1. Introduction
A microgrid is a type of electrical system that can operate independently or in coordination with the main grid. It consists of one or more distributed energy resources (DERs) such as solar panels, wind turbines, batteries, or generators, which are used to generate or store electricity. Microgrids are designed to provide reliable, efficient, and eco-friendly power to local communities, businesses, and institutions, particularly in remote or off-grid areas where access to the main grid is limited or unreliable. Additionally, they can function as a backup source of power during emergencies, such as grid outages or natural disasters.
Voltage fluctuations are a common power quality issue in microgrids, especially those that incorporate renewable energy sources like solar and wind. These sources have variable outputs, causing voltage fluctuations that can negatively impact the stability and performance of the microgrid. Voltage fluctuation can be addressed based on voltage regulation. Voltage regulation is the process of keeping the voltage level in an electrical system stable and constant. This process is particularly important in microgrids, where voltage regulation is critical to ensuring dependable and efficient system operation, especially when intermittent renewable energy sources are present. To ensure voltage regulation in a microgrid, voltage regulators such as automatic voltage regulators (AVRs) or static VAR compensators (SVCs) can be used. These devices can regulate voltage levels in real time by increasing or decreasing the reactive power output of the system.
The STATCOM (Static Synchronous Compensator) is a power electronics device that is frequently used for voltage regulation and reactive power compensation in electrical power systems. It is a kind of flexible AC transmission system (FACTS) device that can introduce reactive power into the system to enhance power quality and voltage stability. With the capacity to supply both capacitive and inductive reactive power, the STATCOM can react quickly to changes in system conditions, making it a versatile device that is appropriate for various applications, including microgrids.
Ping He et al. [
1] in their paper presents a coordinated control strategy for PSS and STATCOM, two critical power system devices. The goal of this approach is to enhance power system stability and damping, particularly in the presence of disturbances like faults or sudden load changes. The study employs a multi-machine power system model and simulation techniques to evaluate the effectiveness of the proposed coordinated control strategy in various scenarios. According to the simulation outcomes, the strategy significantly improves power system stability and damping and outperforms other control methods that disregard coordination between PSS and STATCOM.
Kaliaperumal Rukmani et al. [
2] introduces a new approach to optimize the allocation of Distribution Static Compensators (D-STATCOMs) in distribution systems where there is uncertainty. D-STATCOMs are crucial in enhancing the power quality and stability of distribution systems by injecting reactive power. The proposed method involves a combination of fuzzy logic and particle swarm optimization (PSO) algorithms to determine the optimal locations and sizes of D-STATCOMs. Fuzzy logic is utilized to manage uncertainties in the system parameters, while the PSO algorithm is utilized to locate the optimal solution.
Tariq, M. et al. [
3] in their article describe a new approach for voltage regulation and power quality improvement using Static Synchronous Compensators (STATCOMs). The proposed method involves adjusting the phase angle between current and voltage using a simple PI controller to control the output voltage of the STATCOM. The effectiveness of the proposed method is evaluated through simulation studies, which show that it can successfully regulate voltage and improve power quality.
Anil Bharadwaj et al. [
4] proposes a novel approach to tune PI and PID controllers in power systems equipped with various types of Flexible AC Transmission System (FACTS) devices, including STATCOM, SSSC, and UPFC. The proposed method aims to minimize the damping of oscillations in the power system by adjusting the parameters of the controllers. To evaluate the performance of the proposed tuning method, the authors use a multi-machine power system model and conduct simulation studies. The results indicate that the proposed method can effectively improve the damping of oscillations in the power system and outperform other tuning methods that do not consider the presence of FACTS devices.
Sarath Perera et al. [
5] presents a framework for reducing power network oscillations with the use of Static Synchronous Compensators (STATCOMs) and synthesizing H2/H
∞ controllers. The framework employs an H2/H
∞ synthesis technique to design the controller and improve the stability of the power system. The paper evaluates the effectiveness of the proposed framework through simulations using a power system model with a STATCOM, and the results indicate that the framework can effectively reduce oscillations in the power system and enhance its stability.
