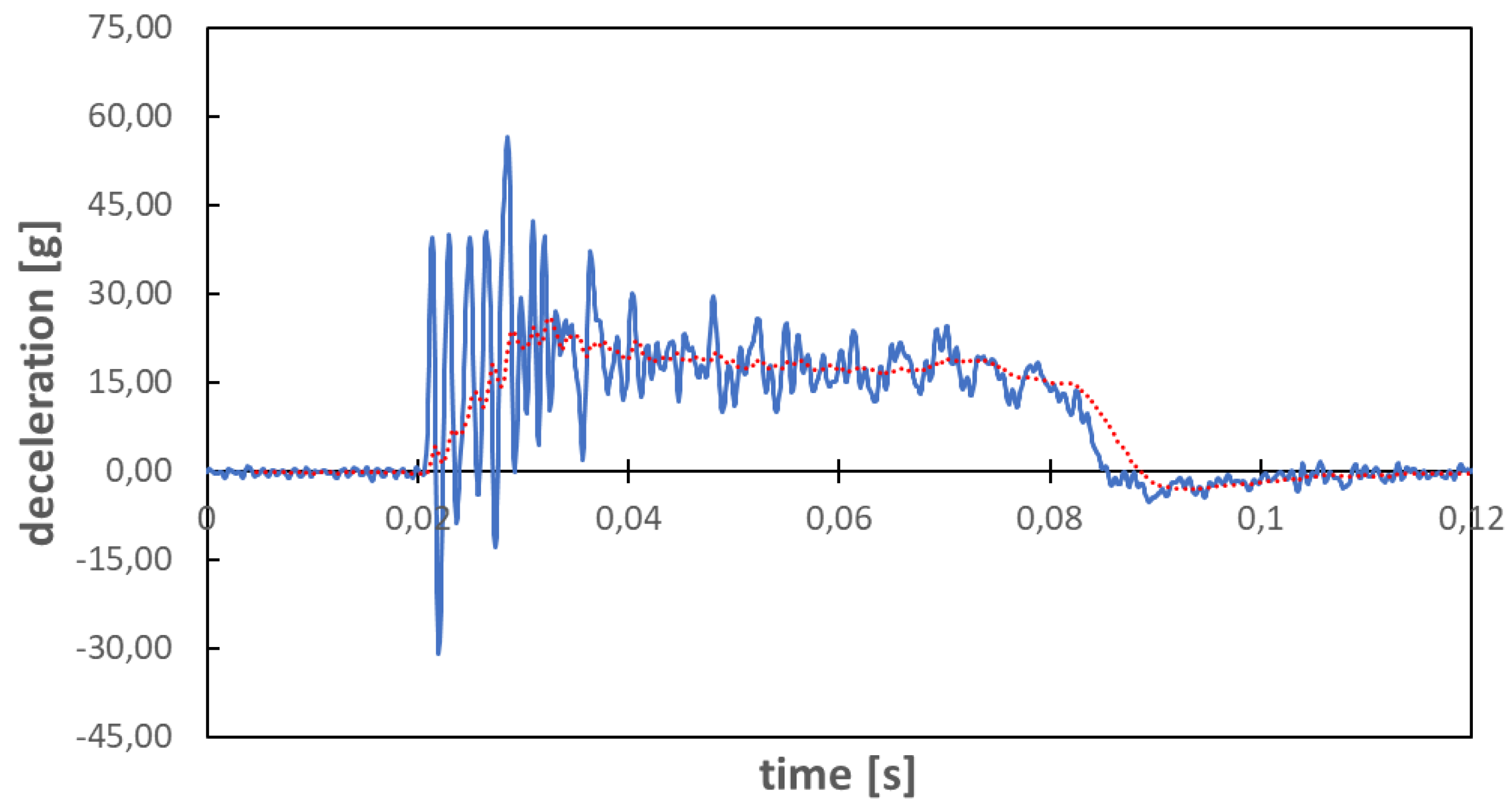
The recordings of the time history corresponding to the impact event for the two tests at 50 km/h and 90 km/h confirmed a maximum deceleration of about 25 g in both cases; this value is consistent with that experienced by a passenger on a vehicle during a frontal impact against a rigid barrier [20]. Figure 6 reports the deceleration vs time results for the impact at 50 km/h; blue line indicates the unfiltered signal from the accelerometer fixed on the sled, while red line indicates the filtered result. It can be observed that after a peak corresponding to the onset of plastic deformation of the aluminium stopper, a fairly constant deceleration of about 20 g occurs during the whole pulse time. In case of impact at 90 km/h, as expected in consideration of the same stopper used, a quite similar deceleration peak was recorded, but with a longer pulse time.
Figure 7 shows two frames from the video recordings of the seat/dummy during the crash tests: a relevant compression of the prosthesis was evident. A visual inspection after the impacts showed that at the lower speed no clear damage of the prosthesis was observed; on the other hand, after impact at 90 km/h a rupture with some, although limited, internal gel leakage was clearly evidenced (Figure 8).

