Submitted:
28 April 2023
Posted:
03 May 2023
You are already at the latest version
Abstract

Keywords:
1. Introduction
1.1. Sustainable heat stress mitigation by wind
1.2. UTCI sensitivity to wind
1.3. Study objectives
2. Materials and Methods
2.1. Experimental data
2.2. Data analysis and statistics
2.3. UTCI calculations
3. Results
3.1. Wind effects assessed by UTCI
3.2. Wind effects on physiological heat strain
3.3. UTCI assessment related to physiological wind effects
3.4. UTCI assessment with higher wind speeds and thermal radiation
4. Discussion
4.1. Temperature-humdity depending wind effect thresholds
4.2. Limitations and outlook
5. Conclusions
Author Contributions
Funding
Institutional Review Board Statement
Informed Consent Statement
Data Availability Statement
Acknowledgments
Conflicts of Interest
Appendix A
- A1.
- An additional example of recordings of physiological heat strain variables depending on temperature, humidity and air velocity;
- A2.
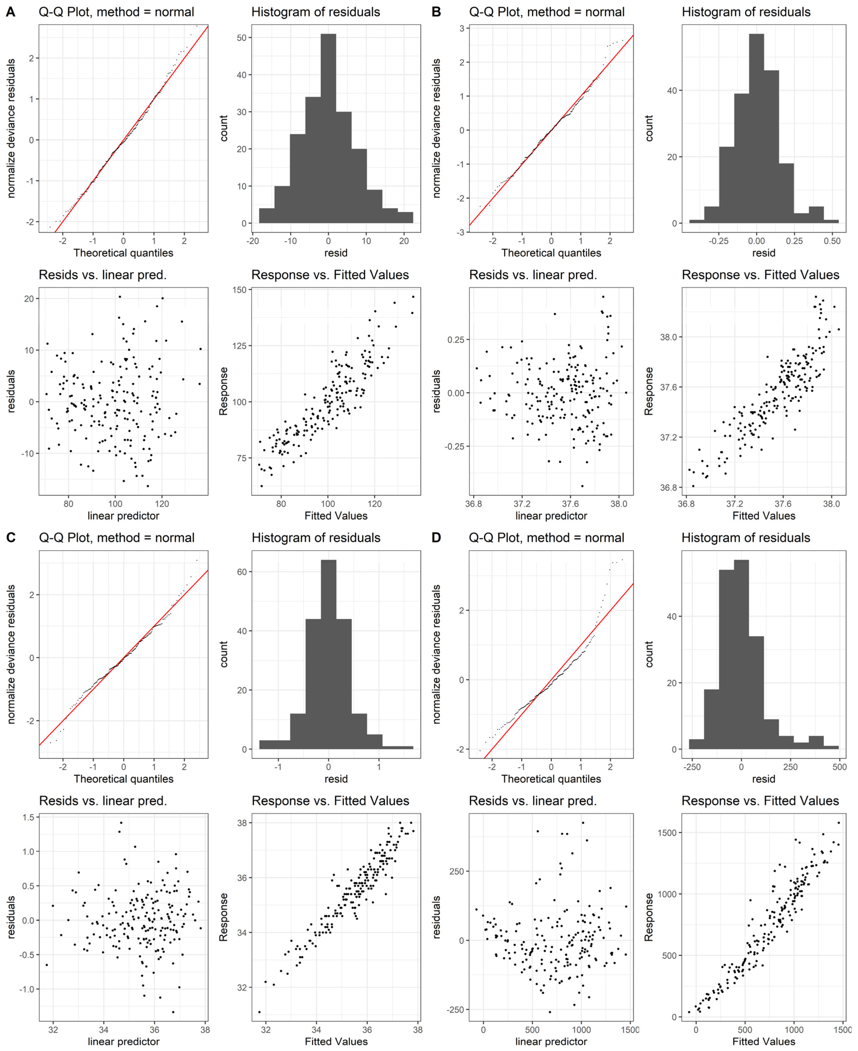
- Goodness-of-fit plots for the GAMs fitted to the physiological heat strain variables;
- A3.
