Submitted:
15 May 2023
Posted:
16 May 2023
You are already at the latest version
Abstract

Keywords:
1. Introduction
2. Methods
3. Results and discussion
4. Conclusions
Author Contributions
Funding
Institutional Review Board Statement
Informed Consent Statement
Data Availability Statement
Acknowledgments
Conflicts of Interest
References
- Akkermans. A., G. Montambaux, G. Mesoscopic Physics of Electrons and Photons. Cambridge University Press, Great Britain, 2007).
- Aleiner, I.L.; Altshuler, B.L.; Gershenson, M.E. Interaction effects and phase relaxation in disordered systems. Waves Random Media 1999, 9, 201–239. [Google Scholar] [CrossRef]
- Senz,. V., Quantum transport in interacting two-dimensional systems, PhD thesis, ETH, Zürich (Switzerland), 02, p.25. 20 March. [CrossRef]
- Abrikosov, A. Fundamentals of the theory of metals, Elsevier, Amsterdam, Netherlands, 1988, p.213.
- Altshuler, B.L.; Aronov, A.G.; Khmelnitzky, D.E. Effects of electron-electron collisions with small energy transfers on quantum localization. J. Phys. C: Solid State Phys. 1982, 15, 7367–7386. [Google Scholar] [CrossRef]
- Xu, G.; Wang, W.; Zhang, X.; Du, Y.; Liu, E.; Wang, S.; Wu, G.; Liu, Z.; and Zhang, X.X. Weak Antilocalization Effect and Noncentrosymmetric Superconductivity in a Topologically Nontrivial Semimetal LuPdBi. Sci Rep. 2014, 4, 5709. [Google Scholar] [CrossRef] [PubMed]
- Shrestha, K.; Chou, M.; Graf, D.; Yang, H.D.; Lorenz, B. Chu, C.W. Extremely large nonsaturating magnetoresistance and ultrahigh mobility due to topological surface states in the metallic Bi2Te3 topological insulator. Phys. Rev. B - Condens. Matter Mater. Phys 2017, 95, 195113. [Google Scholar] [CrossRef]
- Lin, J.J.: Bird, J.P. Recent experimental studies of electron dephasing in metal and semiconductor mesoscopic structures. J. Phys.: Condens. Matter 2002, 14, R501–R596. [CrossRef]
- Rammer, J.; Schmid, A. Destruction of phase coherence by electron-phonon interactions in disordered conductors, Phys. Rev. B - Condens. Matter Mater. Phys. 1986, 34, 1352–1355. [Google Scholar] [CrossRef]
- Sahnoune, A.; Strom-Olsen, J.O. Weak localization and enhanced electron-electron interaction in amorphous Ca70(Mg,Al)30, Phys. Rev. B - Condens. Matter Mater. Phys., 1989, 39, 7561–7566. [Google Scholar] [CrossRef] [PubMed]
- Zhao, B.; Cheng, P.; Pan, H.; Zhang, S.; Wang, B.; Wang, G.; Xiu, F.; Song, F. , Weak antilocalization in Cd3As2 thin films. Sci. Rep. 2016, 6, 22377. [Google Scholar] [CrossRef]
- Islam, S.; Bhattacharyya, S.; Nhalil, H.; Banerjee, M.; Richardella, A.; Kandala, A.; Sen, D.; Samarth, N.; Elizabeth, S.; Ghosh, A. , Low-temperature saturation of phase coherence length in topological insulators, Phys. Rev. B - Condens. Matter Mater. Phys. 2019, 99, 245407. [Google Scholar] [CrossRef]
- Dey, R.; Pramanik, T.; Roy, A.; Rai, A.; Guchhait, S.; Sonde, S.; Movva, H.C.P.; Colombo, L.; Register, L.F.; Banerjee, S.K. Strong spin-orbit coupling and Zeeman spin splitting in angle dependent magnetoresistance of Bi2Te3, Appl. Phys. Lett. 2014, 104, 223111. [Google Scholar] [CrossRef]
- Mathew, R.J.; Inbaraj, C.R.P.; Sankar, R.; Hudie, S.M.; Nikam, R.D.; Tseng, C.-A.; Lee, C.-H.; Chen, Y.-T. High unsaturated room-temperature magnetoresistance in phase-engineered MoxW1-xTe2+d ultrathin films, J. Mater. Chem. C 2019, 7, 10996. [Google Scholar] [CrossRef]
