Submitted:
26 May 2023
Posted:
29 May 2023
You are already at the latest version
Abstract
Keywords:
1. Introduction
2. Materials and Methods
2.1. Study Species
2.2. Study Sitesand Material
2.3. Climate Indices
2.4. Statistical Analysis
3. Results
3.1. Long-Term Trends in Timing of Wren Spring Passage at the southern Baltic Sea Coast
3.2. Climate Indices and the Timing of Spring Passage
4. Discussion
4.1. Multi–year Trends in the Timing of Wren Spring Migration
4.2. Effects of Conditions on Spring Migration Routes on the Timing of Spring Passage at the Baltic Coast
4.3. Effects of Conditions on Wintering Grounds on the Timing of Spring Passage
4.4. Carry-over Effects of Conditions at the Breeding Grounds on the Following Spring Passage
4.5. Carry-over Effects of Conditions on Autumn Migration on the Following Spring Passage
4.6. Long-term Irends and Inter-annual Variation in Wren’s Spring Migration in Response to Rrends and Variability in the climate indices
5. Conclusions
Author Contributions
Funding
Institutional Review Board Statement
Informed Consent Statement
Data Availability Statement
Acknowledgments
Conflicts of Interest
Appendix A. Detailed results of the models presented in the study: Table A1, Table A2, Table A3, Table A4 and Table A5, Figure A1 and Figure A2
| Year | Station | Year | Station | |||
| Hel | Bukowo -Kopań | Hel | Bukowo -Kopań | |||
| 1982 | 36 | 12 | 2002 | 30 | 36 | |
| 1983 | 49 | 46 | 2003 | 25 | 35 | |
| 1984 | 49 | 54 | 2004 | 24 | 16 | |
| 1985 | 7 | 18 | 2005 | 32 | 30 | |
| 1986 | 13 | 24 | 2006 | 36 | 33 | |
| 1987 | 16 | 37 | 2007 | 57 | 49 | |
| 1988 | 7 | 31 | 2008 | 61 | 69 | |
| 1989 | 7 | 36 | 2009 | 52 | 43 | |
| 1990 | 6 | 25 | 2010 | 18 | 26 | |
| 1991 | 7 | 55 | 2011 | 67 | – | |
| 1992 | 2 | 24 | 2012 | 33 | 49 | |
| 1993 | 8 | 21 | 2013 | 24 | 32 | |
| 1994 | 4 | 32 | 2014 | 30 | 19 | |
| 1995 | 29 | 32 | 2015 | 18 | 26 | |
| 1996 | 99 | 42 | 2016 | 41 | 31 | |
| 1997 | 19 | 13 | 2017 | 23 | 28 | |
| 1998 | 30 | 54 | 2018 | 17 | 26 | |
| 1999 | 30 | 41 | 2019 | 32 | 20 | |
| 2000 | 29 | 60 | 2020 | 40 | – | |
| 2001 | 11 | 56 | 2021 | 22 | 36 | |
| Total | 1140 | 1317 | ||||


| Climate indices | NAO_ MAR_APR |
NAO_ SEP_OCT_1Y |
NAO_ MAY_JUN_1Y |
NAO_ JUL_AUG_1Y |
MOI1_ NOV_FEB |
MOI1_ MAR_APR |
MOI1_ SEP_OCT_1Y |
SCAND_ MAR_APR |
SCAND_ MAY_JUN_1Y |
SCAND_ JUL_AUG_1Y |
TBK_ MAR_APR |
THL_ MAR_APR |
| NAO_NOV_FEB | 0.16 | 0.11 | 0.06 | -0.05 | 0.74 | -0.10 | 0.09 | -0.15 | -0.43 | -0.11 | 0.42 | 0.43 |
| NAO_MAR_APR | 0.00 | 0.12 | -0.11 | 0.20 | 0.30 | -0.09 | 0.01 | 0.13 | 0.20 | 0.30 | 0.31 | |
| NAO_SEP_OCT_1Y | 0.26 | -0.06 | -0.12 | 0.01 | 0.13 | 0.11 | 0.11 | -0.03 | 0.05 | 0.07 | ||
| NAO_MAY_JUN_1Y | 0.39 | 0.21 | 0.32 | -0.01 | 0.19 | 0.19 | 0.18 | 0.01 | 0.01 | |||
| NAO_JUL_AUG_1Y | 0.12 | 0.19 | 0.05 | 0.41 | 0.34 | 0.23 | -0.08 | -0.09 | ||||
| MOI1_NOV_FEB | -0.07 | -0.10 | -0.05 | -0.41 | 0.06 | 0.43 | 0.43 | |||||
| MOI1_MAR_APR | -0.07 | -0.23 | 0.37 | 0.29 | 0.14 | 0.13 | ||||||
| MOI1_SEP_OCT_1Y | 0.26 | 0.22 | -0.28 | -0.29 | -0.24 | |||||||
| SCAND_MAR_APR | 0.26 | 0.01 | -0.24 | -0.22 | ||||||||
| SCAND_MAY_JUN_1Y | 0.11 | -0.07 | -0.07 | |||||||||
| SCAND_JUL_AUG_1Y | -0.01 | -0.03 | ||||||||||
| TBK_MAR_APR | 1.00 |
| Parameter/Station | Mean | SD | ß slope | SE | R2 | t30 | p | 40 x ß (days) |
| Bukowo–Kopań | ||||||||
| BK_AA | – | – | -0.0432 | 0.06 | 0.02 | –0.75 | 0.46 | -1.73 |
| BK_5% | 26 Mar | 1.12 | 0.0004 | 0.02 | 0.00 | 0.03 | 0.98 | 0.02 |
| BK_50% (median) | 13 Apr | 6.07 | -0.1323 | 0.09 | 0.06 | –1.52 | 0.14 | -5.29 |
| BK_95% | 03 May | 6.02 | 0.0577 | 0.09 | 0.01 | 0.67 | 0.51 | 2.31 |
| BK_Duration of passage (5%–95%) | – | – | 0.0573 | 0.09 | 0.01 | 0.66 | 0.52 | 2.29 |
| Hel | ||||||||
| HL_AA | – | – | -0.0662 | 0.06 | 0.03 | –1.04 | 0.31 | -2.65 |
| HL_5% | 30 Mar | 3.49 | -0.0911 | 0.06 | 0.08 | –1.65 | 0.11 | -3,64 |
| HL_50% (median) | 15 Apr | 6.30 | -0.1260 | 0.10 | 0.05 | –1.27 | 0.21 | -5.04 |
| HL_95% | 07 May | 4.87 | 0.0985 | 0.08 | 0.05 | 1.28 | 0.21 | 3.94 |
| HL_Duration of passage (5%–95%) | – | – | 0.19 | 0.09 | 0.14 | 2.20 | 0.04 | 7.6 |
| Parameter | Mean date Bukowo-Kopań | Mean date Hel | Z | p |
| 5% | 26 Mar | 30 Mar | –6.33 | <0.01 |
| 50% | 13 Apr | 15 Apr | –3.60 | <0.01 |
| 95% | 03 May | 07 May | –2.97 | <0.01 |
| Response variable | Explanatory variables in models | k | AICc | ΔAICc | Wi |
|---|---|---|---|---|---|
| BK_AA | NAO_JUL_AUG_1Y | 2 | 103.92 | 0 | 0.21 |
| MOI1_SEP_OCT_1Y+NAO_JUL_AUG_1Y | 3 | 104.84 | 0.92 | 0.13 | |
| MOI1_NOV_FEB+NAO_JUL_AUG_1Y | 3 | 104.87 | 0.95 | 0.13 | |
| NAO_JUL_AUG_1Y+SCAND_MAY_JUN_1Y | 3 | 104.94 | 1.02 | 0.13 | |
| NAO_JUL_AUG_1Y+NAO_SEP_OCT_1Y | 3 | 105.11 | 1.18 | 0.12 | |
| MOI1_NOV_FEB+NAO_JUL_AUG_1Y+NAO_NOV_FEB | 4 | 105.47 | 1.55 | 0.1 | |
| NAO_JUL_AUG_1Y+TBK_MAR_APR | 3 | 105.68 | 1.75 | 0.09 | |