Claudia Battistelli et al. [
6] suggests using the Whale Optimization Algorithm (WOA) to develop power system stabilizers for multi-machine power systems. The goal of this method is to enhance the stability of the system by designing power system stabilizers that minimize oscillations. The authors evaluate the proposed method by simulating it using a multi-machine power system model, and the findings show that the WOA-based stabilizers can effectively damp oscillations in the power system and enhance its stability [
7].
Liangce He et al. [
8] proposes a method to optimize the economic and environmental performance of an integrated regional energy system by incorporating integrated demand response into the environmental economic dispatch process. The proposed method optimizes the dispatch of different energy sources to minimize the total cost and emissions of the system while considering the impact of DR on the load demand. The effectiveness of the proposed method is evaluated through simulations, which show that it can effectively reduce the total cost and emissions of the system while considering the impact of DR.
D. Ranamuka et al. [
9,
10] proposes a strategy for controlling power flow in distribution systems using coordinated control of distributed solar-PV and battery energy storage units. The objective is to enhance the stability and efficiency of distribution systems through real-time power flow control by distributed energy resources. The proposed method is evaluated using a distribution system model with solar-PV and battery energy storage units, and simulation results demonstrate its effectiveness in improving the stability and efficiency of the distribution system [
11,
12].
The paper [
13,
14] proposes a Power System Stabilizer (PSS) design for damping low-frequency oscillations in a multi-machine power system with the integration of renewable power generation. The proposed PSS design is based on eigenvalue analysis and aims to optimize the damping of low-frequency oscillations in the system [
15,
16]. To evaluate the effectiveness of the proposed PSS design, simulations are conducted using a multi-machine power system model with renewable power generation. The simulation results indicate that the proposed PSS design can effectively dampen low-frequency oscillations and enhance the stability of the power system [
17,
18].
The performance of Particle Swarm Optimization (PSO) in controlling Static Synchronous Compensators (STATCOMs) in power systems may be limited by multiple factors [
19,
20]. One of these factors is the high sensitivity of the PSO algorithm to initial conditions, which may lead to suboptimal solutions or getting stuck in local optima. The solution to this problem can be achieved by starting with a good initial population and modifying the parameters of the PSO algorithm [
21,
22]. Another limitation is the inability of PSO-STATCOM to handle uncertainties in the power system such as variations in renewable energy sources or changes in load demand. As a result, this may result in suboptimal STATCOM operation and reduced performance in controlling the power system [
23,
24].
LSTM, which stands for Long Short-Term Memory, is a type of recurrent neural network specifically designed to learn long-term dependencies in data [
25,
26]. While regular RNNs may suffer from the vanishing gradient issue, LSTMs address this problem by introducing a set of "gates" that allow the network to selectively retain or discard information over time, thereby preserving a memory of past inputs and focusing on relevant data for the current task [
27].
The combination of LSTM and Genetic Algorithm (GA) can have diverse applications, including time-series prediction, anomaly detection, and optimization problems [
28,
29]. For time-series prediction, LSTM can be utilized to forecast future values based on historical data, while GA can be used to optimize the hyperparameters of the LSTM model such as the learning rate and the number of LSTM cells. In anomaly detection, LSTM can learn the regular patterns in data and identify any deviations from them, and GA can optimize the threshold for detecting anomalies [
30,
31]. In optimization problems, LSTM can serve as a surrogate model for evaluating the objective function, and GA can search for the optimal solution [
32,
33].
In this paper, an attempt has been made to design STATCOM, particularly in Microgrid to provide voltage and reactive power support under variation of environmental parameters. The LSTM has been used to store the previous memory and historical data of the power quality issues and amount of reactive power support whereas the genetic algorithm provides support for hyperparameter optimization. The objectives of the research can be summarized as follows.
Design of LSTM-GA mathematical modeling for STATCOM microgrid analysis.
