Submitted:
11 May 2023
Posted:
12 May 2023
You are already at the latest version
Abstract
Keywords:
1. Introduction
2. Materials and Methods
2.1. Plant Material

2.2. Experimental Method
2.2.1. Method for Measuring Chilling Requirements
2.2.2. Method for Measuring Physiological Indicators in FB Dormancy Period
2.3. Statistical Analysis
3. Results
3.1. Chilling Requirement for Dormancy Breaking
3.2. Determination of Physiological Indicators during Low-Temperature Storage and Dormancy
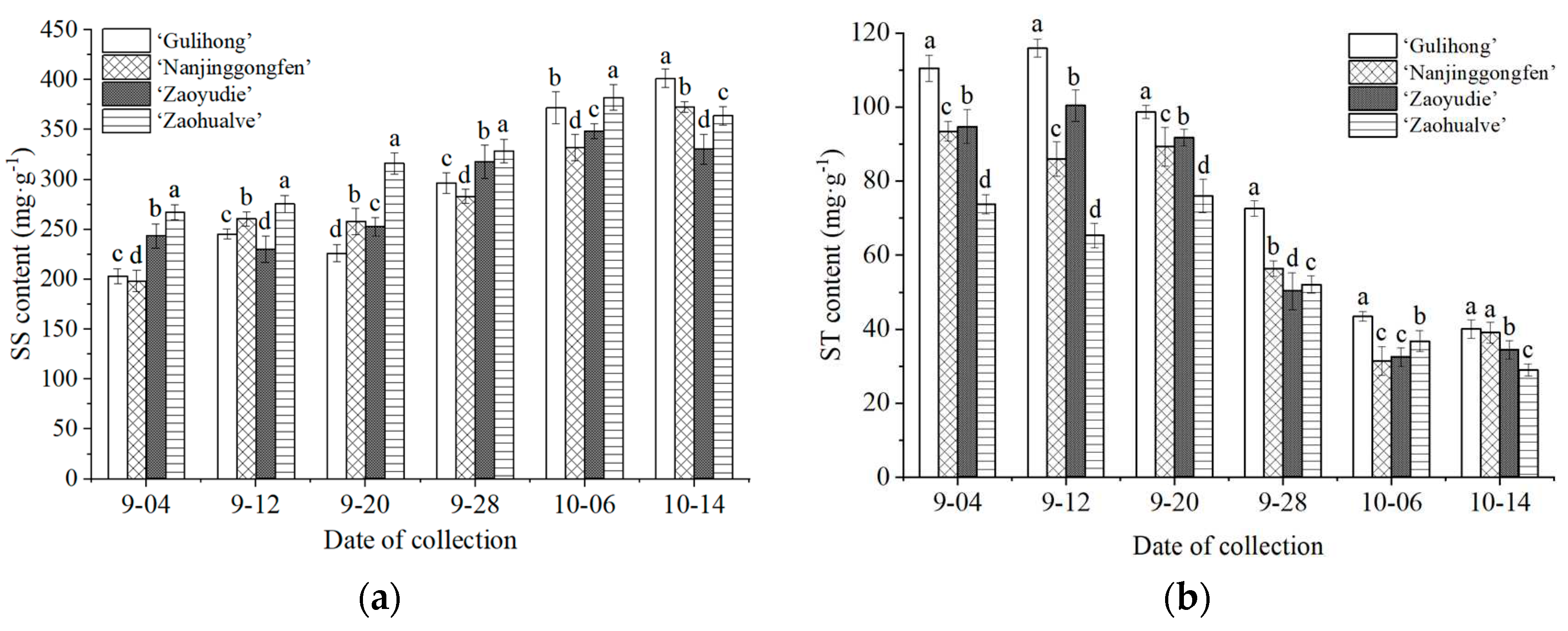
3.2.1. Changes of SS and ST Contents in FBs during Low-Temperature Release Dormancy
3.2.2. Effects of Low-Temperature on the Antioxidant Enzyme System in FBs during the Release of Dormancy
3.2.3. The Effect of Low-Temperature on the Content Changes of Endogenous Hormones in FBs during the Release of Dormancy
4. Discussion
4.1. Chilling Requirement
4.2. Carbohydrates
4.3. Antioxidant Enzyme Activities
4.4. Endogenous Hormone
5. Conclusions
Author Contributions
Funding
Data Availability Statement
Conflicts of Interest
References
- Hao R, Du D, Wang T, et al. A comparative analysis of characteristic floral scent compounds in Prunus mume and related species[J]. Bioscience, Biotechnology, and Biochemistry, 2014, 78(10): 1640-1647.
