Submitted:
23 May 2023
Posted:
24 May 2023
You are already at the latest version
Abstract
Keywords:
1. Introduction
2. Problem Statement and Model Description
2.1. Problem Description
2.2. AUV Movement Model
2.3. Probabilistic Threat Environment Map
3. Improvement of artificial potential field method
3.1. Auxiliary potential field repulsion field design for obstacles

3.2. Gravitational field design for target points.
3.3. Coordination and control within the formation
3.3. Algorithm flow of cooperative obstacle avoidance
4. Stability analysis
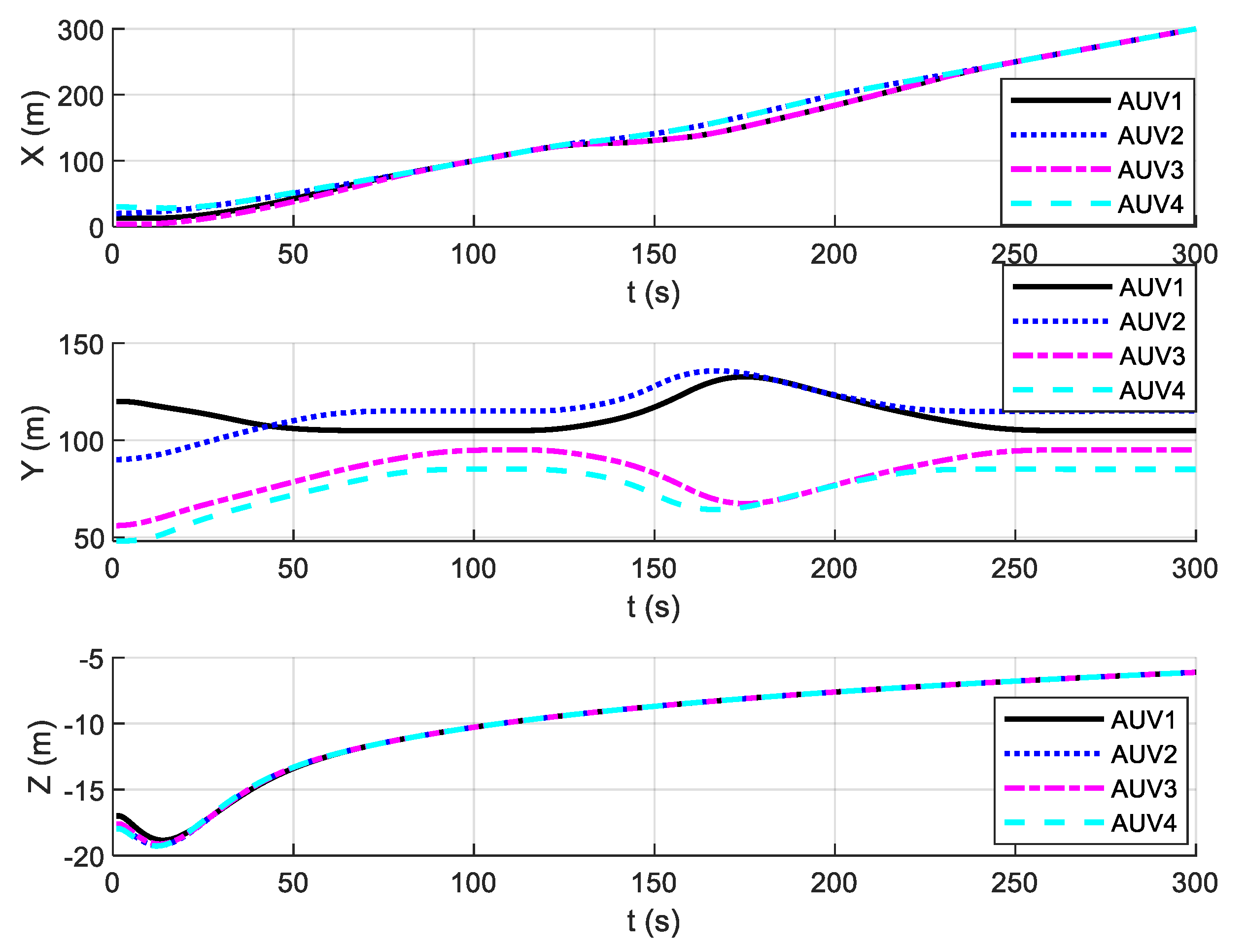
5. Simulation verification and analysis
6. Conclusions
Author Contributions
Funding
Data Availability Statement
Acknowledgments
Conflicts of Interest
References
- Antonelli G. Underwater Robots, Springer: Berlin, Germany 2014; pp. 20–23.
- Sahu B K; Subudhi B. Flocking control of multiple AUVs based on fuzzy potential functions. IEEE Transactions on Fuzzy Systems. 2018, 26(5): 2539-2551. [CrossRef]
- Xin L; Zhu D. An adaptive SOM neural network method to distributed formation control of a group of AUVs. IEEE Transactions on Industrial Electronics. 2018, PP (99):1-1. [CrossRef]
- J Fu, G. Sun. Trajectory Homotopy to Explore and Penetrate Dynamically of Multi-UAV. IEEE Trans. Intell. Transp. Syst. 2022, 23(12), pp. 24008-24019. [CrossRef]
- Dechter, R; Pearl. Generalized best-first search strategies and the optimalityof A*. Assoc. Comput. Mach. 1985, 32 (3), 505–536. [CrossRef]
- Cobb, H.G; Grefenstette, J. Genetic algorithms for tracking changing environments. Proceedings of International Genetic Algorithms Conference. 1993, pp. 1–8.