Modelling of the proposed system using MATLAB Simulink model and its validation under dynamic non-linear loading conditions and PV output variation with respect to environmental parameters.
A detailed comparative analysis with the other established benchmarking model.
2. Problem Formulation and Solution Methodology
The single-line multi-machine Bus (SIMB) microgrid implementing STATCOM is shown in
Figure 1
This architecture is widely used for STATCOM performance evaluation under, the microgrid model [
34,
35]. The model mainly consists of an infinite Bus connected to a synchronous generator at one side through a two-winding transformer and at the other side to a microgrid architecture supported with STATCOM and PV source. The STATCOM under investigation is a GTO-based voltage source converter (VSC) [
36,
37]. Here the VSC will generate a controllable voltage in accordance with leakage reactance. Now the voltage difference between the STATCOM terminal and Bus will decide the power exchange such as Active Power and Reactive Power between the two devices. The amount of Reactive Power Exchange can be controlled using Voltage and Phase angle
.
Therefore, the no-linear equation between STATCOM voltage and Current becomes,
and
In Equation (
1),
,
and
represent the STATCOM load current, load current with respect to the d-axis and q-axis respectively. Similarly
represents DC-ref Voltage at the input of STATCOM. Further Equation (
2) can be modified as
Equation (
3) represents the output voltage equation of STATCOM, expressively designed based on the d and q-axis current level. Here
represents the ratio between AC and DC voltage. Again in order to calculate virtual electrical torque, the speed deviation has been taken into consideration
. Therefore, the new damping controller can be designed as a lead-lag compensating controller.
Based on Equation (
3) it is understood that proper tuning of STATCOM parameters such as
and C is required to minimize the damping at injected voltage level. Therefore, the optimization objective function can be formulated as,
In Equation (
4), t represents the simulation time for the model and that of
represents the number of the population in the genetic algorithm. The objective is to minimize the cost function and thereby improve the settling time and overshoot.
During Cost function optimization using GA, there is a state called fitness function or value evaluation which requires probability evaluation of each chromosome pair in the objective function. This requires running the iteration in order to evaluate fitness value. Therefore, in order to reduce the optimization time in evaluating the constraints at each step, long short-term memory (LSTM) has been introduced. The LSTM will hold the best solution for subsequent levels of iteration and thereby reduces the optimization time by , where is the total duration of iteration, which has been reduced to based on the best solutions.
Figure 2 shows the
architecture for STATCOM PI controller optimization. As observed the GA produces two sets of Optimized data related to electrical torque reference value and c value which is nothing but the ratio of dc injected voltage to AC-injected voltage. The LSTM encoder will hold the best-optimized value during GA iteration along with the time stamp. Therefore, during the decoding process, the same timestamp can be utilized for reactive power generation and subsequent voltage support along with SSR damping.
In order to properly train the model, it is highly recommended to activate each layer in the LSTM architecture using the appropriate activation function. The inputs to the activation layer are represented by
f and
V, while the output is represented by
. Generally, each layer in the activation module evaluates the weighted sum of all its input connections and maps it to an output, as shown in Equation (
5), where
represents the layer of the input module.
The recurrent connection between each layer
can be varied by changing the unit of
i. By applying the squashing function
on
, the output for the each layer
can be modeled as
Each memory cell unit in LSTM holds the previous state in the same proportion as the activation in the forget layer gate. Therefore, the current state vector
updates itself based on the modulus of the activation function at the input gate. Hence
Based on Equation (
7), the learning rate can be made more effective by designing each layer to track the activity flow over time. To achieve this, an eligibility trace module has been provided to trace the most recent activity value, as presented in Equation (8).
Similarly, the memory cell and forget gate can be modeled as
To develop a robust algorithm for tracking the required output against predicted output, a time range of [0, 1] has been implemented. The cross-entropy function has been used to quantify the error between the predicted and actual output of the LSTM module. The pseudo code for the implementable algorithm is presented at Algorithm 1.