| MOI1_MAR_APR+NAO_JUL_AUG_1Y | 3 | 105.78 | 1.86 | 0.08 | |
| BK_5%~ | NAO_JUL_AUG_1Y+SCAND_JUL_AUG_1Y | 3 | 99.3 | 0 | 0.2 |
| MOI1_MAR_APR+NAO_JUL_AUG_1Y+SCAND_JUL_AUG_1Y | 4 | 99.38 | 0.08 | 0.19 | |
| NAO_JUL_AUG_1Y+NAO_MAR_APR+SCAND_JUL_AUG_1Y | 4 | 99.61 | 0.31 | 0.17 | |
| NAO_JUL_AUG_1Y+SCAND_JUL_AUG_1Y+TBK_MAR_APR | 4 | 99.79 | 0.5 | 0.16 | |
| MOI1_MAR_APR+NAO_JUL_AUG_1Y+SCAND_JUL_AUG_1Y+TBK_MAR_APR | 5 | 100.58 | 1.29 | 0.1 | |
| NAO_JUL_AUG_1Y+NAO_MAY_JUN_1Y+SCAND_JUL_AUG_1Y | 4 | 100.77 | 1.47 | 0.1 | |
| MOI1_MAR_APR+NAO_JUL_AUG_1Y+NAO_MAR_APR | 5 | 100.98 | 1.68 | 0.09 | |
| BK_50%~ | MOI1_MAR_APR+NAO_JUL_AUG_1Y+NAO_MAR_APR+NAO_NOV_FEB+SCAND_MAR_APR +SCAND_MAY_JUN_1Y+TBK_MAR_APR | 8 | 100.34 | 0 | 0.08 |
| MOI1_MAR_APR+NAO_JUL_AUG_1Y+NAO_MAR_APR+SCAND_MAR_APR+SCAND_MAY_JUN_1Y | 6 | 100.72 | 0.38 | 0.06 | |
| MOI1_MAR_APR+NAO_JUL_AUG_1Y+NAO_MAR_APR+SCAND_MAR_APR+SCAND_MAY_JUN_1Y+TBK_MAR_APR | 7 | 100.76 | 0.42 | 0.06 | |
| BK_50%~ | NAO_JUL_AUG_1Y+NAO_NOV_FEB+SCAND_MAY_JUN_1Y | 4 | 100.81 | 0.47 | 0.06 |
| MOI1_MAR_APR+NAO_JUL_AUG_1Y+NAO_NOV_FEB+SCAND_MAR_APR+SCAND_MAY_JUN_1Y | 6 | 100.91 | 0.57 | 0.06 | |
| NAO_JUL_AUG_1Y+SCAND_MAY_JUN_1Y | 3 | 100.98 | 0.65 | 0.05 | |
| MOI1_MAR_APR+MOI1_NOV_FEB+NAO_JUL_AUG_1Y+NAO_MAR_APR+NAO_NOV_FEB+SCAND_MAR_APR +SCAND_MAY_JUN_1Y+TBK_MAR_APR |
9 | 101.01 | 0.67 | 0.05 | |
| MOI1_MAR_APR+NAO_JUL_AUG_1Y+NAO_NOV_FEB+SCAND_MAR_APR+SCAND_MAY_JUN_1Y+TBK_MAR_APR | 7 | 101.02 | 0.68 | 0.05 | |
| NAO_JUL_AUG_1Y+NAO_NOV_FEB+SCAND_MAY_JUN_1Y+TBK_MAR_APR | 5 | 101.03 | 0.69 | 0.05 | |
| MOI1_MAR_APR+NAO_JUL_AUG_1Y+NAO_NOV_FEB+SCAND_MAY_JUN_1Y | 5 | 101.14 | 0.8 | 0.05 | |
| NAO_JUL_AUG_1Y | 2 | 101.27 | 0.93 | 0.05 | |
| MOI1_MAR_APR+NAO_JUL_AUG_1Y+SCAND_MAR_APR+SCAND_MAY_JUN_1Y | 5 | 101.28 | 0.94 | 0.05 | |
| MOI1_MAR_APR+MOI1_NOV_FEB+NAO_JUL_AUG_1Y+NAO_NOV_FEB+SCAND_MAY_JUN_1Y | 6 | 101.38 | 1.04 | 0.04 | |
| MOI1_NOV_FEB+NAO_JUL_AUG_1Y+NAO_NOV_FEB+SCAND_MAY_JUN_1Y | 5 | 101.49 | 1.15 | 0.04 | |
| MOI1_MAR_APR+NAO_JUL_AUG_1Y+NAO_MAR_APR+NAO_NOV_FEB+SCAND_MAR_APR+SCAND_MAY_JUN_1Y+TBK_MAR_APR | 8 | 100.34 | 0 | 0.08 | |
| MOI1_MAR_APR+NAO_JUL_AUG_1Y+NAO_MAR_APR+SCAND_MAR_APR+SCAND_MAY_JUN_1Y | 6 | 100.72 | 0.38 | 0.06 | |
| MOI1_MAR_APR+NAO_JUL_AUG_1Y+NAO_MAR_APR+SCAND_MAR_APR+SCAND_MAY_JUN_1Y+TBK_MAR_APR | 7 | 100.76 | 0.42 | 0.06 | |
| MOI1_NOV_FEB+NAO_JUL_AUG_1Y+NAO_NOV_FEB | 4 | 101.89 | 1.56 | 0.03 | |
| MOI1_MAR_APR+NAO_JUL_AUG_1Y+NAO_MAR_APR+SCAND_MAY_JUN_1Y | 5 | 102.1 | 1.76 | 0.03 | |
| MOI1_MAR_APR+NAO_JUL_AUG_1Y+NAO_NOV_FEB+SCAND_MAY_JUN_1Y+TBK_MAR_APR | 6 | 102.23 | 1.9 | 0.03 | |
| NAO_JUL_AUG_1Y+NAO_NOV_FEB+SCAND_MAR_APR+SCAND_MAY_JUN_1Y+TBK_MAR_APR | 6 | 102.26 | 1.92 | 0.03 | |
| BK_95%~ | NAO_JUL_AUG_1Y+SCAND_JUL_AUG_1Y | 3 | 107.41 | 0 | 0.12 |
| NAO_MAY_JUN_1Y+SCAND_JUL_AUG_1Y | 3 | 108.23 | 0.82 | 0.08 | |
| MOI1_SEP_OCT_1Y+NAO_JUL_AUG_1Y+SCAND_JUL_AUG_1Y | 4 | 108.41 | 1 | 0.07 | |
| NAO_JUL_AUG_1Y+NAO_MAY_JUN_1Y+SCAND_JUL_AUG_1Y | 4 | 108.56 | 1.15 | 0.07 | |
| NAO_JUL_AUG_1Y | 2 | 108.62 | 1.21 | 0.07 | |
| SCAND_JUL_AUG_1Y | 2 | 108.72 | 1.31 | 0.06 | |
| MOI1_SEP_OCT_1Y+NAO_MAY_JUN_1Y+SCAND_JUL_AUG_1Y | 4 | 108.76 | 1.34 | 0.06 | |
| NAO_JUL_AUG_1Y+NAO_NOV_FEB+SCAND_JUL_AUG_1Y | 4 | 108.81 | 1.39 | 0.06 |
| Response variable | Explanatory variables in models | k | AICc | ΔAICc | Wi |
|---|---|---|---|---|---|
| HL_AA | MOI1_MAR_APR+SCAND_JUL_AUG_1Y | 3 | 89.05 | 0 | 0.33 |
| MOI1_MAR_APR+NAO_MAY_JUN_1Y+SCAND_JUL_AUG_1Y | 4 | 89.84 | 0.79 | 0.22 | |
| MOI1_MAR_APR+NAO_JUL_AUG_1Y+SCAND_JUL_AUG_1Y | 4 | 90.19 | 1.14 | 0.18 | |
| MOI1_MAR_APR+MOI1_SEP_OCT_1Y+SCAND_JUL_AUG_1Y | 4 | 90.74 | 1.69 | 0.14 | |
| SCAND_JUL_AUG_1Y | 2 | 90.91 | 1.86 | 0.13 | |
| HL_5%~ | MOI1_SEP_OCT_1Y+SCAND_MAR_APR+THL_MAR_APR | 4 | 83.23 | 0 | 0.17 |
| MOI1_MAR_APR+MOI1_SEP_OCT_1Y+NAO_MAR_APR+THL_MAR_APR | 5 | 83.67 | 0.44 | 0.13 | |
| MOI1_MAR_APR+MOI1_SEP_OCT_1Y+THL_MAR_APR | 4 | 83.79 | 0.56 | 0.13 | |
| MOI1_MAR_APR+MOI1_SEP_OCT_1Y+SCAND_MAR_APR+THL_MAR_APR | 5 | 84.05 | 0.82 | 0.11 | |
| MOI1_SEP_OCT_1Y+THL_MAR_APR | 3 | 84.07 | 0.84 | 0.11 | |
| MOI1_MAR_APR+MOI1_SEP_OCT_1Y+NAO_MAR_APR+SCAND_MAR_APR+ THL_MAR_APR | 6 | 84.72 | 1.49 | 0.08 | |
| MOI1_SEP_OCT_1Y+NAO_SEP_OCT_1Y+SCAND_MAR_APR+THL_MAR_APR | 5 | 84.82 | 1.59 | 0.08 | |
| MOI1_MAR_APR+MOI1_SEP_OCT_1Y+SCAND_JUL_AUG_1Y+THL_MAR_APR | 5 | 84.84 | 1.61 | 0.07 | |
| MOI1_SEP_OCT_1Y+NAO_MAR_APR+SCAND_MAR_APR+THL_MAR_APR | 5 | 85.08 | 1.85 | 0.07 | |
| MOI1_MAR_APR+MOI1_SEP_OCT_1Y+SCAND_MAY_JUN_1Y+THL_MAR_APR | 5 | 85.21 | 1.98 | 0.06 | |
| HL_50%~ | SCAND_JUL_AUG_1Y | 2 | 88.38 | 0 | 0.16 |
| MOI1_MAR_APR+SCAND_JUL_AUG_1Y | 3 | 89.2 | 0.81 | 0.11 | |
| SCAND_JUL_AUG_1Y+SCAND_MAR_APR | 3 | 89.59 | 1.2 | 0.09 | |
| NAO_SEP_OCT_1Y+SCAND_JUL_AUG_1Y | 3 | 89.74 | 1.36 | 0.08 | |
| NAO_JUL_AUG_1Y+SCAND_JUL_AUG_1Y | 3 | 89.86 | 1.47 | 0.08 | |
| NAO_MAR_APR+SCAND_JUL_AUG_1Y | 3 | 89.91 | 1.53 | 0.08 | |
