Submitted:
16 April 2023
Posted:
17 April 2023
You are already at the latest version
Abstract
Keywords:
1. Introduction
2. Continuous Discrete Nonlinear Filtering Problem
3. Gram Charlier Series Mixture Model
4. Description of Mixture Culver Filter
4.1. Time Update
4.2. Measurement Update
5. Tracking of Space Object Using RADAR Measurements
5.1. MCF Results and Comparison with Other Nonlinear Filters for Shorter Durations
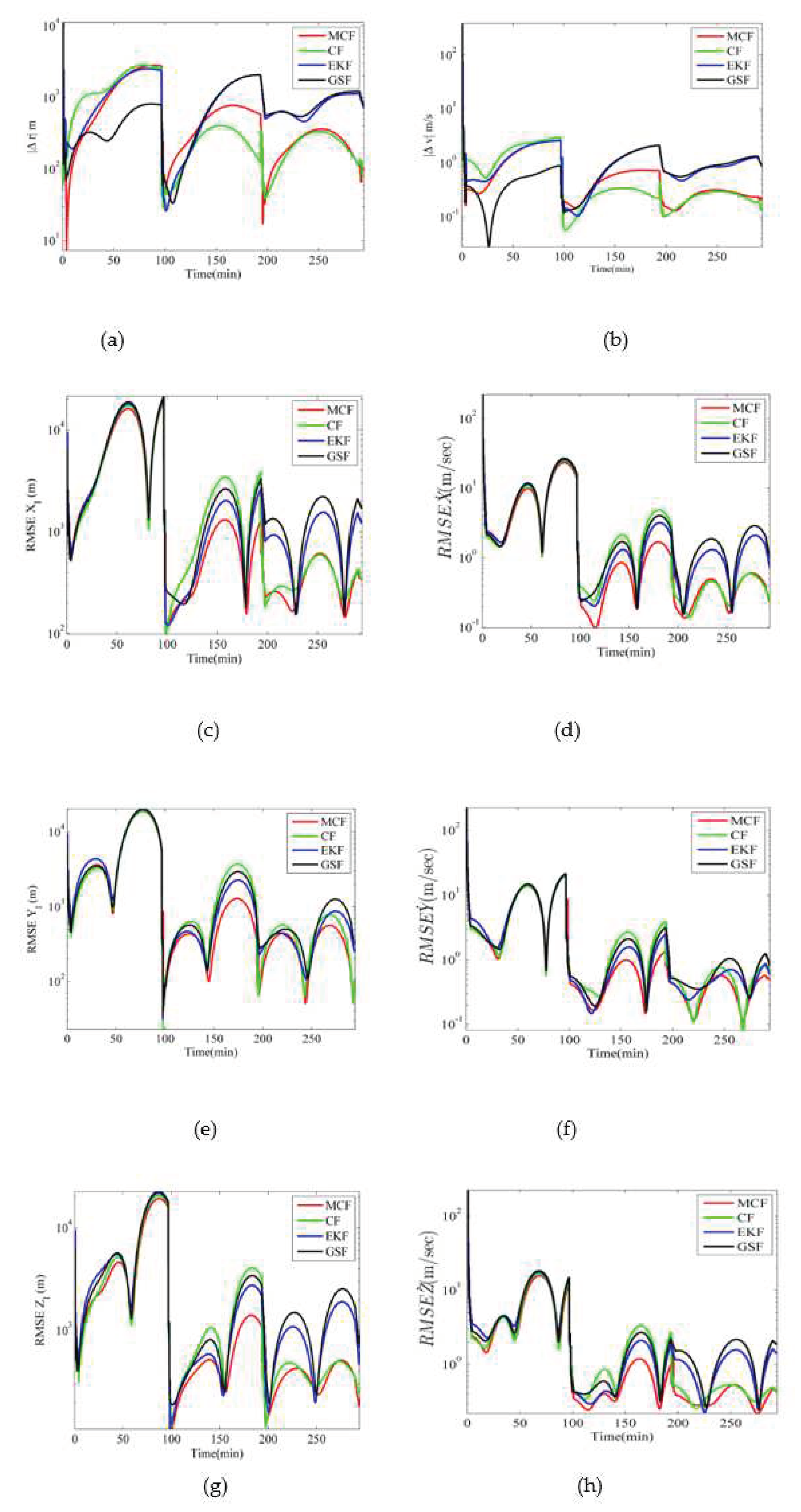
5.2. MCF Results and Comparison with Other Nonlinear Filters for Longer Durations
5.3. MCF for Onboard Satellite Navigation Using GPS

6. Conclusion
Funding
Acknowledgments
Appendix A
References
- Montenbruck, O., Gill, E., “Satellite Orbits Models, Methods and Applications,” Published by Springer, 2005.