3. Result Analysis
The proposed LSTM-GA model has been designed using MATLAB Simulink model as per the architecture shown in the
Figure 3
Here the LSTM module will process the , , and values to determine the required amount of reactive power for the grid which STATCOM needs to produce. The LSTM will share the hyperplane with GA optimized module to evaluate the agent position and initialize the chromosome parameter with four different variables.
Table 1 shows the STATCOM model parameters, which have been used in the Simulink model to do the analysis. All the set points especially AC voltage reference magnitude, and DC voltage set point are assumed to be per unit. All the AC and DC regulator gains have been evaluated based on a genetic algorithm ensembled with the classical Ziegler-Nicholas method.
As observed the regulator gain for AC voltage is [0.52 0.39], which is evaluated through the Ziegler-Nicholas Method (ZNM), and the of corresponding DC voltage gain is evaluated through ZNM and GA. Now the current regulator gain, which is a function of both AC voltage and DC voltage regulation gain has been evaluated through ZNM-LSTM ensembles with GA. So that a single hyperplane can be maintained throughout the analysis.
Figure 4 and
Figure 5, represent the LSTM-GA performance analysis for two different values of
such as 0.11 and 0.18 respectively. As observed the objective of the LSTM-GA is to forecast the requirement of reactive power support for the microgrid which is
and
respectively in this case. With the increase in chromosome size, the system could able to accurately predict the amount of required reactive power support for the grid. In the subsequent discussion, the performance analysis has been carried out with
of 0.18.
Figure 6, represents the STATCOM DC link voltage for three different models such as Fuzzy-PI-STATCOM, PSO-PI-STATCOM, and proposed LSTM-GA-PI-STATCOM (LGPS). As observed the "LGPS" model produces a standard optimized DC-Link voltage of 700.24V, which is 0.32% less as compared to the Fuzzy model and 0.23% less as compared to the PSO-STATCOM model. This reduction in voltage percentage will also reduce the voltage stress on the switch.
