Preprint
Article

This version is not peer-reviewed.

Time Evolution of Energy States

Submitted:

29 December 2023

Posted:

29 December 2023

Read the latest preprint version here

Abstract
In order to describe the time evolution of energy states we choose to abandon the non-relativistic Hamiltonian method, which has been the standard for nearly a century, in favor of a more fundamental, relativistically correct Lagrangian method based on theories originally proposed by Dirac and Einstein. Integral equations of motion for the absorption and emission of radiation are derived that underlie and anticipate the differentially motivated Schrödinger equation. This new interpretation applies to a large volume of experimental evidence of both classical and quantum mechanical origin. Among the examples discussed in support are Planck’s law describing black body radiation, the function of the simplest quantum mechanical system an electron cyclotron, atomic clocks, matrix mechanics, chaos theory, and evolutionary biology.
Keywords: 
;  ;  ;  ;  

1. Introduction

There are two distinct approaches for obtaining the equations of motion of a material system. The more common method is to derive equations that correctly predict the value of physical variables. We evaluate the correctness of the equation by how well predictions coincide with measurements. This is how the Hamilton formulation of quantum mechanics originated and was manifested formally in matrix mechanics, wave mechanics, and the path integral formulation. There is an alternate, more fundamental method we can use if we are not sure which equation is the correct one. This method allows one to collect together all the equations and express them as the stationary property of a certain action function, the time-integral of the Lagrangian [1,2]. The Lagrangian method has the advantage that it can easily be expressed relativistically, on account of the action function being a relativistic invariant. It calls for minimizing a single physical quantity, the action, in order to obtain the path actually taken. This second method, also referred to as “Hamilton’s principle”, allows the differential equations of motion for any physical system to be re-formulated as an equivalent integral equation.

2. Theory

The Schrödinger equation is a linear partial differential equation based on Hamiltonian mechanics that determines how the wave function evolves over time. A probability distribution of all possible particle paths is obtained by taking the square of the wave function. Only one of the paths is realized, the path that results in a particle measurement. However, there is an alternate method that describes the quantum system by taking the time integral of a Lagrangian. It expresses the meaning of the entire set of differential equations describing the paths, irrespective of whether a path is confirmed by measurement. The path realized is the path for which the action is minimized.
The Hamiltonian formulation ignores paths that are not observed. Thus the wave function describes the time evolution of quantum states, excitation and decay, as a single event. The Lagrangian method differs fundamentally for it holds that observability and measurement are not the only determinations of path, rather that all paths, also unobservable paths, must be accounted for due to the conservation of energy. To describe the time evolution of a quantum state using the Lagrangian method we use symmetry arguments and define the electron shells as surfaces equidistant from the nucleus as specified by the generalized coordinates R1 and R2 [3]. Because quantization consists of two distinct electron paths to complete one cycle, two equations of motion are required.
The first equation, describes the electron’s path during excitation as the action minimum of a Lagrangian. Upon arrival the fields are localized and assume the experimentally determined orbital angular momentum (T-V) = 2πE.
Preprints 94874 i001
The action functional, S[r(t)], describes the absorption process four-dimensionally as a continuous path that proceeds from the ground state to that of the excited state. It has as its argument an infinite number of functions, the possible electron trajectories r(t). If the initial time t1 of the excitation is arbitrarily set at zero, then the action integral for one sinusoidal cycle of fields is evaluated as follows:
Preprints 94874 i002
Simplifying, the photons are described in the usual way, E τ = ћ.
Emission follows absorption and consists of a four-dimensional localization of fields, the Lagrangian density of the fields and their first derivatives £(ϕi, ϕi,μ) in the region of space-time between the excited and ground states R2 and R1. This allows for a complete accounting of the energy interactions, where ϕi is the current density due to a transitioning electron and ϕi,μ is the localized electromagnetic field strength that results in the creation of a photon.
Preprints 94874 i003
Solving 2) we obtain an expression for the localized fields of a photon Eτ=ћ. The action S[ϕi(t)] is a functional, a function of the values of generalized coordinates on the discrete boundaries of the space-time surfaces R2 and R1 which are in turn functions of the continuous space-time variables of the fields within the surface. The photon is described therefore as a four-dimensional localization of fields contained within the volume d3x and the time interval t2-t1 . Thus discrete and continuous properties of the energy transformation process are described in a single equation.
We will use the time evolution of quantum states given by 1) and 2) to introduce new perspectives for deriving the laws of nature. Rather than formulating classical laws separately from quantum mechanical laws we seek equations of motion that include classical and quantum concepts together. Thus the time evolution of a quantum state consists of a continuous energy increase of classical origin, a discrete quantum mechanical transformation, and the four-dimensional localization of energy during emission. We will show in the following that this physical model, as described by 1) and 2), has heuristic value and leads to further insights into the behavior of natural phenomena.