| MOI1_MAR_APR+NAO_MAR_APR+SCAND_JUL_AUG_1Y | 4 | 89.93 | 1.55 | 0.08 | |
| MOI1_SEP_OCT_1Y+SCAND_JUL_AUG_1Y | 3 | 90.08 | 1.69 | 0.07 | |
| NAO_NOV_FEB+SCAND_JUL_AUG_1Y | 3 | 90.17 | 1.79 | 0.07 | |
| MOI1_NOV_FEB+SCAND_JUL_AUG_1Y | 3 | 90.25 | 1.86 | 0.06 | |
| MOI1_MAR_APR+NAO_JUL_AUG_1Y+NAO_MAR_APR+SCAND_JUL_AUG_1Y | 5 | 90.29 | 1.9 | 0.06 | |
| NAO_MAY_JUN_1Y+SCAND_JUL_AUG_1Y | 3 | 90.3 | 1.92 | 0.06 | |
| HL_95%~ | MOI1_MAR_APR | 1 | 91.93 | 0 | 0.28 |
| SCAND_JUL_AUG_1Y | 2 | 92.87 | 0.94 | 0.17 | |
| MOI1_SEP_OCT_1Y | 2 | 93.64 | 1.71 | 0.12 | |
| NAO_MAY_JUN_1Y | 2 | 93.71 | 1.78 | 0.11 | |
| NAO_SEP_OCT_1Y | 2 | 93.8 | 1.87 | 0.11 | |
| YearN | 2 | 93.84 | 1.91 | 0.11 |
References
- Allen, M.R.; Dube, O.P; Solecki, W.; Aragón–Durand, F.; Cramer W, Humphreys S, Kainuma M, Kala J, Mahowald N, Mulugetta Y, Perez R, Wairiu M, Zickfeld K. Framing and Context. In: Global Warming of 1.5°C. An IPCC Special Report on the impacts of global warming of 1.5°C above pre–industrial levels and related global greenhouse gas emission pathways, in the context of strengthening the global response to the threat of climate change, sustainable development, and efforts to eradicate poverty [Masson–Delmotte V, Zhai P, Pörtner HO, Roberts D, Skea J, Shukla PR, Pirani A, Moufouma–Okia W, Péan C, Pidcock R, Connors S, Matthews JBR, Chen Y, Zhou X, Gomis MI, Lonnoy E, Maycock T, Tignor M, Waterfield T.]. Cambridge University Press, Cambridge, UK and New York, NY, USA, 2018, 49–92. [CrossRef]
- Newson, E.S.; Mendes, S.; Crick, H.Q.P.; Dulvy, N.K.; Houghton, J.D.R.; Hays, G.C.; Hutson, A.M.; MacLeod, C.D.; Pierce, G.J.; Robinson, R.; A. Indicators of the impact of climate change on migratory species. Endang. Species 2009, 7, 101–113. [Google Scholar] [CrossRef]
- Visser, M.E.; Both, C. ; Shifts in phenology due to global climate change: The need for a yardstick. Proceedings of the Royal Society B: Biological Sciences 2005, 272, 2561–2569. [Google Scholar] [CrossRef] [PubMed]
- Ockendon, N.; Leech, D.; Pearce–Higgins, J.W. Climatic effects on breeding grounds are more important drivers of breeding phenology in migrant birds than carryover effects from wintering grounds. Biology Letters 2013, 9, 20130669. [Google Scholar] [CrossRef] [PubMed]
- Crick, H.Q.P.; Dudley, C.; Glue, D.E.; Thomson, D.L. UK birds are laying eggs earlier. Nature 1997, 388, 526–527. [Google Scholar] [CrossRef]
- Ahola, M.; Laaksonen, T.; Sippola, K.; Eeva, T.; Rainio, K.; Lehikoinen, E. Variation in Climate Warming along the Migration Route Uncouples Arrival and Breeding Dates. Glob. Chang. Biol. 2004, 10, 1610–1617. [Google Scholar] [CrossRef]
- Carey, C. ; The impacts of climate change on the annual cycles of birds. Philosophical Transactions of the Royal Society B: Biological Sciences 2009, 364, 3321–3330. [Google Scholar] [CrossRef] [PubMed]
- Tøttrup, A.P.; Thorup, K.; Rahbek, C. Patterns of change in timing of springmigration in North European songbird populations. Journal of Avian Biology 2006, 37, 84–92. [Google Scholar] [CrossRef]
- Lehikoinen, A.; Lindén, A.; Karlsson, M.; Andersson, A.; Crewe, T.L.; Dunn, E.H.; Gregory, G.; Karlsson, L.; Kristiansen, V.; Mackenzie, S.; Newman, S.; Røer, J.E.; Sharpe, C.; Sokolov, L V.; Steinholtz, Å.; Stervander, M.; Tirri, IS.; Tjørnløv, RS.Phenology of the avian spring migratory passage in Europe and North America: Asymmetric advancement in time and increase in duration. Ecological Indicators 2019, 101, 985–991. [CrossRef]
- Vähätalo, A.V.; Rainio, K.; Lehikoinen, A.; Lehikoinen, E. Spring Arrival of Birds Depends on the North Atlantic Oscillation. J. Avian Biol 2004, 35, 210–216. [Google Scholar] [CrossRef]
- Rainio, K.; Laaksonen, T.; Ahola, M.; Vähätalo, A.V.; Lehikoinen, E. Climatic Responses in Spring Migration of Boreal and Arctic Birds in Relation to Wintering Area and Taxonomy. J. Avian Biol. 2006, 37, 507–515. [Google Scholar] [CrossRef]
- Ambrosini, R.; Cuervo, JJ.; du Feu, C.; Fiedler, W.; Musitelli, F.; Rubolini, D.; Sicurella, B.; Spina, F.; Saino, N.; Møller, AP. Migratory connectivity and effects of winter temperatures on migratory behaviour of the European robin Erithacus rubecula: A continent–wide analysis. Journal of Animal Ecology 2016, 85, 749–760. [Google Scholar] [CrossRef] [PubMed]
- Møller, A.P. North Atlantic Oscillation (NAO) effects of climate on the relative importance of first and second clutches in a migratory passerine bird. Journal of Animal Ecology 2002, 71, 201–210. [Google Scholar] [CrossRef]
- Hüppop, O.; Hüppop, K. North Atlantic Oscillation and Timing of Spring Migration in Birds. Proc. R. Soc. B Biol. Sci. 2003, 270, 233–240. [Google Scholar] [CrossRef]
- Palm, V.; Leito, A.; Truu, J.; Tomingas, O. The Spring Timing of Arrival of Migratory Birds: Dependence on Climate Variables and Migration Route. Ornis Fenn. 2009, 86, 97–108. [Google Scholar]