4. Discussion

Preliminary tests of shell specimens after different ageing conditions, i.e., new and after permanence at 90 °C in saline solution for one and two months, showed a significant reduction of failure elongation with aging and a corresponding variation of strength, notwithstanding the relatively limited exposure time. However, these results were later compared with those from specimens aged six months at 90°C, which confirmed the decreasing trend of the materials properties (Figure 10). Such variations suggest that high temperature aging can produce physical changes in the polymeric elastomer, possibly with increase of crosslinking density.
Table 1 reports the strength and strain at failure changes after different aging programs.
Table 1. – Mechanical degradation of unaged and aged shell material.
Table 1. – Mechanical degradation of unaged and aged shell material.
Strength degradation Strain degradation
Unaged 0 % 0 %
Aged – 90°C in saline solution (1 month) 6 % 9 %
Aged – 90°C in saline solution (2 months) 2 % 10 %
Aged – 90°C in saline solution (6 months) 20 % 25 %
Figure 10. Decrease in strength and strain during aging.
Figure 10. Decrease in strength and strain during aging.
Preprints 75528 g009
A further confirmation of the mechanical response trend with time comes from the results of six months aging for the specimens maintained at four different temperatures: tensile tests outcome showed evident increase of silicone stiffness with aging time, which becomes more relevant the higher the temperature. Table 2 reports the strength and strain at failure values after six months aging, while Figure 11 shows tensile load vs. displacement curves of aged silicone samples compared to unaged material.
Table 2. – Mechanical properties of unaged and aged shell material.
Table 2. – Mechanical properties of unaged and aged shell material.
Strength (MPa) Strain (%)
Unaged 4,88 ± 0,51 561 ± 31
Aged – 37°C in saline solution (6 month) 4,85 ± 0,64 545 ± 45
Aged – 60°C in saline solution (6 months) 4,71 ± 0,41 514 ± 26
Aged – 75°C in saline solution (6 months) 3,89 ± 0,29 443 ± 19
Aged – 90°C in saline solution (6 months) 3,93 ± 0,46 420 ± 24
Figure 11. Tensile load-displacement curves for new and aged shell material.
Figure 11. Tensile load-displacement curves for new and aged shell material.
Preprints 75528 g010
Although the aging conditions here reported are only partially comparable with those relevant in real implants, these results again confirm that long term physical and mechanical changes of shell response are to be expected. Since aging is still ongoing, such modifications will be better investigated and evaluated at longer times.
The recorded material changes, i.e., failure elongation reduction and stiffening, and their dependence with aging time and temperature, suggest that long-term aging can produce variations in the elastomer molecular structure, possibly consisting of an increase of crosslinking density.
The internal pressure estimated at rupture in uniaxial compression tests may be used as an estimate of all those cases where pressure external loads on the breasts are relevant, like in high depth scuba diving. In this situation much depends on the location of the implants which can be placed either behind the breast tissue, sub-glandular, or behind the pectoralis chest muscles, sub-muscular. Moreover, the maximum pressure load is significant with reference to potentially critical impacts with blunt objects, as for example in a car crash with the passenger wearing a safety belt over the breast or in case of a person with implanted prosthesis falling flat on her chest. Such impacts may be significantly more severe than those prescribed by EN ISO 14607-2018, which is the reference Standard for mammary implants, involving the implant compression by a falling weight of limited energy.
Although the configuration adopted for the dynamic tests is typical for racing cars, breast injuries due to the pressure of seat belts are reported as not uncommon [21].
Of course, a limited damage of the shell does not imply an immediate medical intervention and the results here reported do not intend, by no means, to suggest avoiding the adoption of safety belts and airbags, which is certainly of paramount importance to prevent primary injuries to vehicle passengers in case of accidents [22]. On the other hand, secondary damages which may produce long term effects cannot be excluded and should be considered in post-accident medical investigations by aware physicians. This recommendation becomes even more substantial with the aging of implanted prostheses, which can lead to significant changes in the mechanical response.