3.Applications

3.1. Time asymmetry

Using arguments originating with Einstein, energy and momentum at the molecular level are shown to be causally related [3,4]. The causal relationship leads inevitably to his derivation of the A and B coefficients, precursors to the experimentally confirmed theory of lasers. The coefficient B12 (excitation) refers to energy transfer caused by momentum exchange due to molecular impulses in the direction of propagation. The coefficients B21 and A21 (decay) refer to recoil momentum due to the induced and spontaneous emission of photons in a direction opposed to the direction of propagation. These arguments enable him to describe black body radiation at the molecular level using statistical arguments, and he concludes that excitation is governed by Maxwell-Boltzmann statistics and emission is governed by Planck statistics. Because different probability laws are used to describe the momentum exchange of absorption and emission processes it was well known that [5], “Einstein believes that irreversibility is exclusively due to reasons of probability”.
Einstein’s theory of the causal relationship between energy and momentum has been proven experimentally by laser technology; however, his views on irreversibility are not accepted. The pure quantum state is believed to be reversible and that irreversibility is determined by “collapse” of the wave function when a measurement is performed, a non-relativistic effect; and not by probability, a relativistic effect which can vary with respect to gravitational potential due to time dilation. Ordinarily arguments based on the conservation of momentum would provide sufficient cause to question a theory. Similar arguments based on momentum exchange resulted in Pauli’s proposal for the existence of an unknown particle to explain beta decay, and in Fermi’s theory of the neutrino which eventually confirmed it. Einstein’s theory concerning the irreversibility of quantum states has been ignored. In the next section we provide experimental proof that the quantum state is irreversible.

3.2. The geonium atom

We have discussed the time evolution of energy states in abstract terms by using the theoretically derived equations 1) and 2) and Einstein’s A and B coefficients. We wish now to compare theory and practice with a fascinating series of experiments that could not possibly have been imagined by the founders of quantum mechanics in 1926. The experiments are superior in precision and simplicity to the single-electron hydrogen atom used to derive non-relativistic quantum mechanics. In fact the “geonium atom” is the simplest possible quantum system since it replaces the nucleus with an external apparatus bound to the earth [6]. It is possible to trap single electrons in a “bottle” made of intersecting electric and magnetic fields and cool them to near absolute zero. The fields may then be used to manipulate the motion of an electron as it transitions between energy levels at rates many magnitudes slower than the electrons in an atom. The trapped electron constitutes an artificial atom or “quantum cyclotron”. The measurements are so sensitive that the influence of the earth’s gravitational field must be taken into account in order to calculate the equations of motion.
Applying a relatively large constant magnetic field to the trap causes the electron to execute two different types of motion simultaneously; circular orbits perpendicular to the field and axial drifts parallel to it. The experiments are used to precisely observe the absorption and emission of energy by a quantum oscillator. As they describe it, “There is a small alternating magnetic field in the particle’s rest frame, which is perpendicular to the large constant magnetic field. This alternating magnetic field has a frequency component and so a spin-flipping resonance occurs when the drive frequency equals the anomaly frequency.” In other words, the electron is stimulated by a small classically defined magnetic field with varying frequency. The drive frequency gradually shifts upwards with increasing energy until it causes a discrete “spin-flip” to occur.
According to the standard model electromagnetic field energy is quantized before it is absorbed. Experiments performed with geonium, the simplest possible quantum system, clearly indicate otherwise. Energy is absorbed continuously due to classical magnetic resonance and emitted discretely in the form of a spin-flip. Belief that pure quantum states exhibit time reversal symmetry is denied here by experimental proof. Spin flips cannot be manipulated to reproduce or counteract the continuously variable potential of magnetic fields. Thus experimental techniques have outstripped theoretical principles derived a century ago when relatively simple spectroscopic measurements were all that was available. The change in state of an electron that is isolated physically by an electromagnetic potential is correctly interpreted by applying equations 1) and 2).