Figure 7 represents the STATCOM -DC-link-Current for all the models. Here it is observed that with the Fuzzy-STATCOM model, the system exhibits sub-synchronous resonance (SSR) between 0.002 to 0.005 sec and that of a similar kind of SSR was also noticed with PSO-STATCOM from 0.006 to 0.008 sec. However, an SSR limit of 2.8% has been noticed with the hyperplane concept using LSTM and GA. As compared to Fuzzy and PSO-STATCOM models; the SSR has been reduced by 7.2% and 9.43% with the proposed "LGPS" model. The SSR also reduces the voltage swell at the point of common coupling and thereby indirectly supplying the reactive power compensation in the line.
Figure 8 represents the STATCOM injected current and
Figure 9 represents STATCOM injected Voltage at the point of common coupling. As observed the injected current using the proposed model is 11.23 Amp. Similarly, a voltage level of 188V has been maintained at PCC against 200V and 197V in the case of the Fuzzy and PSO-enabled PI controller. Similarly, the THD level of all the 3-model for injected current is shown in
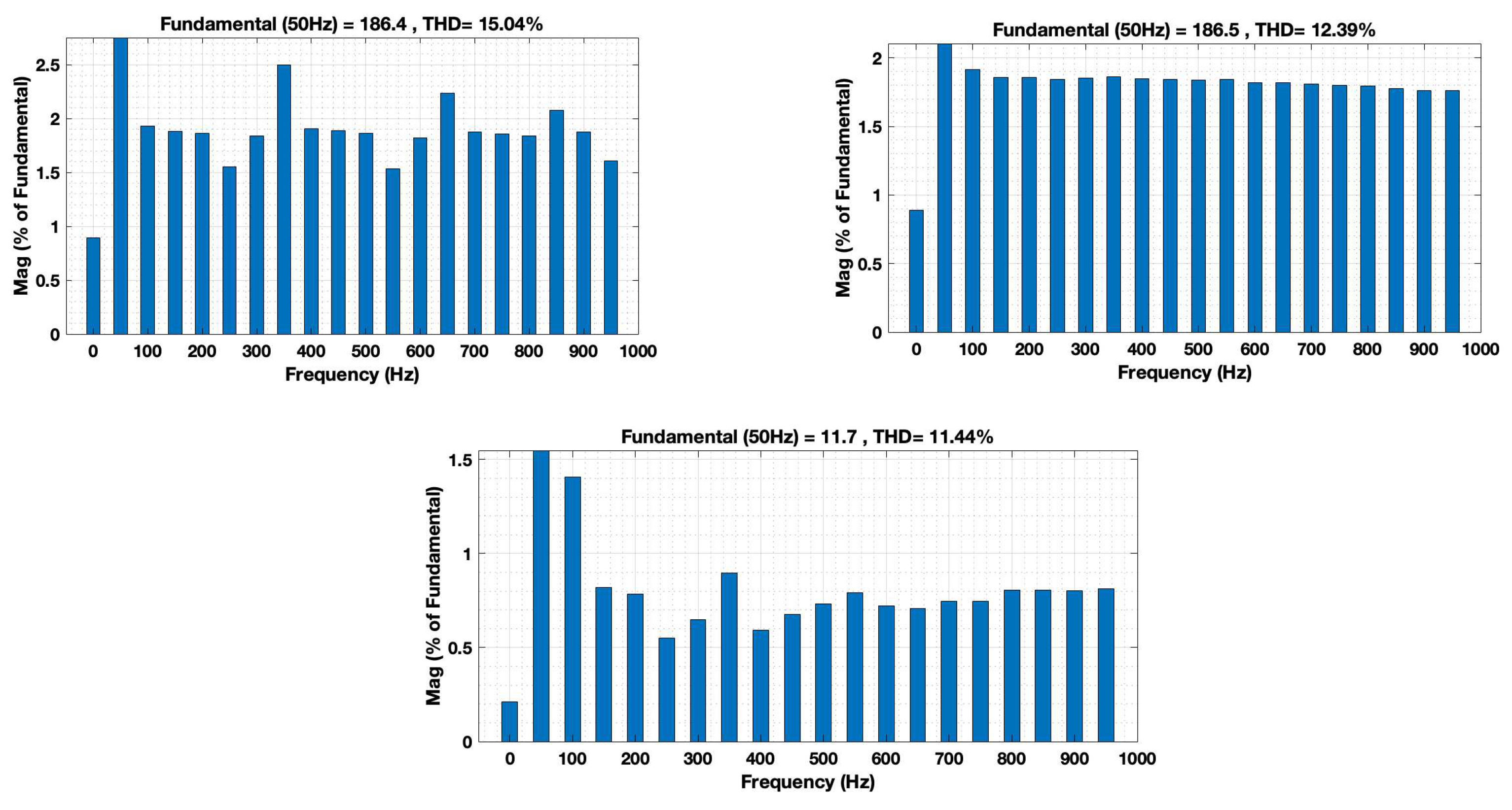
Figure 10. With the proposed model the THD has been reduced to 11.44% against 15.04% in Fuzzy-PI STATCOM and 12.39% in PSO-PI STATCOM.
Figure 11, represents the voltage waveform of the r-phase of the microgrid. The percentage of harmonics injected by STATCOM becomes 18% and that of by proposed model it becomes 12.03%.
Table 2, shows the power quality analysis of the STATCOM microgrid. It is observed that maximum harmonics have been produced with Fuzzy-PI STATCOM of the order of
and that of least harmonic is
with the proposed model. In all three cases, the broadband has been maintained for the notch. As compared to all the algorithms, with LSTEM-GA-PI-STATCOM least DC offset has been noticed. Similarly,
Table 3, represents the time domain analysis of the STATCOM-PI controller. The proposed algorithm produces
of overshoot, which is also the least among all the bench-marking models.