5. Conclusions

Breast implants for aesthetical or medical purposes are widespread since many decades. As other medical implants, their production and distribution has been regulated by specific requirements, mainly regarding their body compatibility and durability from medical points of view. The chance of mechanical damages during their lifetime are however extensively reported and documented in the medical literature; moreover, indications exist, suggesting that actual silent damages are consistently more diffuse than expected. In this scenario, situations can be assumed which suggest particular attention in relation to the safety of breast implants. Accidental events like car crashes or bad falls, are here confirmed as possible causes of significant damages to implanted prostheses. In addition, the possible long-term aging of the silicone shell, although of limited relevance in terms of body compatibility or reaction, can lead to some degradation of mechanical properties, rendering the outcome of accidental events even more worthy of attention.

Author Contributions

“Conceptualization, Gerardus Janszen, Valeriano Vinci, Luca di Landro; methodology, Gerardus Janszen, Valeriano Vinci, Luca di Landro; software, Michela Arnoldi; validation, Gerardus Janszen, Luca di Landro.; formal analysis, Gerardus Janszen, Luca di Landro, Michela Arnoldi; investigation, Michela Arnoldi; resources, Valeriano Vinci, Marco Klinger; data curation, Michela Arnoldi; writing—original draft preparation, Michela Arnoldi; writing—review and editing, Gerardus Janszen, Luca Di Landro; visualization, Michela Arnoldi; supervision, Gerardus Janszen, Luca Di Landro; project administration, Gerardus Janszen, Luca Di Landro, Valeriano Vinci; funding acquisition, Gerardus Janszen, Valeriano Vinci, Marco Klinger. All authors have read and agreed to the published version of the manuscript.”.

Funding

“This research was funded by the Italian Ministry of University and Research - Project MUR- PRIN 2020, Prot. 2020LYY27Z, “Breast implants safety: is our knowledge enough?”.

Conflicts of Interest

“The authors declare no conflict of interest.” “The funders had no role in the design of the study; in the collection, analyses, or interpretation of data; in the writing of the manuscript; or in the decision to publish the results”.