3.3. Non-inertial frames

In the early years of quantum mechanics it was assumed that the influence of the gravitational field on an atom could be neglected due to its extremely small effect compared to that of the electric field. At the time there were very few objections and no hard evidence to the contrary. Heisenberg’s uncertainty principle proved that the paths of electrons are indeterminate so it seemed reasonable to formulate quantum mechanics in inertial frames; that is, in the absence of gravitational fields.
Recent experiments require that we rethink those ideas. Researchers have designed an atomic clock using a single crystal of 100,000 strontium atoms together with ultraviolet light to differentiate between the gravitational potential of the crystal’s upper and lower surfaces, a distance of one millimeter [7]. The fractional frequency instability given for that experiment, 7.6X10-21, makes it possible to determine the fractional shift in wavelength Δλ corresponding to the thickness of the electron shell.
Preprints 94874 i004
Therefore each cycle of an atomic clock’s “pendulum”, an oscillating electron, is carried out between surfaces of thickness with uncertainty Δx ≤ 5.3 X 10-27 m, a distance that is much smaller than the indeterminacy of an electron relative to the nucleus due to the wavelength, λ=3.26x10-2 m. The ticks of the clock are referred to as “non-demolition measurements” because the uncertainty of the ticks does not increase from their measured value as the system evolves [8]. This means that the collapse of the wave function does not occur when time measurements are performed. Continued clock improvements are only limited by experimental factors so the accuracy of time measurement is believed to be theoretically unbounded. If a different clock rate exists at each point in space, as this experiment suggests, then formulations of quantum mechanics in inertial frames; that is, in the absence of gravitational fields, are incomplete. We require instead a relativistic formulation of quantum mechanics in non-inertial frames that includes gravitational fields, an exercise that was carried out in more detail in a previous communication [9].

3.4. The time parameter

Quantum mechanics as presently formulated does not distinguish clearly between the determination of states and the time evolution of states. The energy of a state is measured at single points in time whereas the time evolution of energy states occurs continuously over a period of time. To illustrate the difference consider Planck’s radiation law Bν(ν, T) for black body radiation which gives the distribution of energy states, or frequencies, for oscillators at a given temperature.
Preprints 94874 i005
Each point on the curve describing Planck’s law represents emission frequency due to the decay of an oscillator from an excited state to a lower energy state at a given temperature. Einstein introduced the idea that quantized packets of energy are required to account for the electron decays [10]. The measurements are manifestly non-relativistic since temperature cannot be transformed relativistically [11].
Equation 3) successfully describes the observed distribution of quantum states in terms of their frequencies, but it does not describe how the quantum states themselves evolve. Einstein was not satisfied with a non-relativistic derivation so he continued studying the question. Four years later he was finally able to obtain a detailed balance equation describing the mean square fluctuation in energy due to photon numbers combined with the superposition of electromagnetic fields [12].
Preprints 94874 i006
As Einstein describes it, “According to the current theory, the expression would be reduced to the second term (fluctuation due to interference). If the first term alone were present, the fluctuations of the radiation pressure could be completely explained by the assumption that the radiation consists of independently moving, not too extended complexes of energy . In this case, too, the formula says that in accordance with Planck's formula the effects of the two causes of fluctuation mentioned act like fluctuations (errors) arising from mutually independent causes.”
There are very noticeable differences in the equations 3) and 4), both of which describe Planck’s radiation law, for the simple reason that each one is designed for a particular purpose. By accurately describing the spectral density of black body radiation Planck’s derivation of 3) succeeds in predicting what is observed (see 1.0). It is a non-relativistic equation because it is only valid in inertial systems relative to absolute time; that is, in the absence of the influence of gravitational fields. On the other hand, Einstein’s equation 4) is formulated in continuous time as a statistical balance between the incoming energy resulting from the wave properties of electromagnetic radiation and the outgoing energy due to photon emission. The total energy, discrete and continuous, emitted by the time evolution of states is obtained by integrating, which occurs physically by means of the averaging effects of a detector. As a balance equation formulated continuously in time it holds irrespective of the intensity of gravitational fields. Because it corrects naturally for time dilation we say it is formulated relativistically.