- Bergstrand K J I. Methods for growth regulation of greenhouse produced ornamental pot-and bedding plants–a current review[J]. Folia Horticulturae, 2017, 29(1): 63-74.
- Faust, M., Erez, A., Rowland, L. J., Wang, S. Y., Norman, H. A. Bud dormancy in perennial fruit trees: physiological basis for dormancy induction, mainte-nance, and release. HortScience, 1997, 32(4), 623-629. [CrossRef]
- Angevine M W, Chabot B F. Seed germination syndromes in higher plants[M]//Topics in plant population biology. Palgrave, Lon-don, 1979: 188-206.
- Moe R. Factors affecting flower abortion and malformation in roses[J]. Physiologia Plantarum, 1971, 24(2): 291-300.
- Darbyshire R, Webb L, Goodwin I, et al. Winter chilling trends for deciduous fruit trees in Australia[J]. Agricultural and forest meteorology, 2011, 151(8): 1074-1085.
- Weinberger J H. Chilling requirements of peach cultivars[C]//Proceedings. American Society for Horticultural Science. 1950, 56: 122-28.
- Richardson E A, Seeley S D, Walker D R, et al. Pheno-climatography of spring peach bud development [J]. HortScience, 1975, 10(3): 236-237.
- Fishman S, Erez A, Couvillon G A. The temperature dependence of dormancy breaking in plants: computer simulation of pro-cesses studied under controlled temperatures[J]. Journal of Theoretical Biology, 1987, 126(3): 309-321.
- Erez A. Bud dormancy; phenomenon, problems and solutions in the tropics and subtropics[J]. Temperate fruit crops in warm cli-mates, 2000: 17-48.
- Erez A, Couvillon G A. Characterization of the influence of moderate temperatures on rest completion in peach[J]. Journal of the American Society for Horticultural Science, 1987, 112(4): 677-680.
- Erez A, Couvillon G A, Hendershott C H. The effect of cycle length on chilling negation by high temperatures in dormant peach leaf buds [J]. Journal of the American Society for Horticultural Science, 1979, 104(4): 573-576.
- Ou S. Chilling requirement of local mume trees in Taiwan [J]. Journal of Beijing Forestry University. 1999(02): 73-77.
- Zhuang W, Zhang Z, Shi T, Wang P, Shao J, Luo, X, Gao Z. Advance on chilling requirement and its chilling models in deciduous fruit crops [J]. Journal of Fruit Science,2012,29(3):447-453.
- Yang Y, Li Q. Chilling requirement of Prunus mume cultivars.[J]. Journal of Beijing Forestry University. 2013, 35(S1): 47-51.
- Gao Z, Zhuang W, Wang L, et al. Evaluation of chilling and heat requirements in Japanese apricot with three models[J]. HortScience, 2012, 47(12): 1826-1831.
- Cooke J E K, Eriksson M E, Junttila O. The dynamic nature of bud dormancy in trees: environmental control and molecular mechanisms[J]. Plant, cell & environment, 2012, 35(10): 1707-1728.
- Sagisaka S, Araki T. Amino acid pools in perennial plants at the wintering stage and at the beginning of growth[J]. Plant and Cell Physiology, 1983, 24(3): 479-494.
- Karssen C M, Brinkhorst-Van der Swan D L C, Breekland A E, et al. Induction of dormancy during seed development by endoge-nous abscisic acid: studies on abscisic acid deficient genotypes of Arabidopsis thaliana (L.) Heynh[J]. Planta, 1983, 157(2): 158-165.
- Lang A. The effect of gibberellin upon flower formation[J]. Proceedings of the National Academy of Sciences, 1957, 43(8): 709-717.
- Wang L, Hu N. Chilling requirement of Peach cultivars. [J]. Journal of Fruit Science. 1992(01): 39-42.
- Li H. Modern Plant Physiology - 3rd Edition. Publisher: Higher Education Press, China, 2012.
- Gao J. Plant Physiology guide (paperback). Publisher: Higher Education Press, China, 2006.
- Parkes H, Darbyshire R, White N. Chilling requirements of apple cultivars grown in mild Australian winter conditions[J]. Scientia Horticulturae, 2020, 260: 108858.
- Li Z, Liu N, Zhang W, et al. Integrated transcriptome and proteome analysis provides insight into chilling-induced dormancy breaking in Chimonanthus praecox[J]. Horticulture Research, 2020, 7.
- Yamane H, Kashiwa Y, Kakehi E, et al. Differential expression of dehydrin in flower buds of two Japanese apricot cultivars re-quiring different chilling requirements for bud break[J]. Tree physiology, 2006, 26(12): 1559-1563.