4. Conclusion
The Optimal and coordinated performance of STATCOM and Microgrid using the LSTM-Genetic algorithm has been evaluated in this article using the simulation methods under normal and abnormal operating conditions. Both the AC and DC voltage gain of the STATCOM has been optimized by using LSTM-GA. It is observed that using critically tuning the parameter the DC-Offset for LSTM-GA STATCOM has been reduced drastically to 0.07% against 0.21%, this also avoids SSR to an extent of 17%.
The Harmonic and inter-harmonic components using LSTM-GA methodology reduce the burden on the transmission line and thereby reduce the overheating of the conductor in a microgrid system under load variation conditions. In order to maintain proper system balance with respect to IEC and IEEE standards, a notching level of the broadband range has been maintained. During time domain analysis, the proposed LSTM-PI-GA model shows less settling time as compared to the other two benchmarking models under the step-changing mode of operation.
The optimized STATCOM device has been presented as a dependable solution for improving the stability of microgrid systems, regardless of whether they are functioning normally or abnormally. This device is capable of suppressing transient oscillations in power and frequency while managing voltage fluctuations caused by external disturbances or changes in load demand. Overall, STATCOM is a highly effective resource for ensuring the consistent and stable performance of microgrid systems.
Funding
No fund is supported for this article
Conflicts of Interest
The authors declare no conflict of interest.
References
- Ping He, Qiyuan Fang, Haoran Jin, Yuqi Ji, Zhijie Gong, Jie Dong, Coordinated design of PSS and STATCOM-POD based on the GA-PSO algorithm to improve the stability of wind-PV-thermal-bundled power system, International Journal of Electrical Power & Energy Systems, Volume 141, 2022, 108208, ISSN 0142-0615. [CrossRef]
- Kaliaperumal Rukmani, D.; Thangaraj, Y.; Subramaniam, U.; Ramachandran, S.; Madurai Elavarasan, R.; Das, N.; Baringo, L.; Imran Abdul Rasheed, M. A New Approach to Optimal Location and Sizing of DSTATCOM in Radial Distribution Networks Using Bio-Inspired Cuckoo Search Algorithm. Energies 2020, 13, 4615. [Google Scholar] [CrossRef]
- Tariq, M.; Zaheer, H.; Mahmood, T. Modeling and Analysis of STATCOM for Renewable Energy Farm to Improve Power Quality and Reactive Power Compensation. Eng. Proc. 2021, 12, 44. [Google Scholar] [CrossRef]
- Anil Bharadwaj, Suman Maiti, Nirmalya Dhal, S. Chakraborty, Sreekesh K. Pillai, Chapter 10 - E-STATCOM (energy storage+STATCOM): a solution to integrate large-scale wind farms into the grid at medium and high power levels, Editor(s): P. Sanjeevikumar, C. Sharmeela, Jens Bo Holm-Nielsen, P. Sivaraman, Power Quality in Modern Power Systems, Academic Press, 2021, Pages 283-310, ISBN 9780128233467. [CrossRef]
- Sarath Perera, Sean Elphick, Chapter 2 - Steady-state voltage in low voltage networks, Editor(s): Sarath Perera, Sean Elphick, Applied Power Quality, Elsevier, 2023, Pages 19-48, ISBN 9780323854672. S: Perera, Sean Elphick, Chapter 2 - Steady-state voltage in low voltage networks, Editor(s). [CrossRef]
- Claudia Battistelli, Antonello Monti, Chapter 5 - Dynamics of modern power systems, Editor(s): Antonello Monti, Federico Milano, Ettore Bompard, Xavier Guillaud, Converter-Based Dynamics and Control of Modern Power Systems, Academic Press, 2021, Pages 91-124, ISBN 9780128184912. [CrossRef]
- R. Dash, P. Paikray and S. C. Swain, "Active power filter for harmonic mitigation in a distributed power generation system," 2017 Innovations in Power and Advanced Computing Technologies (i-PACT), 2017, pp. 1-6. [CrossRef]
- Liangce He, Zhigang Lu, Lijun Geng, Jiangfeng Zhang, Xueping Li, Xiaoqiang Guo, Environmental economic dispatch of integrated regional energy system considering integrated demand response, International Journal of Electrical Power & Energy Systems, Volume 116, 2020, 105525, ISSN 0142-0615. [CrossRef]
- D. Ranamuka, K. M. Muttaqi and D. Sutanto, "Flexible AC Power Flow Control in Distribution Systems by Coordinated Control of Distributed Solar-PV and Battery Energy Storage Units," in IEEE Transactions on Sustainable Energy, vol. 11, no. 4, pp. 2054-2062, Oct. 2020. [CrossRef]
- B. Patnaik, S. Chandra Swain and R. Kumar Dash, "An Experimental Analysis of Solar PV on Higher Concentration of Methane," 2022 IEEE India Council International Subsections Conference (INDISCON), 2022, pp. 1-5. [CrossRef]
- Kerekes T, Sera D, Teodorescu R, et al. Improved MPPT algorithms for rapidly changing environmental conditions. in Proc. of Power Electron Motion Control Conf. 2006; p. 1614–1619.