- Influence of radiant heat and wind speed on wind effects assessed by UTCI (ΔvUTCI);
- A4.
- Correlations between the wind effects of the physiological heat strain variables with UTCI calculated for va,10m = 4 m/s.




References
- Ebi, K.L.; Capon, A.; Berry, P.; Broderick, C.; de Dear, R.; Havenith, G.; Honda, Y.; Kovats, R.S.; Ma, W.; Malik, A.; et al. Hot weather and heat extremes: health risks. The Lancet 2021, 398, 698–708. [Google Scholar] [CrossRef]
- Romanello, M.; Di Napoli, C.; Drummond, P.; Green, C.; Kennard, H.; Lampard, P.; Scamman, D.; Arnell, N.; Ayeb-Karlsson, S.; Ford, L.B.; et al. The 2022 report of the Lancet Countdown on health and climate change: health at the mercy of fossil fuels. The Lancet 2022, 400, 1619–1654. [Google Scholar] [CrossRef]
- Foster, J.; Smallcombe, J.W.; Hodder, S.; Jay, O.; Flouris, A.D.; Nybo, L.; Havenith, G. An advanced empirical model for quantifying the impact of heat and climate change on human physical work capacity. International Journal of Biometeorology 2021, 65, 1215–1229. [Google Scholar] [CrossRef]
- Bröde, P.; Fiala, D.; Lemke, B.; Kjellstrom, T. Estimated work ability in warm outdoor environments depends on the chosen heat stress assessment metric. International Journal of Biometeorology 2018, 62, 331–345. [Google Scholar] [CrossRef]
- Jay, O.; Capon, A.; Berry, P.; Broderick, C.; de Dear, R.; Havenith, G.; Honda, Y.; Kovats, R.S.; Ma, W.; Malik, A.; et al. Reducing the health effects of hot weather and heat extremes: from personal cooling strategies to green cities. The Lancet 2021, 398, 709–724. [Google Scholar] [CrossRef]
- Malik, A.; Bongers, C.; McBain, B.; Rey-Lescure, O.; Dear, R.d.; Capon, A.; Lenzen, M.; Jay, O. The potential for indoor fans to change air conditioning use while maintaining human thermal comfort during hot weather: an analysis of energy demand and associated greenhouse gas emissions. The Lancet Planetary Health 2022, 6, e301–e309. [Google Scholar] [CrossRef]
- Jay, O.; Hoelzl, R.; Weets, J.; Morris, N.; English, T.; Nybo, L.; Niu, J.; de Dear, R.; Capon, A. Fanning as an alternative to air conditioning – A sustainable solution for reducing indoor occupational heat stress. Energy and Buildings 2019, 193, 92–98. [Google Scholar] [CrossRef]
- CDC. Frequently Asked Questions (FAQ) About Extreme Heat; Centers for Disease Control and Prevention: Atlanta, GA, 2020-01-15, 2012. [Google Scholar]
- EPA. Excessive Heat Events Guidebook; EPA 430-B-16-001; United States Environmental Protection Agency: Washington, DC, 2016; Availabe online: https://www.epa.gov/sites/production/files/2016- 03/documents/eheguide_final.pdf (accessed on 2020-01-15). [Google Scholar]
- McGregor, G.R.; Bessemoulin, P.; Ebi, K.; Menne, B. Heatwaves and Health: Guidance on Warning-System Development; WMO-No. 1142; World Meteorological Organization and World Health Organization: Geneva, 2015; Availabe online: https://library.wmo.int/doc_num.php?explnum_id=3371 (accessed on 2020- 01-15). [Google Scholar]
- Candas, V.; Libert, J.P.; Vogt, J.J. Influence of air velocity and heat acclimation on human skin wettedness and sweating efficiency. Journal of Applied Physiology 1979, 47, 1194–1200. [Google Scholar] [CrossRef]