References

  1. Cronin, T.D., Gerow F.J., Augmentation mammoplasty: A new ‘natural feel’ prosthesis. Transactions of the Third International Congress of Plastic Surgery, Excerpta Medical, Amsterdam, pp. 41–49; 1963.
  2. Nahabedian M.Y., Plastic Surgery, vol. 5 Breast, Cap. 12 Breast implant-associated anaplastic large cell lymphoma (ALCL), 4th ed., Elsevier, 2018.
  3. Jalalabadi, F. , Doval, A.F., Neese, V., Andrews, E., Spiegel, A.J., Breast Implant Utilization Trends in USA versus Europe and the Impact of BIA-ALCL Publications. Plastic and Reconstructive Surgery - Global Open, 9(3), p. e3449, 2021. [CrossRef]
  4. EU - Scientific Committee on Health, Environmental and Emerging Risks (SCHEER), FINAL Opinion on the safety of breast implants in relation to anaplastic large cell lymphoma, 26 March 2021. https://health.ec.europa.eu/system/files/2021-04/scheer_o_018_0.pdf.
  5. Marra, A. , Viale A.G., Pileri S.A., Pravettoni G., Viale G., DeLorenzi F., Nolè F., Veronesi P.,Curigliano G., Breast implant-associated anaplastic large cell lymphoma: A comprehensive review. Cancer Treat Rev, 84, p. 101963, 2020. [CrossRef]
  6. Buchanan, P.J. , Chopra V.K., Walker K.L., Rudolph R., Greco R.J., Primary Squamous Cell Carcinoma Arising from a Breast Implant Capsule: A Case Report and Review of the Literature. Aesthetic Surgery Journal, 38(7), pp. 97–102, 2018. [CrossRef]
  7. Hillard, C. , Fowler, J.D., Barta, R., Cunningham, B., Silicone breast implant rupture: a review. Gland Surgery, 6(2), pp.163-168, 2017. [CrossRef]
  8. Handel, N. , Garcia, M.E., Wixtrom, R., Breast implant rupture: causes, incidence, clinical impact, and management. Plastic and Reconstructive Surgery, 132, pp. 1128-1137, 2013. [CrossRef]
  9. Glazebrook, K.N. , Doerge, S., Leng, S., Drees, T.A., Hunt, K.N., Zingula, S.N., Pruthi, S., Geske, J.R., Carter, R.E., McCollough,C.H., Fletcher, J.G., Ability of Dual-Energy CT to Detect Silicone Gel Breast Implant Rupture and Nodal Silicone Spread. American Journal of Roentgenology, 212(4), pp. 933-942, 2019. [CrossRef]
  10. Bengtson, B.P. , Eaves, F.F. 3rd., High-resolution ultrasound in the detection of silicone gel breast implant shell failure: background, in vitro studies, and early clinical results., Aesthetic Surgery Journal. 32(2), pp. 157-174, 2012. [CrossRef]
  11. Marchiori, E. , Camargo S. , Hochhegger B., Silicone Thorax: Another Complication of Breast Prosthesis Rupture. Arch Bronconeumol. 2019, 55, 172–173. [Google Scholar] [PubMed]
  12. Brown, S.L. , Middleton M.S., Berg W.A., Soo M.S., Pennello G., Prevalence of Rupture of Silicone Gel Breast Implants Revealed on MR Imaging in a Population of Women in Birmingham, Alabama. AJR Am. J. Roentgenol., 175(4), pp. 1057-64, 2000. [CrossRef]
  13. Prasad, K. , Zhou, R., Zhou, R., Schuessler,.D, Ostrikov, K.K., Bazaka, K., Cosmetic reconstruction in breast cancer patients: Opportunities for nanocomposite materials. Acta Biomaterialia. 86 (Mar 01), pp. 41-65, 2019. [CrossRef]
  14. Hukins, D.W.L., Mahomed, A., Kukureka, S.N., Accelerated aging for testing polymeric biomaterials and medical devices, Med. Eng. Phys. 30 (2008), 1270–1274. [CrossRef]
  15. Mahomed, A. , Hukins, D.W.L., Kukureka, S.N., Effect of accelerated aging on the viscoelastic properties of a medical grade silicone. Biomed Mater Eng. 2015;25(4):415-23. [CrossRef]
  16. Janszen, G. , Vinci, V., Klinger, M., Mechanical Characterization of Breast Prosthesis: Static Analysis, 3rd Global Conference and Expo on Applied Science, Engineering and Technology & 6th Global Congress & Expo on Materials Science and Nanoscience, Dubai, UAE, 7-9 october 2019.