- Narsingoju K, Busa V, Kumar GV. Simulation analysis of maximum power control of photovoltaic power system. Int J Adv Electr Electron Eng. 2012;1(1): 9–14.
- B. Patnaik, S. C. Swain and R. Dash, "A Study on Effect of GHG on the Performance of Grid Connected Solar PV System," 2022 IEEE India Council International Subsections Conference (INDISCON), 2022, pp. 1-4. [CrossRef]
- Sakib N, Kabir M, Rahman MS, et al. A comparative study of flower pollination algorithm and bat algorithm on continuous optimization problems. Int J Appl Inf Syst. 2014;7(9):20–19.
- Yang B, Zhong L, Zhang X, et al. Novel bio-inspired memetic salp swarm algorithm and application to MPPT for PV systems considering partial shading condition. J Clean Prod. 2019;215:1203–1222.
- Kumar C, Rao R. A novel global MPP tracking of a photovoltaic system based on whale optimization algorithm. Int J Renew Energy Dev. 2016;5(03):225– 232.
- Mohanty S, Subudhi B, Ray PK. A new MPPT design using grey wolf optimization technique for photovoltaic system under partial shading conditions. IEEE Trans Sustainable Energy. 2016;7(1):181–188.
- Mansoor M, Feroz Mirza A, Ling Q. Harris hawk optimization-based MPPT control for PV systems under partial shading conditions. J Clean Prod. 2020; 274:122857.
- El-Helw HM, Magdy A, Marei MI. A hybrid maximum power point tracking technique for partially shaded photovoltaic arrays. IEEEAccess. 2017;5:11900– 11908.
- R. Paul, R. Dash and S. C. Swain, "Design & Analysis of Current Controller for SPV Grid Connected System through Hysteresis CCT," 2018 International Conference on Applied Electromagnetics, Signal Processing and Communication (AESPC), 2018, pp. 1-6. [CrossRef]
- H. Shen, L. Xu, Y. Xu, and J. Cao, "A novel hybrid PSO-LSTM approach for improving MPPT performance of PV system under partially shaded conditions", Solar Energy, 2019.
- Kong, W.C.; Dong, Z.Y.; Jia, Y.W.; Hill, D.J.; Xu, Y.; Zhang, Y. Short-Term Residential Load Forecasting Based on LSTM Recurrent Neural Network. IEEE Trans. Smart Grid 2019, 10, 841–851. [Google Scholar] [CrossRef]
- Saied M, Ali A, Mostafa M, et al. A survey of maximum PPT techniques of PV systems. in Proc of IEEE Energytech. 2012. p. 1–10.
- Premkumar M, Sowmya R. Certain study on MPPT algorithms to track the global MPP under partial shading on solar PVmod- 431 ule/array. Int JComput Digital Syst. 2019;8(4):405–416.