- Adams, W.C.; Mack, G.W.; Langhans, G.W.; Nadel, E.R. Effects of varied air velocity on sweating and evaporative rates during exercise. Journal of Applied Physiology 1992, 73, 2668–2674. [Google Scholar] [CrossRef]
- Nadel, E.R.; Stolwijk, J.A. Effect of skin wettedness on sweat gland response. Journal of Applied Physiology 1973, 35, 689–694. [Google Scholar] [CrossRef]
- Jay, O.; Capon, A. Use of physiological evidence for heatwave public policy. The Lancet Planetary Health 2018, 2, e10. [Google Scholar] [CrossRef]
- Morris, N.B.; English, T.; Hospers, L.; Capon, A.; Jay, O. The Effects of Electric Fan Use Under Differing Resting Heat Index Conditions: A Clinical Trial. Annals of Internal Medicine 2019, 171, 675–677. [Google Scholar] [CrossRef]
- Ravanelli, N.M.; Hodder, S.G.; Havenith, G.; Jay, O. Heart Rate and Body Temperature Responses to Extreme Heat and Humidity With and Without Electric Fans. JAMA 2015, 313, 724–725. [Google Scholar] [CrossRef]
- Morris, N.B.; Chaseling, G.K.; English, T.; Gruss, F.; Maideen, M.F.B.; Capon, A.; Jay, O. Electric fan use for cooling during hot weather: a biophysical modelling study. The Lancet Planetary Health 2021, 5, e368–e377. [Google Scholar] [CrossRef]
- Tartarini, F.; Schiavon, S.; Jay, O.; Arens, E.; Huizenga, C. Application of Gagge’s energy balance model to determine humidity-dependent temperature thresholds for healthy adults using electric fans during heatwaves. Building and Environment 2021, 207, 108437. [Google Scholar] [CrossRef]
- Hospers, L.; Smallcombe, J.W.; Morris, N.B.; Capon, A.; Jay, O. Electric fans: A potential stay-at-home cooling strategy during the COVID-19 pandemic this summer? Science of The Total Environment 2020, 747, 141180. [Google Scholar] [CrossRef]
- Jay, O.; Cramer, M.N.; Ravanelli, N.M.; Hodder, S.G. Should electric fans be used during a heat wave? Applied Ergonomics 2015, 46, 137–143. [Google Scholar] [CrossRef]
- Normand, C.W.B. The effect of high temperature, humidity, and wind on the human body. Quarterly Journal of the Royal Meteorological Society 1920, 46, 1–14. [Google Scholar] [CrossRef]
- Ainsworth, B.E.; Haskell, W.L.; Herrmann, S.D.; Meckes, N.; Bassett, D.R.J.; Tudor-Locke, C.; Greer, J.L.; Vezina, J.; Whitt-Glover, M.C.; Leon, A.S. 2011 Compendium of Physical Activities: A Second Update of Codes and MET Values. Medicine & Science in Sports & Exercise 2011, 43, 1575–1581. [Google Scholar] [CrossRef]
- ISO 8996. Ergonomics of the thermal environment – Determination of metabolic rate; International Organisation for Standardisation: Geneva, 2021. [Google Scholar]
- Kampmann, B. Zur Physiologie der Arbeit in warmem Klima. Ergebnisse aus Laboruntersuchungen und aus Feldstudien im Steinkohlenbergbau. Habilitation Thesis, Bergische Universität Wuppertal, Wuppertal, 2000. [Google Scholar]
- Kampmann, B.; Bröde, P. Do one-hour exposures provide a valid assessment of physiological heat strain? Zeitschrift für Arbeitswissenschaft 2022, 76, 105–117. [Google Scholar] [CrossRef]
- Brown, W.K.; Sargent, F. Hidromeiosis. Archives of Environmental Health: An International Journal 1965, 11, 442–453. [Google Scholar] [CrossRef] [PubMed]
- Candas, V.; Libert, J.; Vogt, J. Effect of hidromeiosis on sweat drippage during acclimation to humid heat. European Journal of Applied Physiology and Occupational Physiology 1980, 44, 123–133. [Google Scholar] [CrossRef] [PubMed]