- Maggini, I.; Cardinale, M.; Sundberg, J.H.; Spina, F.; Fusani, L. Recent phenological shifts of migratory birds at a Mediterranean spring stopover site: Species wintering in the Sahel advance passage more than tropical winterers. PLoS One 2020, 15(9), e0239489. [Google Scholar] [CrossRef] [PubMed]
- Tøttrup, A.P.; Rainio, K.; Coppack, T.; Lehikoinen, E.; Rahbek, C.; Thorup, K. Local Temperature Fine–Tunes the Timing of Spring Migration in Birds. Integr. Comp. Biol. 2010, 50, 293–304. [Google Scholar] [CrossRef] [PubMed]
- Crick, H.Q.P.; Sparks, T.H. Climate change related to egg–laying trends. Nature 1999, 399, 423–424. [Google Scholar] [CrossRef]
- Bueh, C.; Nakamura, H. Scandinavian Pattern and Its Climatic Impact. Q. J. R. Meteorol. Soc. 2007, 133, 2117–2131. [Google Scholar] [CrossRef]
- Remisiewicz, M.; Underhill, L.G. Climatic Variation in Africa and Europe Has Combined Effects on Timing of Spring Migration in a Long–Distance Migrant Willow Warbler Phylloscopus trochilus. PeerJ 2020, 8, 1–30. [Google Scholar] [CrossRef]
- Remisiewicz, M.; Underhill, L.G. Large–scale climatic patterns have stronger carry–over effects than local temperatures on spring phenology of long–distance passerine migrants between Europe and Africa. Animals 2022, 12, 1–57. [Google Scholar] [CrossRef]
- Ranasinghe, R.; McLoughlin, R.; Short, A.; Symonds, G. The Southern Oscillation Index, wave climate, and beach rotation. Marine Geology 2004, 204, 273–287. [Google Scholar] [CrossRef]
- Tryjanowski, P.; Stenseth, N.C.; Matysioková, B. The Indian Ocean Dipole as an Indicator of Climatic Conditions Affecting European Birds. Clim. Res. 2013, 57, 45–49. [Google Scholar] [CrossRef]
- Okonkwo, C. An Advanced Review of the Relationships between Sahel Precipitation and Climate Indices: A Wavelet Approach. International Journal of Atmospheric Sciences 2014, 1–11. [Google Scholar] [CrossRef]
- Tobolka, M.; Dylewski, L.; Wozna, J.T.; Zolnierowicz, K.M. How Weather Conditions in Non–Breeding and Breeding Grounds Affect the Phenology and Breeding Abilities of White Storks. Sci. Total Environ. 2018, 636, 512–518. [Google Scholar] [CrossRef] [PubMed]
- Criado–Aldeanueva, F.; Soto–Navarro, J. Climatic indices over the Mediterranean sea: A review. Applied Sciences (Switzerland) 2020, 10, 5790. [Google Scholar] [CrossRef]
- Tomotani, B.M.; van der Jeugd, H.; Gienapp, P.; de la Hera, I.; Pilzecker, J.; Teichmann, C.; Visser, M.E. Climate Change Leads to Differential Shifts in the Timing of Annual Cycle Stages in a Migratory Bird. Glob. Chang. Biol. 2018, 24, 823–835. [Google Scholar] [CrossRef]
- Pinszke, A.; Remisiewicz, M. Long–term changes in autumn migration timing of Garden Warblers Sylvia borin at southern Baltic coast in response to spring, summer and autumn temperatures. European Zoological Journal 2023, 90(1), 283–295. [Google Scholar] [CrossRef]
- Miles, W.T.S.; Bolton, M.; Davis, P.; Dennis, R.; Broad, R.; Robertson, I.; Riddiford, N.J.; Harvey, P.V.; Riddington, R.; Shaw, D.N.; et al. Quantifying Full Phenological Event Distributions Reveals Simultaneous Advances, Temporal Stability and Delays in Spring and Autumn Migration Timing in Long–Distance Migratory Birds. Glob. Chang. Biol. 2017, 23, 1400–1414. [Google Scholar] [CrossRef]
- Redlisiak, M.; Remisiewicz, M.; Mazur, A. Sex–Specific Differences in Spring Migration Timing of Song Thrush Turdusphilomelos at the Baltic Coast in Relation to Temperatures on the Wintering Grounds. European Zoological Journal 2021, 88, 191–203. [Google Scholar] [CrossRef]
- Jenni, L.; Kéry, M. Timing of autumn bird migration under climate change: advances in long–distance migrants, delays in short–distance migrants. Proceedings of the Royal Society of London. Series B: Biological Sciences 2003, 270, 1467–1471. [Google Scholar] [CrossRef]
- Najmanova, L.; Adamik, P. Effect of climatic change on the duration of the breeding season in three European thrushes. Bird Study 2009, 56, 349–365. [Google Scholar] [CrossRef]
- Halupka, L.; Wierucka, K.; Sztwiertnia, H.; Klimczuk, E. Conditions at autumn stopover sites affect survival of a migratory passerine. Journal of Ornithology 2017, 158, 979–988. [Google Scholar] [CrossRef]
- Tryjanowski, P.; Kuźniak, S.; Sparks, T. Earlier arrival of some farmland migrants in western Poland. Ibis 2002, 144, 62–68. [Google Scholar] [CrossRef]
- Forchhammer, M.C.; Post, E.; Stenseth, N.C. North Atlantic Oscillation Timing of Long– and Short–Distance Migration. J. Anim. Ecol. 2002, 71, 1002–1014. [Google Scholar] [CrossRef]
- Usui, T.; Butchart, S.H.M.; Phillimore, A.B. Temporal Shifts and Temperature Sensitivity of Avian Spring Migratory Phenology: A Phylogenetic Meta–Analysis. J. Anim. Ecol. 2017, 86, 250–261. [Google Scholar] [CrossRef] [PubMed]