- Rozenberg, E.; Auslender, M.; Felner, I.; Gorodetsky, G. Low-temperature resistivity minimum in ceramic manganites. J. Appl. Phys. 2000, 88, 2578–2582. [Google Scholar] [CrossRef]
- Herranz, G.; Martínez, B.; Fontcuberta, J.; . Sánchez, F.; Ferrater, C.; García-Cuenca, M.V.; Varela, M. Enhanced electron-electron correlations in nanometric SrRuO3 epitaxial films. Phys. Rev. B - Condens. Matter Mater. Phys. 2003, 67, 174423. [Google Scholar] [CrossRef]
- Maritato, L.; Adamo, C.; Barone, C.; . De Luca, G.M; Galdi, A.; Orgiani, P.; Petrov, A.Yu. Low-temperature resistivity of La0.7Sr0.3MnO3 ultra thin films: Role of quantum interference effects. Phys. Rev. B - Condens. Matter Mater. Phys. 2006, 73, 094456. [Google Scholar] [CrossRef]
- Lee, P.A.; Ramakrishnan, T.V. Disordered electronic systems, Rev. Mod. Phys. 1985, 57, 287–337. [Google Scholar] [CrossRef]
- Kumar, D.; Sankar, J.; Narayan, J.; Singh, R.K.; Majumdar, A.K. , Low-temperature resistivity minima in colossal magnetoresistive La0.7Ca0.3MnO3 thin films. Phys. Rev. B - Condens. Matter Mater. Phys. 2002, 65, 094407. [Google Scholar] [CrossRef]
- Kondo, J. Resistance minimum in dilute magnetic alloys, Prog. Theor. Phys. 1964, 32, 37–49. [Google Scholar] [CrossRef]
- Barman, A.; Ghosh, M.; Biswas, S.; De, S.K. ; Chatterjee, S. Electrical and magnetic properties of La0.7-xYxSr0.3MnO3 (0 ≤ x ≤ 0:2) perovskite at low temperature, J. Phys.: Condens. Matter 1998, 10, 9799–9811. [Google Scholar] [CrossRef]
- Tiwari, A.; Rajeev, K.P. Low-temperature electrical transport in La0.7A0.3MnO3, (A: Ca, Sr, Ba). Solid State Commun. 1999, 111, 33–37. [Google Scholar] [CrossRef]
- Barman, A., Ghosh, M., Biswas, S.,. De, S.K:, Chatterjee, S. Electrical properties of La0.6Re0.1Ca0.3MnO3 (Re=Pr, Sm, Gd, Dy) at low temperature. Solid State Commun. 1998, 106, 691–694. [CrossRef]
- Herranz, G.; Sánchez, F.; Martínez, B.; Fontcuberta, J.; García-Cuenca, M. V.; Ferrater, C.; Varela, M.; Levy, P. Weak localization effects in some metallic perovskites. Eur. Phys. J. B 2004, 40, 439–444. [Google Scholar] [CrossRef]
- Herranz, G.; Sánchez, F.; Fontcuberta, J.; Laukhin, V.; Galibert, J.; García-Cuenca, M.V.; Ferrater, C.; Varela, M. Magnetic field effect on quantum corrections to the low-temperature conductivity in metallic perovskite oxides Phys. Rev. B - Condens. Matter Mater. Phys., 2005, 72, 014457. [Google Scholar] [CrossRef]
- Raychaudhuri, A.K.; Rajeev, K.P.; Srikanth, H.; Mahendiran, R. Low temperature studies on normal perovskite oxides: role of correlation and disorder. Physica B: CondensMat. 1994, 197, 124–132. [Google Scholar] [CrossRef]
- Westerburg, W. Spinpolarisierter Transport in epitaktischen Manganoxid und Doppelperowskitschichten, Ph.D. Thesis, Universität Mainz, October 6th, 2000. [Google Scholar]
- Kobayashi, K.I.; Kimura, T.; Sawada, H.; Terakura, K.; Tokura, Y. Room-Temperature Magnetoresistance in an Oxide Material with an Ordered Double-Perovskite Structure. Nature 1998, 395, 677–680. [Google Scholar] [CrossRef]
- 29. B. Knook, De anomale electrische Weerstand van een aantal Cu-, Ag-, en Au-Legeringen, PhD Thesis, University of Leiden, Netherlands, April 4th, 1962.