- Foster, J.; Smallcombe, J.W.; Hodder, S.; Jay, O.; Flouris, A.D.; Havenith, G. Quantifying the impact of heat on human physical work capacity; part II: the observed interaction of air velocity with temperature, humidity, sweat rate, and clothing is not captured by most heat stress indices. International Journal of Biometeorology 2021, 66, 507–520. [Google Scholar] [CrossRef] [PubMed]
- Kamon, E.; Avellini, B. Wind speed limits to work under hot environments for clothed men. Journal of Applied Physiology 1979, 46, 340–345. [Google Scholar] [CrossRef] [PubMed]
- Graham, C.; Lynch, G.P.; English, T.; Hospers, L.; Jay, O. Optimal break structures and cooling strategies to mitigate heat stress during a Rugby League match simulation. Journal of Science and Medicine in Sport 2021, 24, 793–799. [Google Scholar] [CrossRef] [PubMed]
- Wang, F.; Deng, Q.; Lei, T.-H.; Wang, X.; Wang, A.R. Biophysical modelling predicts unreliable core temperature responses on healthy older adults using electric fans at residential homes during heatwaves. Building and Environment 2023, 228, 109888. [Google Scholar] [CrossRef]
- Jendritzky, G.; de Dear, R.; Havenith, G. UTCI - Why another thermal index? International Journal of Biometeorology 2012, 56, 421–428. [Google Scholar] [CrossRef]
- Fiala, D.; Havenith, G.; Bröde, P.; Kampmann, B.; Jendritzky, G. UTCI-Fiala multi-node model of human heat transfer and temperature regulation. International Journal of Biometeorology 2012, 56, 429–441. [Google Scholar] [CrossRef]
- Havenith, G.; Fiala, D.; Blazejczyk, K.; Richards, M.; Bröde, P.; Holmér, I.; Rintamaki, H.; Ben Shabat, Y.; Jendritzky, G. The UTCI-clothing model. International Journal of Biometeorology 2012, 56, 461–470. [Google Scholar] [CrossRef]
- Psikuta, A.; Fiala, D.; Laschewski, G.; Jendritzky, G.; Richards, M.; Blazejczyk, K.; Mekjavic, I.B.; Rintamäki, H.; de Dear, R.; Havenith, G. Validation of the Fiala multi-node thermophysiological model for UTCI application. International Journal of Biometeorology 2012, 56, 443–460. [Google Scholar] [CrossRef]
- Bröde, P.; Blazejczyk, K.; Fiala, D.; Havenith, G.; Holmér, I.; Jendritzky, G.; Kuklane, K.; Kampmann, B. The Universal Thermal Climate Index UTCI Compared to Ergonomics Standards for Assessing the Thermal Environment. Industrial Health 2013, 51, 16–24. [Google Scholar] [CrossRef] [PubMed]
- Kampmann, B.; Bröde, P.; Fiala, D. Physiological responses to temperature and humidity compared to the assessment by UTCI, WGBT and PHS. International Journal of Biometeorology 2012, 56, 505–513. [Google Scholar] [CrossRef] [PubMed]
- Ioannou, L.G.; Tsoutsoubi, L.; Mantzios, K.; Vliora, M.; Nintou, E.; Piil, J.F.; Notley, S.R.; Dinas, P.C.; Gourzoulidis, G.A.; Havenith, G.; et al. Indicators to assess physiological heat strain – Part 3: Multi-country field evaluation and consensus recommendations. Temperature 2022, 9, 274–291. [Google Scholar] [CrossRef] [PubMed]
- Bröde, P.; Fiala, D.; Blazejczyk, K.; Holmér, I.; Jendritzky, G.; Kampmann, B.; Tinz, B.; Havenith, G. Deriving the operational procedure for the Universal Thermal Climate Index (UTCI). International Journal of Biometeorology 2012, 56, 481–494. [Google Scholar] [CrossRef] [PubMed]