3.5. Matrix mechanics

Despite its unusual and highly complex mathematics, matrix mechanics is related to the topic of black body radiation and the emission and absorption of radiation. To understand how we shall inspect its formulation of the energy matrix [13].
Preprints 94874 i007
The diagonal elements n=m represent the observable properties of energy, the transition probabilities and frequencies, which are emissions formulated relative to the internal coordinates of an atom. Non-diagonal matrix elements n≠m refer to net zero exchanges of emission energy but overall positive exchanges of absorption energy due to an increase in the kinetic energy of molecules. However, because impulses due to molecular impact cannot be observed individually Heisenberg did not take them into account believing that quantum mechanics should be “founded exclusively upon relationships between quantities which in principle are observable”.
Although he eliminated exchanges of momentum, from consideration due to their unobservability Heisenberg soon realized that something was missing, lamenting to Pauli in a letter [14], “But the worst thing is that I am quite unable to clarify the transition [of matrix mechanics] to the classical theory.” If he had taken into consideration Einstein’s findings that momentum and energy are causally related (see Section 3.1) he would have realized that he had skipped over classical theory in violation of the conservation of energy and gone directly to quantum theory. Because quantum emissions cannot occur without the absorption of heat energy, matrix mechanics is an incomplete formulation of quantum mechanics. A complete energy matrix would add positive, though indeterminate kinetic energy values to all matrix elements, diagonal and non-diagonal, due to exchanges of momentum.

3.6. Liquid helium in a box

Quantum mechanics is believed to be restricted to applications at the microscopic level. There are, however, many classical experiments which look suspiciously like the quantum jump. Consider the flow of heat through a quantity of liquid helium confined in a box [15]. When a very small temperature difference of a mere 0.001°C is applied to the upper and lower sides of the box, heat energy flows continuously causing cylindrical rolls of fluid to be created by the thermal currents. The rolls conduct a continuous flow of energy from high temperature to low. We can associate the paths of helium molecules with action minima as described by equation 1).
A slight increase of heat causes a wobble to appear and then the period doubles, or "bifurcates" as a second oscillation is added. The bifurcation, which increases energy flow by adding a second dissipation center, may be described as a four-dimensional localization of energy as in equation 2). The flows do not interfere with each other so the superposition is continuous. However, the appearance of the new dissipation center occurs discontinuously. Continuous increases of energy are followed by discrete transitions to a new center of flow and a heightened flow level overall. It supports the hypothesis that the time evolution of energy states described in 2.0 has universal value since it can be applied to both microscopic and macroscopic phenomena.