- Bar-Shalom,Y., Li,X,R., Kirubarajan,T., “Estimation with Application to Tracking and Navigation,” Wiley-Interscience Publication 2001.
- Kalman, R,E., “A New Approach to Linear Filtering and Prediction Problems,” Transaction of the AMSE Journal of Basic Engineering, 82 (D-Series): pages: 35-45 1960.
- Hicks, J.D., “Performance Comparison of an Extended Kalman Filter and an Iterated Extended Kalman Filter for Orbit Determination of Space Debris with Poor Apriori Information and Intermittent Observations” MS Thesis Auburn University, Dec 2012.
- Kerr, T.H., “Streamlining Measurement Iteration for EKF Target Tracking”, IEEE Transaction on Aerospace and Electronic Systems, Vol.27, No.2, Mar 1991.
- Coelho, M, d, F., et.al., “An Improved Extended Kalman Filter for Radar Tracking of Satellite Trajectories”, MDPI Designs, 2021,5,54. [CrossRef]
- Gordon, N., Salmond, D., Ewing, C., “Bayesian State Estimation for Tracking and Guidance using the Bootstrap Filter,” Journal of Guidance Control and Dynamics, Vol. 18, No. 6, pages. 1434-1443, Nov-Dec 1995.
- Lee, D.J., “Nonlinear Bayesian Filtering with Applications to Estimation and Navigation,” PhD Dissertation, Texas A&M University May 2005.
- Rawat. T.K., and Parthasarathy., “Satellite Tracking using a Second-Order Stochastic Nonlinear Filter”, HAIT Journal of Science and Engineering B, 2007 Holon Institute of Technology.
- Mehra, R,K., “A Comparison of Several Nonlinear Filters for Re-entry Vehicle Tracking”, IEEE Transaction on Automatic Control, AC-16, 4 Aug 1971, 307-319.
- DeMars, K.J., Bishop, R.H., Jah, M.K., “Antropy-Based Approach for Uncertainty Propagation of Nonlinear Dynamical System,” Journal of Guidance Control and Dynamics, Vol.36, No.4, Jul-Aug 2013.
- Alspach, D, L., Sorenson, H, W., “Nonlinear Bayesian Estimation using Gaussian Sum Approximation,” IEEE Transaction on Automatic Control, Vol. AC-17, No.4, Aug 1972.
- Anderson, B, D, O., Moore, J, B., “Optimal Filtering,” Prentice-Hall Information & System Science Series, 1979.
- Terejanu. G., Singla. P., et.al., “Uncertainty Propagation for Nonlinear Dynamic Systems Using Gaussian Mixture Model”, Journal of Guidance Control Dynamics, Vol.31, No.6, pages. 1622-1633, Nov-Dec 2008.
- Horwood, J.T., Poore, A.B., “Adaptive Gaussian Sum Filters for Space Surveillance,” IEEE Transactions on Automatic Control Vol.56, No.8, Aug 2011.
- Psiaki, M.L., “Gaussian Mixture Kalman Filter for Orbit Determination Using Angle-Only Data,” Journal of Guidance Control and Dynamics, Engineering Notes 2017.