- Sadeghi, M.; de Dear, R.; Wood, G.; Samali, B. Development of a bioclimatic wind rose tool for assessment of comfort wind resources in Sydney, Australia for 2013 and 2030. International Journal of Biometeorology 2018, 62, 1963–1972. [Google Scholar] [CrossRef]
- Foster, J.; Smallcombe, J.W.; Hodder, S.; Jay, O.; Flouris, A.D.; Nybo, L.; Havenith, G. Quantifying the impact of heat on human physical work capacity; part III: the impact of solar radiation varies with air temperature, humidity, and clothing coverage. International Journal of Biometeorology 2022, 66, 175–188. [Google Scholar] [CrossRef] [PubMed]
- ISO 11079. Ergonomics of the thermal environment - Determination and interpretation of cold stress when using required clothing insulation (IREQ) and local cooling effects; International Organisation for Standardisation: Geneva, 2007. [Google Scholar]
- ISO 9920. Ergonomics of the thermal environment - Estimation of thermal insulation and water vapour resistance of a clothing ensemble; International Organisation for Standardisation: Geneva, 2007. [Google Scholar]
- Wenzel, H.G.; Mehnert, C.; Schwarzenau, P. Evaluation of tolerance limits for humans under heat stress and the problems involved. Scandinavian Journal of Work, Environment & Health 1989, 15, 7–14. [Google Scholar]
- Kampmann, B.; Bröde, P. Heat Acclimation Does Not Modify Q10 and Thermal Cardiac Reactivity. Frontiers in Physiology 2019, 10, 1524. [Google Scholar] [CrossRef]
- Wood, S.N. Generalized Additive Models: An Introduction with R, 2nd ed.; Chapman & Hall/CRC: Boca Raton, Florida, 2017. [Google Scholar]
- Zuur, A.F.; Ieno, E.N.; Walker, N.J.; Saveliev, A.A.; Smith, G.M. Things are not Always Linear; Additive Modelling. In Mixed effects models and extensions in ecology with R, Zuur, A.F., Ieno, E.N., Walker, N.J., Saveliev, A.A., Smith, G.M., Eds. Springer: New York, 2009; pp. 35–69. [Google Scholar] [CrossRef]
- Wood, S.N. A simple test for random effects in regression models. Biometrika 2013, 100, 1005–1010. [Google Scholar] [CrossRef]
- Wood, S.N. On p-values for smooth components of an extended generalized additive model. Biometrika 2013, 100, 221–228. [Google Scholar] [CrossRef]
- Fasiolo, M.; Nedellec, R.; Goude, Y.; Wood, S.N. Scalable visualisation methods for modern Generalized Additive Models. Journal of Computational and Graphical Statistics 2020, 29, 78–86. [Google Scholar] [CrossRef]
- R Core Team. R: A Language and Environment for Statistical Computing. R Foundation for Statistical Computing: Vienna, Austria, 2022.
- Coretta, S. tidymv: Tidy Model Visualisation for Generalised Additive Models. R package version 3.3.1. 2022.
- Bröde, P. Issues in UTCI Calculation from a Decade’s Experience. In Applications of the Universal Thermal Climate Index UTCI in Biometeorology: Latest Developments and Case Studies; Krüger, E.L., Ed.; Springer International Publishing: Cham, 2021; pp. 13–21. [Google Scholar] [CrossRef]
- Cheuvront, S.; Montain, S.; Goodman, D.; Blanchard, L.; Sawka, M. Evaluation of the limits to accurate sweat loss prediction during prolonged exercise. European Journal of Applied Physiology 2007, 101, 215–224. [Google Scholar] [CrossRef] [PubMed]
- Wood, S.N. Ref.df in mgcv gam. Availabe online: https://stat.ethz.ch/pipermail/r-help/2019- March/462135.html (accessed on 2023-02-09).
