Submitted:
26 April 2023
Posted:
27 April 2023
You are already at the latest version
Abstract
Keywords:
1. Introduction
2. Ultrasonic sensing model of the DBR fiber laser
2.1. Response of the DBR fiber laser to ultrasonic wave








2.2. Ultrasonic wave sensing model of the DBR fiber laser.
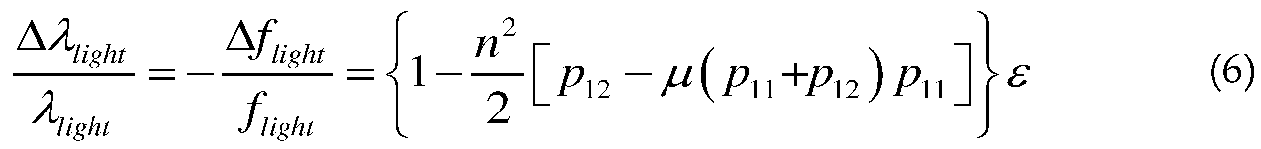
2.2.1. The optical interrogation signal of the DBR fiber laser.

2.2.2. Calibration of the ultrasonic response of the DBR fiber laser.
3. Measurement of the acoustic relaxation absorption and concentration of CO2 with the DBR fiber laser ultrasonic sensor.
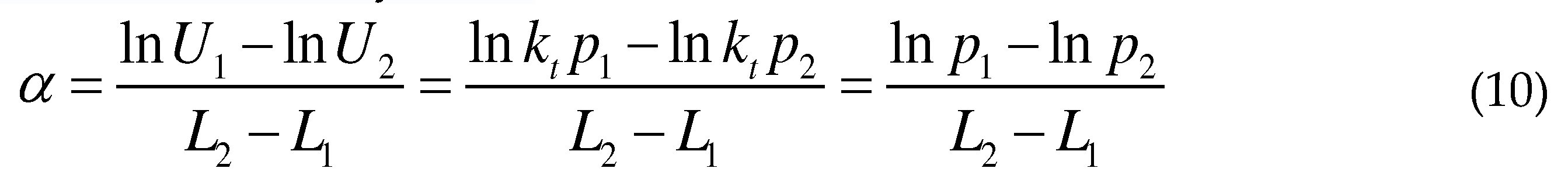
3.1. Measurement of the acoustic relaxation absorption at a specific frequency.