- Terejanu, G., Singla, P., Singh, T., and Scott, P.D., “A Novel Gaussian Sum Filter Method for Accurate Solution to Nonlinear Filtering Problem”, IEEE 11th International Conference on Information Fusion, 2008.
- Merwe, R.V.D., “Sigma-Point Kalman Filters for Probabilistic Inference in Dynamic State-Space Models,” PhD Dissertation OGI School of Science & Engineering at Oregon Health & Science University, Apr 2004.
- Julier, S, J., and Uhlmann, J, K., “A New Extension for Kalman Filter to Nonlinear Systems,” In The Proceedings of AeroSense: The 11th International Symposium on Aerospace/Defense Sensing, Simulation and Controls, Orlando, FL, USA, 1997.
- Merwe, R.V.D., Wan, E.A., “Efficient Derivative-Free Kalman Filters for Online Learning”, European Symposium on Artificial Neural Networks, ISBN 2-930307-01-3, pp. 205-210, Burges (Belgium), Apr 2001.
- Zhou, W., Hou, J. “A New Adaptive Robust Unscented Kalman Filter for Improving the Accuracy of Target Tracking,” IEEE Access, date of publication 10 Jun 2019, D.O.I: 10.1109/Access.2019.2921794.
- Grewal. M.S., Weill. L.R., Andrews. A.P., “Global Positioning System Inertial Navigation and integration”, Wiley-Interscience Publication, 2007.
- Zhao, Y., “Cubature+Extended Hybrid Kalman Filtering Method and its Application in PPP/IMU Tightly-Coupled Navigation Systems,” IEEE Sensors Journals D.O.I: 10.1109/JSEN.2015.2469105, IEEE Sensors Journal, 2015.
- Pesonen.H., Piche.R., “Cubature-based Kalman Filters for Positioning,” 7th Workshop on Positioning, Navigation and Commuincation WPNC 2010.
- Doucet, A., Godsill, S., and Andrieu, C., “On Sequential Monte Carlo Sampling Methods for Bayesian Filtering,” Statistical Computing Vol. 10, No.3, pp. 197-208, 2000.
- Kotecha, J, H., Djuric, P, M., “Gaussian Particle Filtering,” IEEE Transactions on Signal Processing, Vol. 51, No. 10, pages. 2592-2601, Oct 2003.
- Kotecha, J, H., Djuric, P, M., “Gaussian Sum Particle Filtering for Dynamic State Space Models,” Proceedings of ICASSP-2001, Salt Lake City, Utah, May 2001.
- Wang, F., Zhang, J., Lin, B., and Li, X., “Two Stage Particle Filter for Nonlinear Bayesian Estimation” IEEE Access-Special Section on Multimedia Analysis for Internet of Things (IoT) D.O.I: 10.1109/ACCESS.2018.2808922, Date of Publication: Feb 23, 2018.
- http://mathworld.wolfram.com/HermitePolynomial.html [Viewed on: 24 Oct 2019].
- Charlier, C,V,L., “Uber Dir Darstelling Willkurlicher Funktionen,” Ark.Mat Astr.och Fys.2 No.20 1-35, 1906.
- McCullagh, P., “Tensor Methods in Statistics,” Publisher Chapman and Hall, 1987.
- Culver, C, O., “Optimal Estimation for Nonlinear Stochastic Systems,” PhD Dissertation Massachusetts Institute of Technology, Mar 13, 1969.
- Challa, S., Bar-Shalom, Y., Krishnamurthy, V., “Nonlinear Filtering using Gauss-Hermite Quadrature and Generalized Edgeworth Series”, Proceedings of the American Control Conference, Jun 1999.
- Challa, S., Bar-Shalom, Y., Krishnamurty, V., “Nonlinear Filtering via Generalized Edgeworth Series and Gauss-Hermite Quadrature,” IEEE Transaction on Signal Processing, Vol.48, No.6, Jun 2000.
