Preprint
Article

This version is not peer-reviewed.

Synthesis and Characterization of Abasic β-Diol-C-Nucleosides

A peer-reviewed article of this preprint also exists.

Submitted:

11 April 2023

Posted:

12 April 2023

You are already at the latest version

Abstract
Modified nucleobases are potentially useful building blocks when containing catalytically active functionalities and could be introduced in chiral tridimensional molecules such as nucleic acids, which creates the premises for the development of novel catalytic species. Herein we describe the synthesis of a novel β-C-nucleoside bearing a diol group at anomeric position, amenable as metal ligand or as organo-catalyst. The abasic ligand was successfully prepared and inserted into complementary DNA strand.
Keywords: 
;  ;  

1. Introduction

DNA has a central role in chemical evolution due to its ability of storing and transferring genetic information. This feature is due to the specific Watson-Crick hydrogen bond exerted by nucleobases (C:G, A:T) [1] that created the bases for DNA inter-strand molecular recognition. In order to obtain novel materials that could be used for storage of information, synthetic chemists engaged in the design and development of alternative base pairs that could exert the same role in a new, unnatural genetic code [2] The design of an unnatural base pair can be based on different hydrogen bonding patterns [3], or on shape complementarity [4]. Among the variety of approaches to DNA mimetic supramolecular chemistry, the strategy of replacing DNA natural bases by alternative heterocyclic moieties capable of metal complexation is of particular interest, as metals inserted in a chiral environment, such as DNA, may open the opportunity to using artificial DNAs as catalysts [5]. In these new molecular objects, the hydrogen-bond base pairing is replaced by metal-coordination, that supplies the energy required for the inter-strand pairing. Hence, by choosing an appropriate ligand nucleoside and a metal ion, duplexes or other higher order complexes were formed, paving the way to metal responsive functional DNAs, DNA nanomachines, DNA-based nanomaterials, wires and magnetic devices [6,7]. Natural nucleobases (C, G, T, A) could form metal mediated base pairs;[8,9,10,11] however most of the unnatural nucleosides used for the generation of artificial DNAs contained unnatural bases, i.e. imidazole,[12] salen,[13] 6-substituted purines,[14] Dipic/pyridine,[15] and hydroxypiridone.[16] For example, pyridine-2,6-dicarboxylate nucleobase (Dipic) 1,[15] was reported to form a copper mediated complex with pyridine nucleobase (Py) (Figure 1). Dipic and Py formed, in the presence of Cu2+ a [3+1] coordination compound possessing a square planar geometry (1 Figure 1). When inserted in double strand of complementary DNAs, the Dipic-Cu2+-Py pairing furnished a duplex characterized by higher thermal stability compared to the native natural DNA.[15]
Shionoya reported the Cu2+ mediated base pairing of hydroxypyridone 2 (Figure 1).[16] Interestingly, in the absence of Cu2+ the hydroxypyridone (H) bases inserted in complementary DNA strands behaved as a mis-pair. However, following deprotonation a square planar complex with Cu2+ was formed that gave rise to a stabilised duplex. The artificial DNA strands described by Shionoya were extremely efficient and formed double helices quantitatively through H-Cu2+-H pairing. It was also demonstrated that several consecutive H-Cu2+-H pairing could be introduced in a sequence providing the opportunity to assemble a one dimensional array of metals inserted in a double strand of DNAs. The same authors reported, the enzymatic polymerization of dHTP, an activated form of nucleotide H recognised by the cell enzymatic machinery, that furnished unnatural DNA strands containing up to five H nucleotides at 3’. These strands successfully formed copper mediated metal DNA duplexes through the formation of the pair H-Cu2+-H. Based on these findings and intrigued by the potential applications of DNA as molecular wires, organic catalysts and magnets, we posed the question of whether or not a nucleo-base should be indispensable for the formation of metal bound complexes. It was reasoned that if an abasic nucleoside, holding simpler functionalities capable of coordinating divalent metal ions, could be sufficient demonstrated holding a metal doted of catalytic activity, then a new class of DNA based materials capable of asymmetric catalysis would be created. Importantly, for catalysis, the formation of a double helix would not be indispensable for the creation of an asymmetric environment around the metal center. Herein we report the synthesis of a new β-C-nucleoside bearing a β-diol group at the anomeric position and preliminary results of his behavior when inserted in oligomeric materials.