- Mazur, D.; Gray, K. E.; Zasadzinski, J.F.; Ozyuzer, L.; Beloborodov, I.S.; Zheng, H.; Mitchell, J.F. Redistribution of the density of states due to Coulomb interactions in La2−2xSr1+2xMn2O7. Phys. Rev. B - Condens. Matter Mater. Phys. 2007, 76, 193102. [Google Scholar] [CrossRef]
- Nath, T. K.; Majumdar A., K. Quantum interference effects in (Ni0. 5Zr0.5)1-xAlx metallic glasses, Phys. Rev. B - Condens. Matter Mater. Phys., 2007, 55, 5554–5557. [Google Scholar] [CrossRef]
- Cochrane, R.W.; Strom-Olsen, J.O. Scaling behavior in amorphous and disordered metals, Phys. Rev. B - Condens. Matter Mater. Phys. 1984, 29, 1088–1090. [Google Scholar] [CrossRef]
- Tomioka, Y.; Okuda, T.; Okimoto, Y.; Kumai, R.; Kobayashi, K.; Tokura, Y. Magnetic and Electronic Properties of a Single Crystal of Ordered Double Perovskite. Phys. Rev. B - Condens. Matter Mater. Phys. 2000, 61, 422–427. [Google Scholar] [CrossRef]
- Yanagihara, H.; Salamon, M.B.; Lyanda-Geller, Y.; Xu, S.; Moritomo, Y. Magnetotransport in double perovskite Sr2FeMoO6: Role of magnetic and nonmagnetic disorder. Phys. Rev. B - Condens. Matter Mater. Phys. 2001, 64, 214407. [Google Scholar] [CrossRef]
- Dyson, F.J. , General Theory of Spin-Wave Interactions, Phys. Rev. 1956, 102, 1217–1230. [Google Scholar] [CrossRef]
- Motida, K.; Miyahara, S. On the 90° exchange interaction between cathions (Cr3+, Mn2+, Fe3+ and Ni2+) in oxides, J. Phys. Soc. Jpn. 1970, 28, 1188–1196. [Google Scholar] [CrossRef]
- Voogt, F.C.; Palstra, T.T.M.; Niesen, L.; Rogojanu, O.C.; James, M. A.; Hibma, T. Superparamagnetic behavior of structural domains in epitaxial ultrathin magnetite films Phys. Rev. B - Condens. Matter Mater. Phys. 1998, 57, R8107–R8110. [Google Scholar] [CrossRef]
- Suchaneck, G.; Artiukh, E.; Gerlach, G. Resistivity and tunnel magnetoresistance in double-perovskite strontium ferromolybdate ceramics. Physica Status Solidi B 2022, 259, 2200012. [Google Scholar] [CrossRef]
- Sheng, P.; Sichel, E.K.; Gittleman, J.I. Fluctuation-induced tunneling conduction in carbon-polyvinylchloride composites, Phys. Rev. Lett. 1978, 40, 1197–2000. [Google Scholar] [CrossRef]
- Fisher, B.; Genossar, J.; . Chashka, K.B; Patlagan, L.; Reisner, G.M. Remarkable power-law temperature dependencies of inter-grain conductivity. Solid State Commun. 2006, 137, 641–644. [Google Scholar] [CrossRef]
- Fisher, B.; Genossar, J.; Chashka, K.B.; Patlagan, L.; Reisner, G.M. Inter-grain tunneling in the half-metallic double-perovskites Sr2BB'O6(BB'= FeMo, FeRe,CrMo, CrW, CrRe). Proceedings of the EPJ Web of Conferences 2014, 75, 01001. [Google Scholar] [CrossRef]
- S. Granville, I.L. Farrell, A.R. Hyndman, D.M. McCann, R.J. Reeves, G.V.M. Williams, Indications of spin polarized transport in Ba2FeMoO6 thin films, (2017). Available online: http://arxiv.org/abs/1707.01208, accessed on April 14th, 2023.