3.7. Pendulum connected to an external drive

We can also observe bifurcations graphically by tracing a pendulum’s motion with respect to equally spaced points in time [16]. In the Figure 1 and Figure 2) we see the time-asymptotic phase-space orbit of a pendulum as it transitions from period one motion to period two motion in response to an external drive. In period one motion the pendulum repeats the same motion over and over. In period two motion the cycles are distinguishable from each other and are repeated on alternate periods of the external drive. The transition from period one to period two occurs unpredictably at a single moment in time.
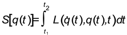
The diagrams describe the time evolution between classical energy states. To compare them with the time evolution of a quantum state we apply Hamilton’s principle which expresses the meaning of the entire set of differential equations describing the paths. The symmetry of the experiment calls for generalized coordinates in the plane of the orbits just as generalized coordinates on electron shells is called for by the atomic transitions described in equations 1) and 2). Rather than deriving differential equations of motion by calculating the positions and velocities of the pendulum as in Newtonian mechanics; we apply Hamilton’s principle, which states that the path actually taken is the path for which the action is minimized, where the action S[q(t)] is given by the time integral of a Lagrangian.
Preprints 94874 i008
We describe the energy state of period one motion in 6) relativistically by integrating the action over the period of an orbit t2 – t1. The energy state of period 2 motion (two oscillations) is slightly higher than twice the energy of period 1 motion. The transition between period one and period two motion, referred to as a “bifurcation”, occurs discretely. As in the case of quantum states, it is impossible to describe the change in path of the transition deterministically by means of a differential equation of motion.
A non-relativistic description of pendulum motion would seek to predict the energy difference between period 1 motion and period 2 motion. This is because the Schrödinger equation describes transition between energy states (the eigenvalues) as time-independent values measured at single points in time. It would disregard the continuous motion of the pendulum and instead attempt to measure the difference between the period one and period two energy states, the transition energy. As noted in 3.4 transition energy is non-relativistic if it is measured discretely at a single point in time, and relativistic if a continuous increase of energy is followed by a discrete transitioto a higher energy state.

4. Conclusion

Although the Hamiltonian formulation of quantum mechanics provides the best possible description of observed microscopic phenomena, it gives an incomplete description of what cannot be observed, the absorption energy. Absorption energy precedes the emission of energy in order to satisfy energy conservation. Thus the wave function represents two events, and due to the conservation of energy the first (absorption) must be carried out to completion before the second one (emission) can begin. Each one is governed by the uncertainty principle and each one follows a path determined by the action minimum ћ. Because the wave function includes twice the action minimum it does not describe paths or particles, rather it represents the complete quantum system or quantum oscillator.
An improved description of the time evolution of energy states is obtained by using the Lagrangian formulation for it includes both classical and quantum mechanical concepts: continuous absorption, discrete four-dimensional localization, and the release of energy. The differences between a non-relativistic Hamiltonian formulation and the more fundamental Lagrangian formulation become especially apparent when macroscopic phenomena are considered. In macroscopic, classically defined experiments such as period doubling (Figure 3) absorptions are continuous, easily measured, and evolve in regular intervals determined by the Feigenbaum constants [17]. Thus changes of state of any type, quantum or classical, are more accurately interpreted by means of Lagrangian methods which isolates the system from environmental influence and applies equations 1) and 2).
This new physical model describing the time evolution of energy states has heuristic value in the search for a more complete understanding of nature. The gradually increasing energy of a material system followed by discrete changes in structure is a pattern that is repreated countless times. We find it in the extremely small, the emission of a photon by an atom; the extremely complex, period doubling phenomena in chaos theory; and the extremely large, the gravitational collapse of a star that results in the formation of a black hole. The same energy transformation pattern is even found in a theory of evolutionary biology. Periods of uniformity in the fossil record are often followed by sudden structural change in a process referred to as “punctuated equilibrium” [18]. By establishing the correct mathematical foundations as in 2.0 it is possible to appreciate that quantum mechanics is a truly universal theory of nature touching every aspect of the world around us, both microscopic and macroscopic.

