Submitted:
23 May 2023
Posted:
25 May 2023
Read the latest preprint version here
Abstract
Keywords:
1. Introduction
2. Methods
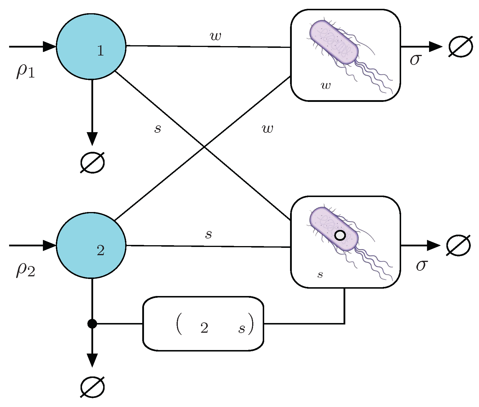
2.1. Consumer-Resource model
2.2. Synthetic Invasion
3. Results
3.1. Two resources and two consumers
3.2. Multiple species and resources
Discussion
Acknowledgments
References
- Abed. R.M., Dobretsov, S., Sudesh, K. 2009. Applications of cyanobacteria in biotechnology. J Appl Microbiol. 106(1):1-12.
- Bascompte, J. and Solé, R. 1995. Rethinking complexity: modelling spatiotemporal dynamics in ecology. Trends in Ecology and Evolution 10, 361-366.
- Berdugo, M. , Kéfi, S., Soliveres, S. and Maestre, F.T., 2017. Plant spatial patterns identify alternative ecosystem multifunctionality states in global drylands. Nature ecology and evolution 1, 0003.
- Berdugo, M. , Delgado-Baquerizo, M., Soliveres, S., Hernández-Clemente, R., Zhao, Y., Gaitán, J.J., Gross, N., Saiz, H., Maire, V., Lehmann, A. and Rillig, M.C., 2020. Global ecosystem thresholds driven by aridity. Science 367, 787-790.
- Berdugo, M. , Vidiella, B., Solé, R. and Maestre, F.T., 2022. Ecological mechanisms underlying aridity thresholds in global drylands. Functional Ecology 36, 4-23.
- Bowker, M.A. , 2007. Biological soil crust rehabilitation in theory and practice: an underexploited opportunity. Restoration Ecology 15, 13-23.
- Chesson, P. , 1990. MacArthur’s consumer-resource model. Theoretical Population Biology 37, 26-38.
- de Lorenzo, V. , Marliere, P. and Solé, R., 2016. Bioremediation at a global scale: from the test tube to planet Earth. Microbial biotechnology 9, 618-625.
- de Lorenzo, V. , 2022. Environmental Galenics: large-scale fortification of extant microbiomes with engineered bioremediation agents. Philosophical Transactions of the Royal Society B 377, 20210395.
- Delgado-Baquerizo, M. , Maestre, F.T., Reich, P.B., Jeffries, T.C., Gaitan, J.J., Encinar, D., Berdugo, M., Campbell, C.D. and Singh, B.K., 2016. Microbial diversity drives multifunctionality in terrestrial ecosystems. Nature communications 7, 10541.
- Delgado?Baquerizo, M. , Eldridge, D.J., Ochoa, V., Gozalo, B., Singh, B.K. and Maestre, F.T., 2017. Soil microbial communities drive the resistance of ecosystem multifunctionality to global change in drylands across the globe. Ecology letters 20, 1295-1305.
- Gorochowski, T.E. , Hauert, S., Kreft, J.U. et al. 2020. Toward engineering biosystems with emergent collective functions. Frontiers in bioengineering and biotechnology 8, 705.
- Green, J.L. , Hastings, A., Arzberger et al. 2005. Complexity in ecology and conservation: mathematical, statistical, and computational challenges. BioScience 55, 501-510.
- Holling, C.S. , 1973. Resilience and stability of ecological systems. Annual review of ecology and systematics, 4, 1-23.
- Holling, C.S. , 1996. Engineering resilience versus ecological resilience. In: Engineering within ecological constraints, Schulze, P. C., editor. 31(1996), p.32. National Academy Press, Washington.
- Kefi, S. , Rietkerk, M., Alados, C.L. et al. 2007. Spatial vegetation patterns and imminent desertification in Mediterranean arid ecosystems. Nature 449, 213-217.
- Knowlton, N. ,1992. Thresholds and multiple stable states in coral reef community dynamics. American Zoologist 32, 674-682.
- Knowlton, N. , 2001. The future of coral reefs. Proceedings of the National Academy of Sciences, 98(10), pp.5419-5425.
- Krakauer, D.C. , 2019. Emergent engineering: reframing the grand challenge for the 21st century. In: Worlds Hidden in Plain Sight, SFI Press, Santa Fe, New Mexico, pp.349-355.
- Lagerstrom, K. et al.. 2022. From coral reefs to Joshua trees: What ecological interactions teach us about the adaptive capacity of biodiversity in the Anthropocene. 2022. Phil. rans. R. Soc. B. 377, 20210389.
- MacArthur, R. , 1970. Species packing and competitive equilibrium for many species. Theoretical population biology 1,1-11.
- Maestre, F.T. , Martín, N., Díez, B., Lopez-Poma, R., Santos, F., Luque, I. and Cortina, J., 2006. Watering, fertilization, and slurry inoculation promote recovery of biological crust function in degraded soils. Microbial Ecology 52, 365-377.