- Niebieskikwiat, D.; Sánchez, R.; Caneiro, A.; Morales, L.; Vásquez-Mansilla, M.; Rivadulla, F.; Hueso, L. High-Temperature Properties of the Double Perovskite: Electrical Resistivity, Magnetic Susceptibility, and ESR. Phys. Rev. B - Condens. Matter Mater. Phys 2000, 62, 3340–3345. [Google Scholar] [CrossRef]
- Zhang, L.; Zhou, Q.; He, Q.; He, T. Double-Perovskites A2FeMoO6-δ (A = Ca, Sr, Ba) as Anodes for Solid Oxide Fuel Cells. J. Power Sources 2010, 195, 6356–6366. [Google Scholar] [CrossRef]
- Maignan, A.; Raveau, B.; Martin, C.; Hervieu, M. Large Intragrain Magnetoresistance above Room Temperature in the Double Perovskite Ba2FeMoO6. J. Solid State Chem. 1999, 144, 224–227. [Google Scholar] [CrossRef]
- Emin, D.; Holstein, T. Studies of Small-Polaron Motion IV. Adiabatic Theory of the Hall Effect. Ann. Phys. 1969, 53, 439–520. [Google Scholar] [CrossRef]
- Okuda, T.; Kobayashi, K.-I.; Tomioka, Y.; Tokura, Y. Anomalous low-temperature specific heat around the metal-insulator transition in ordered double-perovskite alloys Sr2Fe(Mo1-yWy)O6 (0 ≤ y ≤ 1). Phys. Rev. B - Condens. Matter Mater. Phys 2003, 68, 144407. [Google Scholar] [CrossRef]
- Tai, L.W.; Nasrallah, M.M.; Anderson, H.U.; Sparlin, D.M.; Sehlin, S.R. Structure and Electrical Properties of La1-xSrxCo1-yFeyO3. Part 2. The System La1-xSrxCo0.2Fe0.8O3. Solid State Ionics 1995, 76, 273–283. [Google Scholar] [CrossRef]
- Zhang, L.; He, T. Performance of Double-Perovskite Sr2-xSmxMgMoO6-δ as Solid-Oxide Fuel-Cell Anodes. J. Power Sources 2011, 196, 8352–8359. [Google Scholar] [CrossRef]
- Hou, M.; Sun, W.; Li, P.; Feng, J.; Yang, G.; Qiao, J.; Wang, Z.; Rooney, D.; Feng, J.; Sun, K. Investigation into the Effect of Molybdenum-Site Substitution on the Performance of Sr2Fe1.5Mo0.5O6-δ for Intermediate Temperature Solid Oxide Fuel Cells. J. Power Sources 2014, 272, 759–765. [Google Scholar] [CrossRef]
- Auslender, M.; Kar’kin, A.E.; Rozenberg, E. Low-temperature resistivity minima in single-crystalline and ceramic La0.8Sr0.2MnO3: Mesoscopic transport and intergranular tunneling. J. Appl. Phys. 2001, 89, 6639–6641. [Google Scholar] [CrossRef]
- Kalanda, N.; Demyanov, S.; Yarmolich, M.; Petrov, A.; Sobolev, N.; Electric transport characteristics of Sr2FeMoO6–δ ceramics with structurally inhomogeneous surfaces, In: Workshop book, 2nd International Workshop on Advanced Magnetic Oxides (IWAMO), -25, Aveiro, Portugal, 2021, p.24. 24 November.