- Ali, S.; Bhargava, A.; Saxena, A.; Kumar, P. A Hybrid Marine Predator Sine Cosine Algorithm for Parameter Selection of Hybrid Active Power Filter. Mathematics 2023, 11, 598. [Google Scholar] [CrossRef]
- Aziz, R.M.; Mahto, R.; Goel, K.; Das, A.; Kumar, P.; Saxena, A. Modified Genetic Algorithm with Deep Learning for Fraud Transactions of Ethereum Smart Contract. Appl. Sci. 2023, 13, 697. [Google Scholar] [CrossRef]
- Sahoo, S. Chandra Swain and R. Dash, "A Novel Flower Pollination Method for Unit Price Estimation in a Microgrid," 2022 3rd International Conference for Emerging Technology (INCET), 2022, pp. 1-5. [CrossRef]
- S.M. Abd-Elazim, E.S. Ali, Imperialist competitive algorithm for optimal STATCOM design in a multimachine power system, International Journal of Electrical Power & Energy Systems, Volume 76, 2016, Pages 136-146, ISSN 0142-0615. [CrossRef]
- B. Patnaik, S. C. Swain, U. Kumar Rout and R. Dash, "Performance of Solar PV under higher Concentration of Carbon dioxide and Methane," 2022 Trends in Electrical, Electronics, Computer Engineering Conference (TEECCON), 2022, pp. 113-118. [CrossRef]
- A. Ballaji, R. Dash, V. Subburaj, J. R. Kalvakurthi, D. Swain and S. C. Swain, "Design & Development of MPPT Using PSO With Predefined Search Space Based on Fuzzy Fokker Planck Solution," in IEEE Access, vol. 10, pp. 80764-80783, 2022. [CrossRef]
- B. Patnaik, S. C. Swain, U. K. Rout and R. Dash, "An Experimental Investigation of Co2 Concentration on Solar PV Performance using SVM," 2021 Innovations in Power and Advanced Computing Technologies (i-PACT), 2021, pp. 1-6. [CrossRef]
- A. Ramadan, S. Kamel, M.H. Hassan, T.M. V´eliz, A.M. Eltamaly, Parameter Estimation of Static/Dynamic Photovoltaic Models Using a Developed Version of Eagle Strategy Gradient-Based Optimizer, Sustainability 13 (2021) 13053.
- R. Dash, P. R. Behera and S. M. Ali, "Hybrid system for meeting global energy demand with solar PV and wind system," 2014 International Conference on Control, Instrumentation, Communication and Computational Technologies (ICCICCT), 2014, pp. 388-392. [CrossRef]
- Ritesh Dash, Sarat Chandra Swain, Effective Power quality improvement using Dynamic Activate compensation system with Renewable grid interfaced sources, Ain Shams Engineering Journal, Volume 9, Issue 4, 2018, Pages 2897-2905, ISSN 2090-4479. [CrossRef]
- Abdul-Kalaam R, Muyeen S, Al-Durra A. Review of maximum power point tracking techniques for photovoltaic system. Global J 420 Control Eng Technol.2016;2:8–18.
- S. C. Swain, R. Dash, S. M. Ali and A. K. Mohanta, "Performance evaluation of photovoltaic system based on solar cell modelling," 2015 International Conference on Circuits, Power and Computing Technologies [ICCPCT-2015], 2015, pp. 1-6. [CrossRef]
- Premkumar M, Sumithira TR. Humpback whale assisted hybrid maximum power point tracking algorithm for partially shaded 445 solar photovoltaic systems. Journal of Power Electronics. 2018;18(6):1498–1511.
|
Disclaimer/Publisher’s Note: The statements, opinions and data contained in all publications are solely those of the individual author(s) and contributor(s) and not of MDPI and/or the editor(s). MDPI and/or the editor(s) disclaim responsibility for any injury to people or property resulting from any ideas, methods, instructions or products referred to in the content. |
© 2023 by the authors. Licensee MDPI, Basel, Switzerland. This article is an open access article distributed under the terms and conditions of the Creative Commons Attribution (CC BY) license (http://creativecommons.org/licenses/by/4.0/).