  17. Necchi, S. , Molina D., Turri S., Rossetto F., Rietjens M., Pennati G., Failure of silicone gel breast implants: is the mechanical weakening due to shell swelling a significant cause of prostheses rupture?, J Mech Behav Biomed Mater., 4(8), pp. 2002-8, 2011. [CrossRef]
  18. Phillips, J.W. , de Camara D.L., Lockwood M.D., Grebner W.C., Strength of silicone breast implants, Plast Reconstr Surg., 97(6), pp. 1215-25, 1996. [CrossRef]
  19. Arnoldi M., Di Landro L., Janszen G., Klinger M., Vinci V., Safety aspects related to implanted breast prostheses”, WIT Transactions on The Built Environment, Vol 214, pp. 177-183, WIT Press, Southampton, 2022. ISBN: 1743-3509.
  20. C.M. Locey, J.F. Garcia-Espana, A. Toh, A. Belwadi, K.B. Arbogast, M.R. Maltese, Homogenization of Vehicle Fleet Frontal Crash Pulses from 2000–2010. Ann. Adv. Automot. Med. 2012, 56, 299–311.
  21. Song, C.T. , Teo, I., Song, C., Systematic review of seat-belt trauma to the female breast: a new diagnosis and management classification, Journal of Plastic, Reconstructive & Aesthetic Surgery, 68(3), pp. 382-389, 2015. [CrossRef]
  22. Febres, J.D. , García-Herrero, S., Herrera, S.,...López-García, J.R., Mariscal, M.A., Influence of seat-belt use on the severity of injury in traffic accidents. European Transport Research Review 2020, 12, 9. [Google Scholar] [CrossRef]
Figure 1. Compression-tested prostheses (volume: 275 cm3, diameter: 11.7 cm, projection: 3.7 cm).
Figure 1. Compression-tested prostheses (volume: 275 cm3, diameter: 11.7 cm, projection: 3.7 cm).
Preprints 75528 g001
Figure 2. Microtensile specimen dimensions and die-cutter for tensile tests.
Figure 2. Microtensile specimen dimensions and die-cutter for tensile tests.
Preprints 75528 g002
Figure 3. Compression test set-up.
Figure 3. Compression test set-up.
Preprints 75528 g003
Figure 5. Assembly of prosthesis on Hybrid II dummy for crash tests.
Figure 5. Assembly of prosthesis on Hybrid II dummy for crash tests.
Preprints 75528 g005
Figure 6. Deceleration vs. time of the crash event. Blue line: raw recording; red line: filtered results.
Figure 6. Deceleration vs. time of the crash event. Blue line: raw recording; red line: filtered results.
Preprints 75528 g006
Figure 7. Instant frames of the sled/dummy during impact event.
Figure 7. Instant frames of the sled/dummy during impact event.
Preprints 75528 g007
Figure 8. Rupture of the silicone shell and gel leakage after impact at 90 km/h.
Figure 8. Rupture of the silicone shell and gel leakage after impact at 90 km/h.
Preprints 75528 g008
Disclaimer/Publisher’s Note: The statements, opinions and data contained in all publications are solely those of the individual author(s) and contributor(s) and not of MDPI and/or the editor(s). MDPI and/or the editor(s) disclaim responsibility for any injury to people or property resulting from any ideas, methods, instructions or products referred to in the content.
Copyright: This open access article is published under a Creative Commons CC BY 4.0 license, which permit the free download, distribution, and reuse, provided that the author and preprint are cited in any reuse.
Prerpints.org logo

Preprints.org is a free preprint server supported by MDPI in Basel, Switzerland.

Subscribe

Disclaimer

Terms of Use

Privacy Policy

Privacy Settings

© 2026 MDPI (Basel, Switzerland) unless otherwise stated