- Maestre, F.T. , Solé, R. and Singh, B.K., 2017. Microbial biotechnology as a tool to restore degraded drylands. Microbial biotechnology 10, 1250-1253.
- Mallon, C.A. , Van Elsas, J.D. and Salles, J.F., 2015. Microbial invasions: the process, patterns, and mechanisms. Trends in microbiology 23, 719-729.
- Martin, P.V. , Bonachela, J.A., Levin, S.A. and Muñoz, M.A., 2015. Eluding catastrophic shifts. Proceedings of the National Academy of Sciences, 112, E1828-E1836.
- Maull, V. and Solé, R., 2022. Network-level containment of single-species bioengineering. Phil. rans. R. Soc. B. 377, 20210396.
- Montoya, J.M. , Pimm, S.L. and Solé, R.V., 2006. Ecological networks and their fragility. Nature 442, 259-264.
- Odum, H.T. , 1996. Scales of ecological engineering. Ecological Engineering 6, 7-19.
- Peixoto, R.S. , Sweet, M., Villela, H.D., Cardoso, P., Thomas, T., Voolstra, C.R., Høj, L. and Bourne, D.G., 2021. Coral probiotics: premise, promise, prospects. Annual review of animal biosciences 9, 265-288.
- Peñuelas, J. , Sardans, J., Estiarte, M. et al. 2013. Evidence of current impact of climate change on life: a walk from genes to the biosphere. Global change biology 19, 2303-2338.Piaggio, A.J., Segelbacher, G., Seddon, P.J. et al. 2017. Is it time for synthetic biodiversity conservation?. Trends in ecology and evolution 32, 97-107.
- Rocha, J.C. , Peterson, G., Bodin, O. and Levin, S., 2018. Cascading regime shifts within and across scales. Science 362, 1379-1383.
- Sabarinatham, K.G. , Gomathy, M., Kumar, D.A., Kannan, R. and Aiyanathan, E.A. 2021. Cyanobacteria-Mediated Bioremediation of Problem Soils. Microbial Rejuvenation of Polluted Environment. Microorganisms for Sustainability, vol 25. Springer, Singapore.
- Scanlon, T.M. , Caylor, K.K., Levin, S.A. and Rodriguez-Iturbe, I., 2007. Positive feedbacks promote power-law clustering of Kalahari vegetation. Nature 449, 209-212.
- Scheffer, M. , (2009) Critical transitions in nature and society. Princeton U. Press, Princeton.
- Solé, R. , Bascompte, J. and Valls, J., 1992. Nonequilibrium dynamics in lattice ecosystems: chaotic stability and dissipative structures. Chaos 2, 387-395.
- Solé, R. and Bascompte, J. 2007. Self-organization in complex ecosystems.
- Solé, R. (2011) Phase Transitions. Princeton University Press. Princeton.
- Solé, R. 2015 Bioengineering the biosphere?. Ecol. Complex. 22, 40-49.
- Solé, R.V. , Montanez, R. and Duran-Nebreda, S., 2015. Synthetic circuit designs for earth terraformation. Biology Direct 10, 1-10.
- Solé, R.V. , Montañez, R., Duran-Nebreda, S., Rodriguez-Amor, D., Vidiella, B. and Sardanyés, J., 2018. Population dynamics of synthetic terraformation motifs. Royal Society Open Science 5, 180121.
- Solé, R. and Levin, S., 2022. Ecological complexity and the biosphere: the next 30 years. Philosophical Transactions of the Royal Society B 377, 20210376.
- Strogatz, S.H. , 2018. Nonlinear dynamics and chaos: with applications to physics, biology, chemistry, and engineering.
- Van Oppen, M.J. , Oliver, J.K., Putnam, H.M. and Gates, R.D., 2015. Building coral reef resilience through assisted evolution. Proceedings of the National Academy of Sciences 112, 2307-2313.
- van Oppen, M.J. and Blackall, L.L., 2019. Coral microbiome dynamics, functions and design in a changing world. Nature Reviews Microbiology 17, 557-567.
- Vidiella, B. , Sardanyes, J. and Solé, R., 2018. Exploiting delayed transitions to sustain semiarid ecosystems after catastrophic shifts. Journal of The Royal Society Interface 15, 20180083.
- Vidiella, B. , Sardanyes, J. and Solé, R., 2020. Synthetic soil crusts against green-desert transitions: a spatial model. Royal Society open science 7, 200161.
- Vila, J.C. , Jones, M.L., Patel, M., Bell, T. and Rosindell, J., 2019. Uncovering the rules of microbial community invasions. Nature ecology and evolution 3, 1162-1171.





| Figure | 4a | 4b | 4c | 4d | 4e | 4f | 5a | 5b |
|---|---|---|---|---|---|---|---|---|
| Skewness | 4.501 | 3.181 | 3.985 | 1.604 | 0.994 | 6.253 | -7.357 | -9.624 |
| Kurtosis | 42.237 | 37.721 | 35.682 | 52.611 | 32.792 | 160.509 | 115.146 | 145.182 |
Disclaimer/Publisher’s Note: The statements, opinions and data contained in all publications are solely those of the individual author(s) and contributor(s) and not of MDPI and/or the editor(s). MDPI and/or the editor(s) disclaim responsibility for any injury to people or property resulting from any ideas, methods, instructions or products referred to in the content. |
© 2023 by the authors. Licensee MDPI, Basel, Switzerland. This article is an open access article distributed under the terms and conditions of the Creative Commons Attribution (CC BY) license (http://creativecommons.org/licenses/by/4.0/).