References

  1. Lanczos, C. The Variational Principles of Mechanics 4th edn. (Dover, 1970).
  2. Dirac, P.A.M. The Lagrangian in quantum mechanics. Phys Zeit Sow 1933, 3, 1. [Google Scholar]
  3. Oldani, R. The Conservation Laws in Quantum Mechanics. https://www.preprints.org/manuscript/202303.0334/v4.
  4. Einstein, A. “On the quantum theory of radiation. Phys Z 1917, 18, 63. [Google Scholar]
  5. Ritz, W. and Einstein, A. On the present status of the radiation problem. Phys Z 1909, 10, 323–324. [Google Scholar]
  6. Brown, L.S.; Gabrielse, G. Geonium theory: physics of a single electron or ion in a Penning trap. Reviews of Modern Physics 1986, 58, 233–311. [Google Scholar] [CrossRef]
  7. T. Bothwell et al. Resolving the gravitational red shift within a millimeter atomic sample. Nature 2022, arXiv:2109.12238602, 420. [Google Scholar] [CrossRef] [PubMed]
  8. Braginsky, V.B. , Vorontsov, Y.I.; Thorne, K.S. Quantum nondemolition measurements. Science 1980, 209, 4456. [Google Scholar] [CrossRef] [PubMed]
  9. Oldani, R. Galactic Symmetry. Preprints 2020, 2020090215. [Google Scholar] [CrossRef]
  10. Einstein, A. On a heuristic point of view about the creation and conversion of light. Annalen der Physik 1905, 17. [Google Scholar]
  11. Landsberg, P. and Matsas, G. The impossibility of a universal relativistic temperature transformation. Physica A 2004, 340, 92–94. [Google Scholar] [CrossRef]
  12. Einstein, A. On the present status of the radiation problem. Phys Z 1909, 10, 185–193. [Google Scholar]
  13. W. Heisenberg Z Phys 33 (1) (1925), in B.L. van der Waerden (ed.), Sources of Quantum Mechanics (Amsterdam, 1967).
  14. Pauli, W. Wissenschaftlicher Briefwechsel mit Bohr, Einstein, Heisenberg. Vol 1 Hermann, A., von Meyenn, K., & Weisskopf, V. Eds. (NY: Springer, 1979), p. 251.
  15. Libchaber in Nonlinear Phenomena at Phase Transitions and Instabilities, ed. T. Riste (NY: Plenum, 1982), p. 259.
  16. Fitzpatrick, R. Introduction to Computational Physics (University of Texas), p. 155, 164.
  17. Feigenbaum, M. J. Quantitative universality for a class of nonlinear transformations". Journal of Statistical Physics 1978, 19, 25–52. [Google Scholar] [CrossRef]
  18. Eldredge, N.; Niles, S.J. Punctuated equilibria: An alternative to phyletic gradualism” In Schopf, T.J.M. (ed.). Models in Paleobiology. San Francisco, CA: Freeman Cooper. 1972, pp. 82–115.
Figure 1. Period one motion.
Figure 1. Period one motion.
Preprints 94874 g001
Figure 2. Period two motion.
Figure 2. Period two motion.
Preprints 94874 g002
Figure 3. Period doubling on the way to chaos.
Figure 3. Period doubling on the way to chaos.
Preprints 94874 g003
Disclaimer/Publisher’s Note: The statements, opinions and data contained in all publications are solely those of the individual author(s) and contributor(s) and not of MDPI and/or the editor(s). MDPI and/or the editor(s) disclaim responsibility for any injury to people or property resulting from any ideas, methods, instructions or products referred to in the content.
Copyright: This open access article is published under a Creative Commons CC BY 4.0 license, which permit the free download, distribution, and reuse, provided that the author and preprint are cited in any reuse.
Prerpints.org logo

Preprints.org is a free preprint server supported by MDPI in Basel, Switzerland.

Subscribe

Disclaimer

Terms of Use

Privacy Policy

Privacy Settings

© 2026 MDPI (Basel, Switzerland) unless otherwise stated