- Dinsbergs, I.; Keišs, O.; Briedis, M. Spring phenology is advancing at a faster rate than arrival times of Common Starling. Journal of Ornithology 2023, 164, 367–375. [Google Scholar] [CrossRef]
- Saino, N.; Ambrosini, R. Climatic Connectivity between Africa and Europe May Serve as a Basis for Phenotypic Adjustment of Migration Schedules of Trans–Saharan Migratory Birds. Glob. Chang. Biol. 2008, 14, 250–263. [Google Scholar] [CrossRef]
- Visser, M.E.; Gienapp, P.; Husby, A.; Morrisey, M.; de la Hera, I.; Pulido, F.; Both, C. ; Effects of Spring Temperatures on the Strength of Selection on Timing of Reproduction in a Long–Distance Migratory Bird. PLoS Biology 2015, 13, 1002120. [Google Scholar] [CrossRef]
- Haest, B.; Hüppop, O.; Bairlein, F. Weather at the Winter and Stopover Areas Determines Spring Migration Onset, Progress, and Advancements in Afro–Palearctic Migrant Birds. PNAS 2020, 117, 17056–17062. [Google Scholar] [CrossRef]
- Rolshausen, G.; Segelbacher, G.; Hobson, K.A.; Schaefer, H.M. Contemporary Evolution of Reproductive Isolation and Phenotypic Divergence in Sympatry along a Migratory Divide. Current Biology 2009, 19, 2097–2101. [Google Scholar] [CrossRef]
- Clements, J.F.; Schulenberg, T.S.; Iliff, M.J.; Fredericks, T.A.; Gerbracht, J.A.; Lepage, D.; Billerman, S.M.; Sullivan, B.L.; Wood, C.L. The eBird/Clements checklist of Birds of the World: 2022. Available online: https://www.birds.cornell.edu/clementschecklist/download/ (accessed on 2 January 2023).
- Armstrong, E.A.; Whitehouse, H.L.K. Behavioural adaptaptions of the Wren (Troglodytes troglodytes). Biol. Rev. 1977, 52, 235–294. [Google Scholar] [CrossRef]
- Spina, F.; Baillie, S.R.; Bairlein, F.; Fiedler, W.; Thorup, K. The Eurasian African Bird Migration Atlas. Available online: https://migrationatlas.org (accessed on 31 March 2023).
- Cramp, S. The Birds of the Western Palearctic. Handbook of the Birds of Europe, the Middle East and North Africa. Vol. VI: Warblers; Oxford University Press: Oxford, UK, 1992. [Google Scholar]
- Hoyo, J.; Elliott, A.; Christie, D. Handbook of the Birds of the World. Vol. 10. Cuckoo–shrikes to Thrushes; Lynx Edicions, Barcelona, 2005.
- BirdLife International and Handbook of the Birds of the World. Bird species distribution maps of the world. Version 2019.1. Available online: http://datazone.birdlife.org/species/requestdis (accessed on 1 January 2023).
- Maciąg, T.; Remisiewicz, M.; Nowakowski, J.K.; Redlisiak, M.; Rosińska, K.; Stępniewski, K.; Stępniewska, K.; Szulc, J. Website of the Bird Migration Research Station. Available online: https://en–sbwp.ug.edu.pl/badania/monitoringwyniki/maps–of–ringing–recoveries/ (accessed on 2 June 2023).
- Nowakowski, J.K. Ringing Data from the Bird Migration Research Station, University of Gdańsk. Available online: https://www.gbif.org/dataset/8186b0c0−925e−11da−8900-b8a03c50a862 (accessed on 26 May 2023).
- Tomiałojć, L.; Stawarczyk, T. Awifauna Polski: Rozmieszczenie, Liczebność i Zmiany; PTPP “pro Natura”: Wrocław, Poland, 2003. [Google Scholar]
- Trepte, A. Avi–Fauna – Vögel in Deutschland. Available online: https://www.avi–fauna.info/ (accessed on 2 January 2023).
- Busse, P.; Meissner, W. Bird Ringing Station Manual; De Gruyter Open Ltd.: Warsaw, Poland; Berlin, Germany, 2015. [Google Scholar]
- Identification Guide to European Passerines; Svensson, L., Ed.; British Trust for Ornithology: Thetford, Norfolk, UK, 1992. [Google Scholar]
- Demongin, L. Identification Guide to Birds in the Hand; Laurent Demongin: Beauregard–Vendon, France, 2016. [Google Scholar]
- National Oceanic and Atmospheric Administration US Department of Commerce National Weather Service.Climate 1130 Prediction Center. Climate & Weather Linkage. Available online: https://www.cpc.ncep.noaa.gov/ (accessed on 31 March 2022).
- Barstone, A.G.; Livezey, R.E. Classification, Seasonality and Persistence of Low–Frequency Atmospheric Circulation Patterns. Monthly Weather Review 1987, 115, 1083–1126. [Google Scholar] [CrossRef]
- Linderholm, H.W.; Folland, C.; Knight, J.; Fereday, D.; Ineson, S.; Hurrell, J.W. Influences of the Summer North Atlantic Oscillation (SNAO) on regional climate –from the past to the future. IOP Conference Series: Earth and Environmental Science 2009, 6, 072039. [Google Scholar] [CrossRef]
- Conte, M.; Giuffrida, A.; Tedesco, S. The Mediterranean Oscillation. Impact on precipitation and hydrology in Italy Climate Water; Publications of the Academy of Finland: Helsinki, 1989. [Google Scholar]
- Palutikof, J.P.; Conte, M.; Casimiro Mendes, J.; Goodess, C.M.; Espirito Santo, F. Climate and climate change. In: Brandt CJ, Thornes JB. (eds): Mediterranean desertification and land use; John Wiley and Sons: London, 1996. [Google Scholar]
- Palutikof, J.P.Analysis of Mediterranean climate data: measured and modelled. In: Bolle HJ. (eds): Mediterranean climate: Variability and trends; Springer–Verlag, Berlin, 2003.