- Wang, X.Y., H.L. He, G.S. Liang, and C.X. Zhao. Study on the dormancy of mume cultivars in southern subtropical area of Chi-na[J]. Journal of Fruit Science, 2007.
- Chao W S, Serpe M D. Changes in the expression of carbohydrate metabolism genes during three phases of bud dormancy in leafy spurge[J]. Plant molecular biology, 2010, 73: 227-239.
- Saddhe A A, Manuka R, Penna S. Plant sugars: Homeostasis and transport under abiotic stress in plants[J]. Physiologia plantarum, 2021, 171(4): 739-755.
- Gibson S I. Control of plant development and gene expression by sugar signaling[J]. Current opinion in plant biology, 2005, 8(1): 93-102.
- Bonhomme M, Rageau R, Lacointe A, et al. Influences of cold deprivation during dormancy on carbohydrate contents of vegetative and floral primordia and nearby structures of peach buds (Prunus persica L. Batch)[J]. Scientia Horticulturae, 2005, 105(2): 223-240. [CrossRef]
- Hernández J A, Díaz-Vivancos P, Acosta-Motos J R, et al. Interplay among antioxidant system, hormone profile and carbohydrate metabolism during bud dormancy breaking in a high-chill peach variety[J]. Antioxidants, 2021, 10(4): 560.
- Walton E F, Boldingh H L, McLaren G F, et al. The dynamics of starch and sugar utilisation in cut peony (Paeonia lactiflora Pall.) stems during storage and vase life[J]. Postharvest Biology and Technology, 2010, 58(2): 142-146. [CrossRef]
- Ahmad P, Sarwat M, Sharma S. Reactive oxygen species, antioxidants and signaling in plants[J]. Journal of Plant Biology, 2008, 51: 167-173.
- Hernández J A, Díaz-Vivancos P, Martínez-Sánchez G, et al. Physiological and biochemical characterization of bud dormancy: Evolution of carbohydrate and antioxidant metabolisms and hormonal profile in a low chill peach variety[J]. Scientia Horticul-turae, 2021, 281: 109957.
- Źróbek-Sokolnik A. Temperature stress and responses of plants[J]. Environmental adaptations and stress tolerance of plants in the era of climate change, 2012: 113-134.
- Gubler F, Millar A A, Jacobsen J V. Dormancy release, ABA and pre-harvest sprouting[J]. Current opinion in plant biology, 2005, 8(2): 183-187.
- Schrader J, Moyle R, Bhalerao R, et al. Cambial meristem dormancy in trees involves extensive remodelling of the transcriptome[J]. The Plant Journal, 2004, 40(2): 173-187.
- Wen L H, Zhong W J, Huo X M, et al. Expression analysis of ABA-and GA-related genes during four stages of bud dormancy in Japanese apricot (Prunus mume Sieb. et Zucc) [J]. The Journal of Horticultural Science and Biotechnology, 2016, 91(4): 362-369.
- Zhang Z, Zhuo X, Zhao K, et al. Transcriptome profiles reveal the crucial roles of hormone and sugar in the bud dormancy of Prunus mume [J]. Scientific reports, 2018, 8(1): 1-15.




| Exit Date | CR (CU) | FB Germination Rate (%) | |||
|---|---|---|---|---|---|
| ‘Gulihong’ | ‘Nanjing gongfen’ | ‘Zaoyudie’ | ‘Zaohualve’ | ||
| 9-17 | 252 | 9.52 | 0 | 20.57 | 0 |
| 9-19 | 276 | 15.19 | 0 | 18.20 | 26.12 |
| 9-21 | 348 | 18.10 | 12.34 | 31.58 | 50.82 |
| 9-23 | 396 | 40.25 | 49.91 | 63.53 | 58.40 |
| 9-25 | 420 | 62.10 | 40.21 | 53.29 | 61.27 |
| 9-27 | 492 | 75.36 | 63.52 | 78.54 | 60.03 |
Disclaimer/Publisher’s Note: The statements, opinions and data contained in all publications are solely those of the individual author(s) and contributor(s) and not of MDPI and/or the editor(s). MDPI and/or the editor(s) disclaim responsibility for any injury to people or property resulting from any ideas, methods, instructions or products referred to in the content. |
© 2023 by the authors. Licensee MDPI, Basel, Switzerland. This article is an open access article distributed under the terms and conditions of the Creative Commons Attribution (CC BY) license (http://creativecommons.org/licenses/by/4.0/).