- Cui, RX; Li, Y and Yan, WS. Mutual information-based multi-AUV path planning for scalar field sampling using multidimensional RRT*. IEEE Transactions on systems man cybernetics-systems. 2016. 46(7), pp.993-1004. [CrossRef]
- Eberhart, R; Kennedy. A new optimizer using particle Swarm Theory. IEEE, Proceedings of the Sixth International Symposium on Micro Machine and Human Science. 1995, pp. 39–43.
- Ma, Y.N; Gong, Y.J; Xiao, C.F; Gao, Y; Zhang, J. Path planning for autonomous underwater vehicles: An ant colony algorithm incorporating alarm pheromone. IEEE Trans. Veh. Technol. 2018, 68 (1), 141–154. [CrossRef]
- Noguchi, Y; Maki, T. Path planning method based on artificial potential field and reinforcement learning for intervention AUVs. IEEE Underwater Technology 2019, 1–6.
- Smith, S M; Ganesan, K; An, PE; Dunn, SE. Strategies for simultaneous multiple autonomous underwater vehicle operation and control. International Journal of systems science. 1998, 29(10), pp.1045-1063. [CrossRef]
- Sun, B; Zhu, D.Q; Tian, C.; Luo, C.M. Complete coverage autonomous underwater vehicles path planning based on glasius bio-inspired neural network algorithm for discrete and centralized programming. IEEE Transactions on cognitive and developmental systems. 2018, 11 (1), 73–84. [CrossRef]
- Yan, C; Xiang, X.J; Wang, C. Towards real-time path planning through deep reinforcement learning for a UAV in dynamic environments. Journal of intelligent and robotic systems. 2020, 98 (2), pp.297-309. [CrossRef]
- Cheng, C.L; Zhu, D.Q., Sun, B., Chu, Z.Z., Nie, J.D., Zhang, S. Path planning for autonomous underwater vehicle based on artificial potential field and velocity synthesis. IEEE 28th Canadian Conference on Electrical and Computer Engineering . 2015, pp. 717–721.
- Song, J; Hao, C and Su, JC. Path planning for unmanned surface vehicle based on predictive artificial potential field. International journal of advanced robotic systems. 2020, 17 (2). [CrossRef]
- Zhao, ZY;Hu, Q. A cooperative hunting method for multi-AUV swarm in un-dewater weak in formation environment with Obstacles. Journal of marine science and engineering. 2020, 10 (9). [CrossRef]
- Wang, SM; Fang, MC and Hwang. Vertical obstacle avoidance and navigation of autonomous underwater vehicles with H infinity controller and the artificial potential field method. Journal of navigation. 2019, 72 (1), 207-228. [CrossRef]
- Zhen, QZ; Wan, L; Li, YL; Jiang, DP. Formation control of a multi-AUVs system based on virtual structure and artificial potential field on SE(3). Ocean Engineering. 2022, 253. [CrossRef]
- Orozco-Rosas, U; Montiel, O and Sepulveda, R. Mobile robot path planning using membrane evolutionary artificial potential field. Applied soft computing. 2021, 77, 236-251. [CrossRef]
- Li J, Zhang JX, Zhang HH, Yan ZP. A predictive guidance obstacle avoidance algorithm for AUV in unknown environments. [CrossRef]
- Sensors. 2019, 19(13), 2862.
- Fossen T I. Handbook of marine craft hydrodynamics and motion control. Chichester: John Wiley and Son, 2011.
- Li, J, Zhang, HD, Chen, T, Wang, JQ. AUV Formation Coordination Control Based on Transformed Topology under Time-Varying Delay and Communication Interruption. Journal of Marine Science and Engineering.2022, 10(7), 950. [CrossRef]
- Zhang, BT, Liu, Y, Liu, Y, Wang, J. A path planning strategy for searching the most reliable path in uncertain environments. International Journal of Advanced Robotic Systems. 2017, 13 (5), 23–32. [CrossRef]
- Khatib, O. Real-time obstacle avoidance for manipulators and mobile robots. Int. J. Robot. Res. 1986, 5, 90–98. [CrossRef]
- Zhang, W, Wei, SL, Zeng, J, Wang, NX, Multi-UUV path planning based on improved artificial potential field method. International Journal of Robotics and Automation. 2021, 36 (4), 231-239. [CrossRef]
- Chen YL, Ma XW, Bai GQ, Sha YB, Liu, J. Multi-autonomous underwater vehicle formation control and cluster search using a fusion control strategy at complex underwater environment. Ocean Engineering, 2021, 216, 108048. [CrossRef]
- Liang, D, Liu, ZY, Bhamra, R. Collaborative Multi-Robot Formation Control and Global Path Optimization. Applied Sciences-Basel. 2022, 12(14), 7046. [CrossRef]
- Civelek, C. Stability analysis of engineering/physical dynamic systems using residual energy function. Archives of Control Sciences. 2019, 28(2), 201-222. [CrossRef]






Disclaimer/Publisher’s Note: The statements, opinions and data contained in all publications are solely those of the individual author(s) and contributor(s) and not of MDPI and/or the editor(s). MDPI and/or the editor(s) disclaim responsibility for any injury to people or property resulting from any ideas, methods, instructions or products referred to in the content. |
© 2023 by the authors. Licensee MDPI, Basel, Switzerland. This article is an open access article distributed under the terms and conditions of the Creative Commons Attribution (CC BY) license (http://creativecommons.org/licenses/by/4.0/).