- Nowakowski, J.K. Terms of autumn migration of the genus Sylvia in Central Poland. The Ring 1999, 21, 3–13. [Google Scholar]
- Redlisiak, M.; Remisiewicz, M.; Nowakowski, J.K. Long–term changes in migration timing of Song Thrush Turdus philomelos at the southern Baltic coast in response to temperatures on route and at breeding grounds. International Journal of Biometeorology 2018, 62, 1595–1605. [Google Scholar] [CrossRef] [PubMed]
- Remisiewicz, M.; Underhill, L.G. Climate in Africa Sequentially Shapes Spring Passage of Willow Warbler Phylloscopus trochilus across the Baltic Coast. PeerJ 2022, 10, e8770. [Google Scholar] [CrossRef] [PubMed]
- Dormann, C.F.; Elith, J.; Bacher, S.; Buchmann, C.; Carl, G.; Carré, G.; Marquéz, J.R.G.; Gruber, B.; Lafourcade, B.; Leitão, P.J.; Münkemüller, T.; Mcclean, C.; Osborne, P.E.; Reineking, B.; Schroder, B.; Skidmore, A.K.; Zurell, D.; Lautenbach, S. Collinearity: A Review of Methods to Deal with It and a Simulation Study Evaluating Their Performance. Ecography 2013, 36, 27–46. [Google Scholar] [CrossRef]
- R Core Team R: A Language and Environment for Statistical Computing. Available online: https://www.r–project.org (accessed on 11 February 2023).
- TIBCO Software Inc. 2017. Statistica (data analysis software system), version 13.3. Available online: http://statistica.io (accessed on 11 February 2023).
- Martin–Vide, J.; Lopez–Bustins, J. The western Mediteranean oscillation and rainfall in the Iberian Peninsula. Int. J. Climatol. 2006, 26, 1455–1475. [Google Scholar] [CrossRef]
- Cotton, P.A. Avian migration phenology and global climate change. Proceedings of the National Academy of Sciences of the United States of America 2003, 100, 12219–12222. [Google Scholar] [CrossRef]
- Stervander, M.; Lindstrom, A.; Jonzen, N.; Andersson, A. Timing of spring migration in birds: long–term trends, North Atlantic Oscillation and the significance of different migration routes. Journal of Avian Biology 2005, 36, 210–221. [Google Scholar] [CrossRef]
- Mills, A.M. Changes in the timing of spring and autumn migration in North American migrant passerines during a period of global warming. Ibis 2005, 147(2), 259–269. [Google Scholar] [CrossRef]
- Miller–Rushing, A.J.; Lloyd–Evans, T.L.; Primack, R.B.; Satzinger, P. Bird Migration Times, Climate Change, and Changing Population Sizes. Glob. Chang. Biol. 2008, 14, 1959–1972. [Google Scholar] [CrossRef]
- Butler, C. J. The disproportionate effect of global warming on the arrival dates of short–distance migratory birds in North America. Ibis 2003, 145, 484–495. [Google Scholar] [CrossRef]
- Sokolov, L.V.; Markovets, M.Y.; Shapoval, A.P.; Morozov, Y.G. Long–term trends in the timing of spring migration of passerines on the CourishSpit of the Baltic Sea. Avian Ecology and Behaviour 1998, 1, 1–21. [Google Scholar]
- Redlisiak, M.; Remisiewicz, M.; Nowakowski, J.K. Long–term changes in migration timing of Song Thrush Turdus philomelos at the southern Baltic coast in response to temperatures on route and at breeding grounds. International Journal of Biometeorology 2018, 62, 1595–1605. [Google Scholar] [CrossRef] [PubMed]
- Ehnbom, S.; Karlsson, L. , Ylvén, R., Åkesson, S. A. comparison of autumn migration strategies in Robins Erithacus rubecula at a coastal and an inland site in southern Sweden. Ring. & Migr. 1993, 14, 84–93. [Google Scholar]
- Chernetsov, N. Migratory stopovers of Wrens Troglodytes troglodytes on the south–eastern Baltic coast. Avian Ecology Behaviour 2010, 17, 13–22. [Google Scholar]
- Kristensen, M.W.; Tøttrup, A.P.; Thorup, K. Migration of the Common Redstart (Phoenicurus phoenicurus). The Auk 2013, 130(2), 258–264. [Google Scholar] [CrossRef]
- Payevsky, V. Age structure of passerine migrants at the eastern Baltic coast: The analysis of the ‘coastal effect’. Ornis Svecica 1998, 8(4), 171–178. [Google Scholar] [CrossRef]
- Koprowska, D. Wpływ temperatur na lęgowiskach i trasach migracji na terminy wiosennej i jesiennej wędrówki rudzika (Erithacus rubecula) przez Hel i Mierzeję Wiślaną. MSc thesis.Bird Migration Research Station, Faculty of Biology, University of Gdańsk, Poland, 2021.
- Rybant, M. Wpływ temperatur na lęgowiskach, trasach migracji i zimowiskach na terminy wiosennej i jesiennej wędrówki rudzików Erithacus rubecula przez stację Bukowo–Kopań. MSc thesis. Bird Migration Research Station, Facultyof Biology, University of Gdańsk, Poland, 2022.
- Newton, I. The Migration Ecology of Birds; Academic Press, London, 2008.
- Quinlan, S.E.; BoydR.L., *!!! REPLACE !!!*. Mist netting success in relation to weather. North American Bird Bander 1976, 1(4), 168–170. [Google Scholar]
- Gordo, O. Why Are Bird Migration Dates Shifting? A Review of Weather and Climate Effects on Avian Migratory Phenology. Clim. Res. 2007, 35, 37–58. [Google Scholar] [CrossRef]
- Koenig, W.D. Spatial Autocorrelation of Ecological Phenomena. Trends Ecol. Evol. 1999, 14, 22–26. [Google Scholar] [CrossRef]
- Patchett, R.; Kirschel, A.N.G.; Robins King, J.; Styles, P.; Cresswell, W. Age–related changes in migratory behaviour within the first annual cycle of a passerine bird. PLoS ONE 2022, 17(10), e0273686. [Google Scholar] [CrossRef]
- Kożuchowski, K.; Wibig, J. Zmienność oscylacji północnoatlantyckiej na podstawie wskaźnika NAO DJFM Hurrella (1864–2019). [Variation of the North Atlantic Oscillation According to Hurrell’s NAO DJFM Index (1864–2019)]. Przegląd Geofizyczny 2021, 66, 3–4. [Google Scholar] [CrossRef]
- Smith, A.D.; McWilliams, S.R. What to do when stopping over: behavioral decisions of a migrating songbird during stopover are dictated by initial change in their body condition and mediated by key environmental conditions. Behavioral Ecology 2014, 25(6), 1423–1435. [Google Scholar] [CrossRef]
- Newton, I. Can conditions experienced during migration limit the population levels of birds? J. Ornithol 2006, 147, 146–166. [Google Scholar] [CrossRef]
- World Climate Service. What is the Scandinavian Pattern Climate Index. Available online: https://www.worldclimateservice.com (accessed on 14 March 2023).