- Richmond, V.L.; Davey, S.; Griggs, K.; Havenith, G. Prediction of Core Body Temperature from Multiple Variables. Annals of Occupational Hygiene 2015, 59, 1168–1178. [Google Scholar] [CrossRef] [PubMed]
- Smallcombe, J.W.; Foster, J.; Hodder, S.G.; Jay, O.; Flouris, A.D.; Havenith, G. Quantifying the impact of heat on human physical work capacity; part IV: interactions between work duration and heat stress severity. International Journal of Biometeorology 2022, 66, 2463–2476. [Google Scholar] [CrossRef] [PubMed]
- Nadel, E.R.; Bullard, R.W.; Stolwijk, J.A. Importance of skin temperature in the regulation of sweating. Journal of Applied Physiology 1971, 31, 80–87. [Google Scholar] [CrossRef] [PubMed]
- Bröde, P.; Kuklane, K.; Candas, V.; den Hartog, E.A.; Griefahn, B.; Holmér, I.; Meinander, H.; Nocker, W.; Richards, M.; Havenith, G. Heat Gain From Thermal Radiation Through Protective Clothing With Different Insulation, Reflectivity and Vapour Permeability. International Journal of Occupational Safety and Ergonomics 2010, 16, 231–244. [Google Scholar] [CrossRef]
- den Hartog, E.A.; Havenith, G. Analytical study of the heat loss attenuation by clothing on thermal manikins under radiative heat loads. International Journal of Occupational Safety and Ergonomics 2010, 16, 245–261. [Google Scholar] [CrossRef]
- Wolf, S.T.; Havenith, G.; Kenney, W.L. Relatively minor influence of individual characteristics on critical wet-bulb globe temperature (WBGT) limits during light activity in young adults (PSU HEAT Project). Journal of Applied Physiology 2023, 134, 1216–1223. [Google Scholar] [CrossRef]







| HR (bpm) | Tre (°C) | Tsk (°C) | SR (g/h) | |
|---|---|---|---|---|
| Observations (#missing values) | 189 (9) | 198 (0) | 189 (9) | 186 (13) |
| Goodness-of-fit | ||||
| Adjusted R2 (%) | 78.8 | 76.2 | 88.6 | 89.9 |
| Residual standard error | 7.6 | 0.2 | 0.4 | 120.1 |
| Intercept µ | ||||
| Mean estimate | 102.5 | 37.6 | 35.5 | 744.4 |
| SE | 0.8 | 0.1 | 0.2 | 27.1 |
| p-value | <.0001 | <.0001 | <.0001 | <.0001 |
| s(ID) | ||||
| edf | 0.5 | 3.8 | 3.8 | 3.4 |
| Ref.df | 4.0 | 4.0 | 4.0 | 4.0 |
| F-value | 0.2 | 27.1 | 24.3 | 6.1 |
| p-value | 0.2018 | <.0001 | <.0001 | <.0001 |
| te(Ta, pa) | ||||
| edf | 14.6 | 6.5 | 10.3 | 10.0 |
| Ref.df | 19.0 | 8.2 | 14.0 | 13.4 |
| F-value | 18.9 | 34.7 | 31.5 | 51.3 |
| p-value | <.0001 | <.0001 | <.0001 | <.0001 |
| teΔv(Ta, pa) | ||||
| edf | 4.0 | 4.0 | 5.5 | 4.5 |
| Ref.df | 4.1 | 4.0 | 6.2 | 4.8 |
| F-value | 10.8 | 7.0 | 4.8 | 8.3 |
| p-value | <.0001 | <.0001 | 0.0001 | <.0001 |
Disclaimer/Publisher’s Note: The statements, opinions and data contained in all publications are solely those of the individual author(s) and contributor(s) and not of MDPI and/or the editor(s). MDPI and/or the editor(s) disclaim responsibility for any injury to people or property resulting from any ideas, methods, instructions or products referred to in the content. |
© 2023 by the authors. Licensee MDPI, Basel, Switzerland. This article is an open access article distributed under the terms and conditions of the Creative Commons Attribution (CC BY) license (http://creativecommons.org/licenses/by/4.0/).