- Gilani, S., “Nonlinear Bayesian Filtering Based on Mixture of Orthogonal Expansions,” PhD Dissertation Surrey Space Centre Mar 2012.
- Gilani, S., Palmer, P., “Nonlinear Bayesian Estimation Based on Mixture of Gram Charlier Series,” IEEE Aerospace Conference, Big Sky, Montana, USA, Mar 2012.
- Maybeck, P., “Stochastic Models, Estimation, and Control Vol. 1,” Academic Press London 1979.
- Risken, H., “The Fokker-Planck Equation Methods of Solutions and Applications,” Second Edition, Springer 1996.
- Daum, F., “Nonlinear Filters: Beyond the Kalman Filter,” IEEE Aerospace & Electronics Magazine Vol. 20, No. 8, Aug 2005.
- Muscolino, G., Ricciardi, G., Vasta, M., “Stationary and Non-Stationary Probability Density Function for Nonlinear Oscillators”, International Journal of Nonlinear Mechanics, Vol.32, No.6, pp 1051-1064, 1997.
- Van Hulle, M, M., “Edgeworth-Expanded Gaussian Mixture Density Modeling,” Journal of Neural Computation, Vol. 17, No. 8, Pages. 1706-1714, Aug 2005.
- http://www.mathworks.co.uk/ [Viewed on 27 Oct 2019].
- Dempster. A.P., Liard. N.M., and Rubin. D.B., “Maximum Likelihood for Incomplete Data via EM Algorithm,” Journal of Royal Statistical Society B, 39, 1-38.
- Redner. R.A., and Walker. H.F., “Mixture Densities, Maximum Likelihood and the EM algorithm”, SIAM Rev., 26, 195-239.
- https://github.com/SaeedKeshavarzi/ReBEL (Acccessed on 27 Apr 2019).
- Mehrholz, D., Leushacke, L., “Detecting, Tracking and Imaging Space Debris” European Space Agency Bulliten 109, Feb 2002.
- Vallado, D, A., “Fundamentals of Astrodynamics and Applications (Second Edition),” The Space Technology Library, Published by Microcosm Press and Kluwer Academic Publisher 2004.
- Ebinuma, T., Unwin, E., Underwood, M and Imre., C, “A miniaturized GPS receiver for space application”, IFAC Automatic control in Aerospace, 2004.


| Steps |
| 1. Initial estimates/ higher order and noise statistics: |
| 2. Perform Expectation Maximization (EM) to obtain GCSM from step.1. |
| 3. Compute time update for states for |
| where, = individual components of diffusion matrix of SDE |
| 4. Compute time update of GCSM weights, |
| 5. Compute measurement update for |
| 6. Compute tensors (time subscript “k” is removed from notations for clarity) |
| 7. Compute weight updates: |
| 8. Residual Resampling (optional step): |
| where, is prescribed threshold criteria. |
| 9. Compute inference: Conditional mean state estimates estimates and Covariance : |
| Filter | Position RMSE (m) | Velocity RMSE (m/s) | ||||
|---|---|---|---|---|---|---|
| X | Y | Z | ||||
| Extended Kalman Filter | 2319 | 2392 | 2335 | 80 | 81 | 80 |
| Culver Filter | 1340 | 1328 | 1402 | 79 | 79 | 78 |
| Mixture Culver Filter | 1268 | 1423 | 1307 | 79 | 79 | 79 |
| Gaussian Sum Filter | 1298 | 1390 | 1316 | 79 | 79 | 79 |
Disclaimer/Publisher’s Note: The statements, opinions and data contained in all publications are solely those of the individual author(s) and contributor(s) and not of MDPI and/or the editor(s). MDPI and/or the editor(s) disclaim responsibility for any injury to people or property resulting from any ideas, methods, instructions or products referred to in the content. |
© 2023 by the authors. Licensee MDPI, Basel, Switzerland. This article is an open access article distributed under the terms and conditions of the Creative Commons Attribution (CC BY) license (http://creativecommons.org/licenses/by/4.0/).