- Post, E.; Forchhammer, M.C.; Stenseth, N.C.; Callaghan, T.V. The timing of life–history events in a changing climate. Proc. R. Soc. Lond. 2001, 268, 15–23. [Google Scholar] [CrossRef] [PubMed]
- Dossman, B.C.; Rodewald, A.D.; Studds, C.E.; Marra, P.P. Migratory birds with delayed spring departure migrate faster but pay the costs. Ecology 2023, 104, e3938. [Google Scholar] [CrossRef]
- Visser, M.E.; Perdeck, A.C.; van Balen, J.H.; Both, C. Climate change leads to decreasing bird migration distances. Global Change Biology 2009, 15(8), 1859–1865. [Google Scholar] [CrossRef]
- Vengerov, P.D. Effect of rise in spring air temperature on the arrival dates and reproductive success of the Song Thrush, Turdus philomelos (C.L. Brehm, 1831) in the forest–steppe of the Russian Plain. Russian Journal of Ecology 2017, 48, 178–184. [Google Scholar] [CrossRef]
- Newton, I. Advances in the study of irruptive migration. Ardea 2006, 94, 433–460. [Google Scholar]
- Schwabl, H. Winter and Breeding Territorial Behaviour and Levels of Reproductive Hormones of Migratory European Robins. Ornis Scandinavica 1992, 23, 271–276. [Google Scholar] [CrossRef]
- Armstrong, E.A. Territory in the Wren Troglodytes troglodytes. Ibis 1955, 98, 430–437. [Google Scholar] [CrossRef]
- Milošević, DD.; Savić, S.M.; Pantelić, M.; Stankov, U.; Žiberna, I.; Dolinaj, D.; Leščešen, I. Variability of seasonal and annual precipitation in Slovenia and its correlation with large–scale atmospheric circulation. Open Geosciences 2016, 8(1), 593–605. [Google Scholar] [CrossRef]
- Van Buskirk, J.; Mulvihill, R.S.; Leberman, R.C. Phenotypic plasticity alone cannot explain climate–induced change in avian migration timing. Ecology and Evolution 2012, 2(10), 2430–2437. [Google Scholar] [CrossRef]
- Davidson, L.J. The Impact of Climate Change on the Phenology of Short– and Long–Distance Migratory Birds. Undergraduate Thesis, Lakehead University, London, Thunder Bay, April 2021. [Google Scholar]
- Pulido, F.; Berthold, P. Current selection for lower migratory activity willdrive the evolution of residency in a migratory bird population. PNAS 2010, 107(16), 7341–7346. [Google Scholar] [CrossRef]
- Morganti, M. Birds facing climate change: a qualitative model for the adaptive potential of migratory behaviour. Rivista Italiana Di Ornitologia 2015, 85(1), 3–13. [Google Scholar] [CrossRef]
- Catry, P.; Campos, A.; Almada, V.; Cresswell, W. Winter segregation of migrant European robins Erithacus rubecula inrelation to sex, age and size. J. Avian Biol. 2004, 35, 204–209. [Google Scholar] [CrossRef]
- Prescott, D.R.; Middleton, A.L.A. Age and sex differences in winter distribution of American Goldfinches in eastern North America. Ornis Scandinavica 1990, 21, 99–104. [Google Scholar] [CrossRef]
- Adriaensen, F.; Dhondt, A.A. Population dynamics and partial migration of the European Robin (Erithacus rubecula) in different habitats. Journal of Animal Ecology 1990, 59. [Google Scholar] [CrossRef]
- Cristol, D. A.; Baker, M. B.; Carbone, C. Differential migration revisited: Latitudunal segergation by age and sex class. In book: Current Ornithology, Volume 15, Springer, New York, 1999.
- Catry, P.; Lecoq, M.; Conway, G.; Felgueiras, M.; King, J. M. B.; Hamidi, S. Are blackcaps Sylvia atricapilla differential distance migrants by sex? Ardeola 2006, 53, 31–38. [Google Scholar]
- Arizaga, J.; Alonso, D.; Barba, M. Patterns of migration and wintering of Robins Erithacus rubecula in northern Iberia. Ringing & Migration 2010, 25, 7–14. [Google Scholar] [CrossRef]
- Smallegange, I.M.; Fiedler, W.; Köppen, U.; Geiter, O.; Bairlein, F. Tits on the move: exploring the impact of environmental change on blue tit and great tit migration distance. Journal of Animal Ecology 2010, 79(2), 350–357. [Google Scholar] [CrossRef] [PubMed]
- Hedenström, A.; Alerstam, T. Optimum Fuel Loads in Migratory Birds: Distinguishing Between Time and Energy Minimization. J. theor. Biol. 1997, 189, 227–234. [Google Scholar] [CrossRef]
- Rogues, S.; Henry, P.Y.; Guyot, G.; Bargain, B.; Cam, E.; Pradel, R. When to depart from a stopover site? Time since arrival matters more than current weather conditions. Ornithology 2021, 139(1), 1–13. [Google Scholar] [CrossRef]