- Raychaudhuri, A.K.; Rajeev, K.F.; Srikanth, H.; Gayathri, N. Metal-insulator transition in perovskite oxides: Tunneling experiments. Phys. Rev. B - Condens. Matter Mater. Phys. 1995, 51, 7421–7428. [Google Scholar] [CrossRef]
- Saloaro, M.; Majumdar, S.; Huhtinen, H.; Paturi, P. Absence of traditional magnetoresistivity mechanisms in Sr2FeMoO6 thin films grown on SrTiO3, MgO and NdGaO3 substrates. J. Phys.: Condens. Matter 2012, 24, 366003. [Google Scholar] [CrossRef]




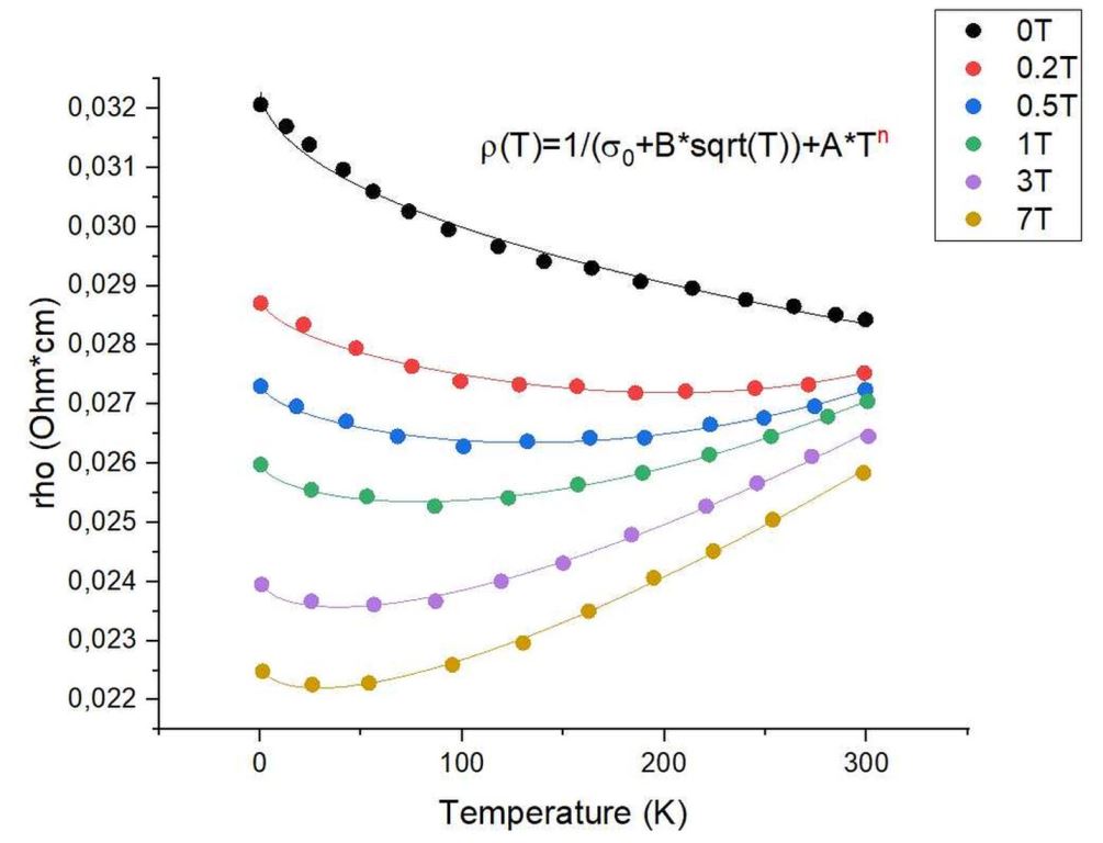
| B, T | s0, Sm-1 | B´, Sm-1K-1/2 | Cn, WmK-n | n |
|---|---|---|---|---|
| 0 | 3087 | 0.222 | -1.37×10-5 | 0.61 |
| 0.2 | 3464 | 0.174 | 6.09×10-12 | 3.31 |
| 0.5 | 3649 | 0.161 | 3.75×10-9 | 2.29 |
| 1 | 3839 | 0.166 | 1.15×10-7 | 1.77 |
| 3 | 4150 | 0.235 | 2.21×10-6 | 1.34 |
| 7 | 4414 | 0.270 | 3.73×10-6 | 1.22 |
Disclaimer/Publisher’s Note: The statements, opinions and data contained in all publications are solely those of the individual author(s) and contributor(s) and not of MDPI and/or the editor(s). MDPI and/or the editor(s) disclaim responsibility for any injury to people or property resulting from any ideas, methods, instructions or products referred to in the content. |
© 2023 by the authors. Licensee MDPI, Basel, Switzerland. This article is an open access article distributed under the terms and conditions of the Creative Commons Attribution (CC BY) license (http://creativecommons.org/licenses/by/4.0/).