3.2. Measurement results of the absorption spectrum of CO2.
4. Discussion and conclusion
4.1. Systematic error results from variation with f/p.
4.2. The temperature and pressure instability of the gas chamber and compensation.
Author Contributions
Funding
Institutional Review Board Statement
Informed Consent Statement
Data Availability Statement
Acknowledgments
Conflicts of Interest
References
- S. Fechter, et al. "Discontinuous Galerkin Schemes for the Direct Numerical Simulation of Fluid Flow and Acoustics." 18th AIAA/CEAS Aeroacoustics Conference (33rd AIAA Aeroacoustics Conference), 2012.
- Oehme; M. , Determination of isomeric polycyclic aromatic hydrocarbons in air particulate matter by high-resolution gas chromatography/negative ion chemical ionization mass spectrometry. Analytical Chemistry 1983, 55, (14), 2290–2295.
- Geberth; Rudolph. , A New Method of Gas Analysis. Ind.eng.chem 2002, 15, (12), 1277–1278.
- Zarnecki, J. C.; Leese, M. R.; Hathi, B.; Ball, A. J.; Hagermann, A.; Towner, M. C.; Lorenz, R. D.; Mcdonnell, J. A. M.; Green, S. F.; Patel, M. R. , A soft solid surface on Titan as revealed by the Huygens Surface Science Package. Nature 2005, 438, (7069), 792–5. [Google Scholar] [CrossRef]
- Terhune, J. H. , Method and apparatus for detecting hydrogen, oxygen and water vapor concentrations in a host gas. In US.
- S. Phillips, Y. S. Phillips, Y. Dain, R.M. Lueptow, Theory for a gas composition sensor based on acoustic properties. Measurement Science & Technology 2003,70.
- Zhu, M.; Liu, T.; Wang, S.; Zhang, K. , Capturing molecular multimode relaxation processes in excitable gases based on decomposition of acoustic relaxation spectra. Measurement Science & Technology 2017, 28, (8), 085008. [Google Scholar]
- Zhang, K.; Zhang, X.; Shao, F. , Gas equilibrium heat capacity synthesis under the influence of acoustic relaxation process and its application in gas detection. Chinese Journal of Acoustics 2019, (4).
- Zhao, W.; Lou, W.; Xu, Y. , Concentration Measurement of Carbon Dioxide based on Ultrasonic Principle. Measurement: Sensors 2021.
- Gil; M.; Manzaneque; T.; Hernando-García; J.; Ababneh; A.; Seidel; H., Multimodal characterisation of high-Q piezoelectric micro-tuning forks. Circuits Devices & Systems Iet 2013.
- Gang, T.; Hu, M.; Qiao, X.; Li, J. C.; Shao, Z.; Tong, R.; Rong, Q. , Fiber-optic Michelson interferometer fixed in a tilted tube for direction-dependent ultrasonic detection. Optics and Lasers in Engineering 2017, 88, (Complete), 60–64. [Google Scholar] [CrossRef]
- Preisser, S.; Rohringer, W.; Liu, M.; Haindl, R.; Drexler, W. , All-optical highly sensitive akinetic sensor for ultrasound detection and photoacoustic imaging. Biomedical Optics Express 2016, 7, (10), 4171–4186. [Google Scholar] [CrossRef]
- Yang, L.; Li, Y.; Fang, F.; Li, L.; Yan, Z.; Zhang, L.; Sun, A. Q. , Highly sensitive and miniature microfiber-based ultrasound sensor for photoacoustic tomography. Opt-Electronic Advances 2022, 5, (6), 8. [Google Scholar] [CrossRef]
- Guan, B. O.; Tam, H. Y.; Lau, S. T.; Chan, H. , Ultrasonic hydrophone based on distributed Bragg reflector fiber laser. IEEE Photonics Technology Letters 2005, 17, (1), 169–171. [Google Scholar]
- Guan, B. O.; Jin, L.; Ma, J.; Liang, Y.; Bai, X. , Flexible fiber-laser ultrasound sensor for multiscale photoacoustic imaging. Opto-Electronic Advances 2021, 4, (8), 200081–200081. [Google Scholar] [CrossRef]
- Liang, Y.; Fu, W.; Li, Q.; Chen, X.; Sun, H.; Wang, L.; Jin, L.; Huang, W.; Guan, B.-O. , Optical-resolution functional gastrointestinal photoacoustic endoscopy based on optical heterodyne detection of ultrasound. Nature Communications 2022, 13, (1), 7604. [Google Scholar] [CrossRef]
- Ejakov, S. G.; Phillips, S.; Dain, Y.; Lueptow, R. M.; Visser, J. H. , Acoustic attenuation in gas mixtures with nitrogen: experimental data and calculations. The Journal of the Acoustical Society of America 2003, 113, (4), 1871–1879. [Google Scholar] [CrossRef]









Disclaimer/Publisher’s Note: The statements, opinions and data contained in all publications are solely those of the individual author(s) and contributor(s) and not of MDPI and/or the editor(s). MDPI and/or the editor(s) disclaim responsibility for any injury to people or property resulting from any ideas, methods, instructions or products referred to in the content. |
© 2023 by the authors. Licensee MDPI, Basel, Switzerland. This article is an open access article distributed under the terms and conditions of the Creative Commons Attribution (CC BY) license (http://creativecommons.org/licenses/by/4.0/).