- Parrish, J.D. Patterns of frugivory and energetic conditio in nearctic landbirds during autumn migration. The Condor 1997, 99, 681–697. [Google Scholar] [CrossRef]
- Vyshkvarkova, E.; Sukhonos, O. Compound Extremes of Air Temperature and Precipitation in Eastern Europe. Climate 2022, 10, 133. [Google Scholar] [CrossRef]
- Nakbin, C.; Myong–In, L.; Dong–Hyun, C.; Young–Kwon, L.; Kyu–Myong, K. Decadal Changes in the Inter–anual Variability of Heatwaves in East Asia Caused by Atmospheric Teleconnection Changes. Journal of Climate 2020, 33, 1505–1522. [Google Scholar] [CrossRef]




| No | Symbol | Climate Index | Months | Source of Data | |
|---|---|---|---|---|---|
| 1 | NAO_MAY_JUN_1Y | North Atlantic Oscillation Index |
May–Jun_1Y | https://www.cpc.ncep.noaa.gov/ products/precip/CWlink/pna/nao.shtml |
|
| 2 | NAO_JUL_AUG_1Y | Jul–Aug_1Y | |||
| 3 | NAO_SEP_OCT_1Y | Sep–Oct_1Y | |||
| 4 | NAO_NOV_FEB | Nov_1Y–Feb | |||
| 5 | NAO_MAR_APR | Mar–Apr | |||
| 6 | MOI1_SEP_OCT_1Y | Mediterranean Oscillation Index |
Sep–Oct_1Y | https://crudata.uea.ac.uk/cru/data/moi/ | |
| 7 | MOI1_NOV_FEB | Nov_1Y–Feb | |||
| 8 | MOI1_MAR_APR | Mar–Apr | |||
| 9 | SCAND_MAY_JUN_1Y | Scandinavian Pattern Index | May–Jun_1Y | https://ftp.cpc.ncep.noaa.gov/wd52dg/ data/indices/scand_index.tim | |
| 10 | SCAND_JUL_AUG_1Y | Jul–Aug_1Y | |||
| 11 | SCAND_MAR_APR | Mar–Apr | |||
| 12 | TBK_MAR_APR | Mean temperaturę anomaly for Koszalin and Łeba(near Bukowo-Kopań) | Mar–Apr | http://www.ecad.eu/ https://climexp.knmi.nl/ |
|
| 13 | THL_MAR_APR | Meant emperaturę anomaly at Hel | |||
| 14 | Year | 1982 = year 1 | Our data |
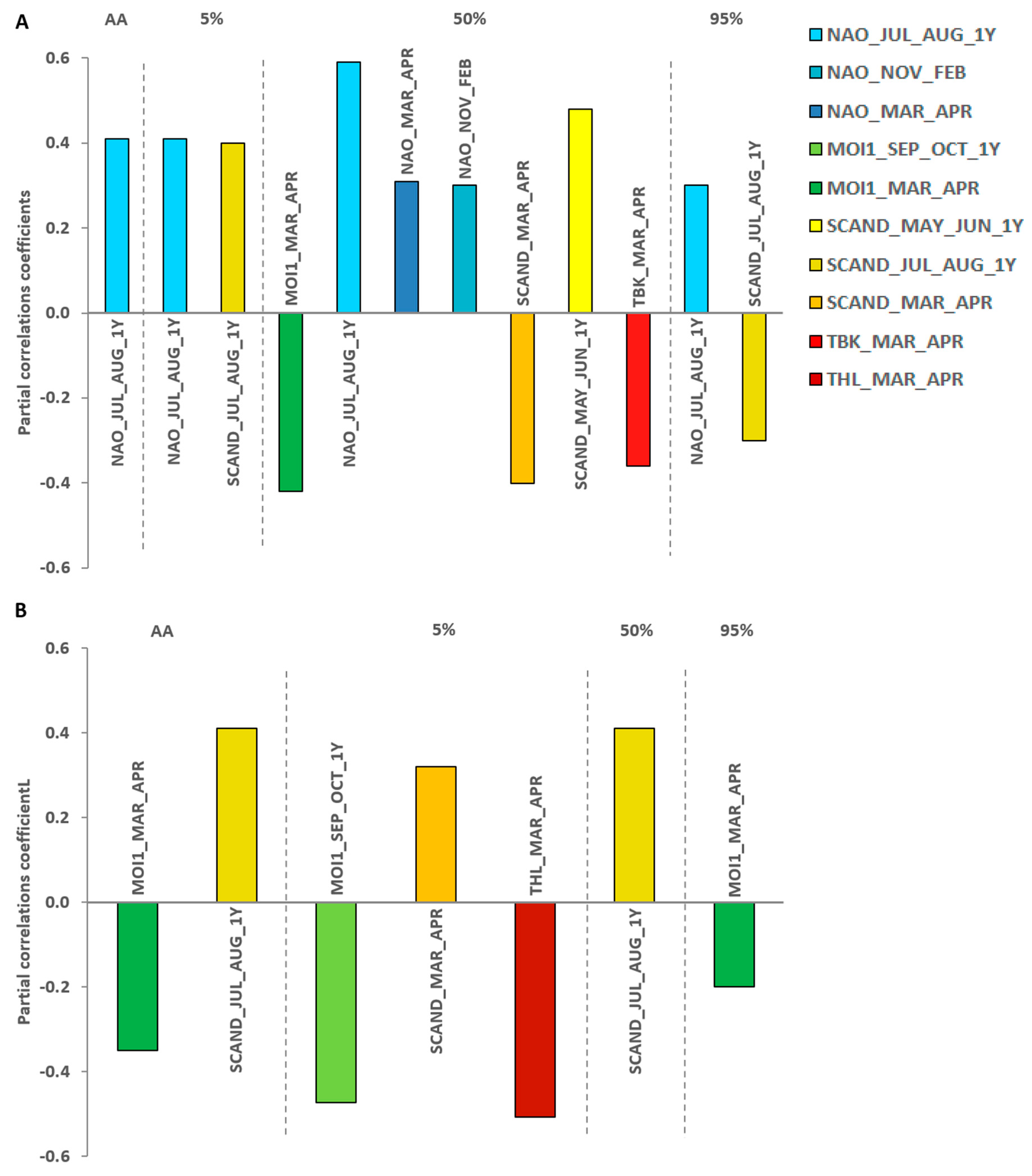
| Station/Response variable | Model statistics | Explanatory variable | Estimate | SE | t | p | VIF | R2 | pR | |
|---|---|---|---|---|---|---|---|---|---|---|
| Bukowo-Kopań | ||||||||||
| BK_AA | AdjR2=15%, F1,37= 7.79 | NAO_JUL_AUG_1Y | 0.42 | 0.15 | 2.79 | 0.01 | 1.00 | 0.17 | 0.41 | |
| BK_5% | AdjR2=28%, F2,36= 8.23 | NAO_JUL_AUG_1Y | 0.38 | 0.14 | 2.69 | 0.01 | 1.02 | 0.17 | 0.41 | |
| SCAND_JUL_AUG_1Y | 0.37 | 0.14 | 2.63 | 0.01 | 1.02 | 0.16 | 0.40 | |||
| BK_50% | AdjR2=40%, F7,31= 4.69 | MOI1_MAR_APR | –0.41 | 0.16 | –2.58 | 0.01 | 1.61 | 0.18 | –0.42 | |
| NAO_JUL_AUG_1Y | 0.56 | 0.14 | 4.04 | <0.00 | 1.21 | 0.34 | 0.59 | |||
| NAO_MAR_APR | 0.29 | 0.16 | 1.83 | 0.08 | 1.63 | 0.10 | 0.31 | |||
| NAO_NOV_FEB | 0.27 | 0.15 | 1.77 | 0.09 | 1.48 | 0.09 | 0.30 | |||
| SCAND_MAR_APR | –0.38 | 0.16 | –2.41 | 0.02 | 1.62 | 0.16 | –0.40 | |||
| SCAND_MAY_JUN_1Y | 0.46 | 0.15 | 3.03 | <0.00 | 1.44 | 0.23 | 0.48 | |||
| TBK_MAR_APR | –0.33 | 0.15 | –2.15 | 0.04 | 1.49 | 0.13 | –0.36 | |||
| BK_95% | AdjR2 = 10%, F2,36= 3.16 | NAO_JUL_AUG_1Y | 0.30 | 0.16 | 1.91 | 0.06 | 1.02 | 0.09 | 0.30 | |
| SCAND_JUL_AUG_1Y | –0.29 | 0.16 | –1.88 | 0.07 | 1.02 | 0.09 | –0.30 | |||
| Hel | ||||||||||
| HL_AA | AdjR2 = 16%, F2,30= 4.02 | MOI1_MAR_APR | –0.35 | 0.17 | –2.08 | 0.05 | 1.09 | 0.13 | –0.35 | |
| SCAND_JUL_AUG_1Y | 0.41 | 0.17 | 2.45 | 0.02 | 1.09 | 0.17 | 0.41 | |||
| HL_5% | AdjR2 = 39%, F3,29 = 6.30 | MOI1_SEP_OCT_1Y | –0.44 | 0.15 | –2.90 | 0.01 | 1.11 | 0.22 | –0.47 | |
| SCAND_MAR_APR | 0.28 | 0.15 | 1.82 | 0.08 | 1.10 | 0.10 | 0.32 | |||
| THL_MAR_APR | –0.48 | 0.15 | –3.17 | <0.00 | 1.09 | 0.26 | –0.51 | |||
| HL_50% | AdjR2 = 14%, F1,31 = 6.19 | SCAND_JUL_AUG_1Y | 0.41 | 0.16 | 2.49 | 0.02 | 1.00 | 0.17 | 0.41 | |
| HL_95% | AdjR2 = 1%, F1,31 = 1.33 | MOI1_MAR_APR | –0.20 | 0.18 | –1.15 | 0.26 | 1.00 | 0.04 | –0.20 | |
Disclaimer/Publisher’s Note: The statements, opinions and data contained in all publications are solely those of the individual author(s) and contributor(s) and not of MDPI and/or the editor(s). MDPI and/or the editor(s) disclaim responsibility for any injury to people or property resulting from any ideas, methods, instructions or products referred to in the content. |
© 2023 by the authors. Licensee MDPI, Basel, Switzerland. This article is an open access article distributed under the terms and conditions of the Creative Commons Attribution (CC BY) license (http://creativecommons.org/licenses/by/4.0/).