2. Results and Discussion

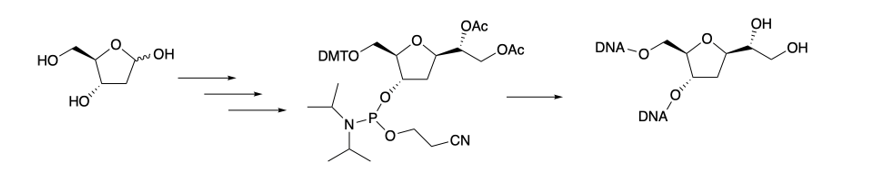
A large number of synthetic approaches towards C-nucleosides have been established to date.[17] Our group has developed a diversity oriented strategy to provide access to a range of unnatural C-nucleosides.[18] Taking advantage of this methodology, we set out to prepare a number of a-basic nucleosides holding non-heterocyclic metal ligand templates, for example β-diols, β-aminoalcohols, β-diamines or β-hydroxamic acid. We set out with the synthesis of β-diol C-nucleoside 15 (Scheme 1 and Scheme 3) since naturally occurring nucleosides possess the β-anomeric configuration. Desired target 15 contains the protecting group required for its introduction into an oligonucleotide via solid phase synthesis. Hence, starting from commercially available 2-deoxy-D-Ribose 3, treatment with methanol in presence of catalytic HCl generated compound 4 in 99% yield. Subsequent exhaustive benzylation produced 5 that, in turn, was selectively deprotected on the anomeric position to give desired 6. Compound 6 was obtained in overall 70% yields for the steps (a)-(c) (Scheme 1). Compound 6 was treated with an excess of vinylmagnesium bromide at room temperature to give the corresponding ring opened product 7 as a diastereoisomeric mixture in an overall 91% isolated yields.
The diastereoisomeric mixture 7 was treated with p-toluenesulfonyl chloride and KOH resulting in the formation of 8α/β (dr 1:1.5) which were successfully separated by column chromatography to obtain enantiomerically pure . The 1H-NMR spectroscopy data of (and therefore the stereochemistry at the anomeric position) were consistent with those already reported in the literature.[19] The next step involved the dihydroxylation of to afford diol 9a/b. Hence, treatment of with OsO4 (10 mol%) and NMO as the terminal oxidant provided 9 in near to quantitative yield and as an inseparable 8:2 mixture of two diastereoisomers. Same result was also obtained when the reaction was carried out at -78 °C. In order to increase the diastereoisomeric ratio of compound 9 and obviate to the separation of a single diastereomer, compound was subjected to the condition reported by Sharpless for the asymmetric dihydroxylation.[20] Therefore, was reacted in the presence of cinchona alkaloid ligand hydroquinidine 1,4-phthalazinediyl diether (DHQD)2PHAL[21] (10 mol%), NMO (2.2 eq.) and OsO4 (10 mol%). This experiment furnished 9a/b in the same 8:2 ratio. Hence, diols 9a/b were then reacted with Ac2O, pyridine and in the presence of 5% of N,N-dimethylaminopyridine (DMAP) to give 10a/b as an 8:2 mixture of diastereoisomers, which, satisfactorily, could be separated by column chromatography in pure compounds 10a and 10b, respectively. Compound 10a (major isomer) was tested for configurational stability under the standard reaction conditions adopted in oligonucleotide automated synthesis. Hence, a solution of 7 μmol of 10a in CD3CN (0.75 mL) was submitted to cycle reactants, including ammonia, and the progression of reaction monitored by 1H-NMR. We were delighted to observe that 10a underwent acetyl hydrolysis to provide expected 9a as a single diastereoisomer, hence proving its configurational stability under oligonucleotide synthesis conditions. The stereochemistry of the C6-O bond of 9a and 10a, was determined by converting 9a to acetal 12a and 12b and conducting n.O.e. studies on these derivatives. 9-Anthraldehyde dimethyl acetal 11 has been reported as a protecting group for diols as a mean to obtain crystalline structures.[21] 9-anthraldehyde dimethyl acetal 11 (Scheme 2) was synthesized according to the procedure reported[21] then reacted with 9a (Scheme 2) in MeCN under the catalysis of p-TSA to give expected compound 12a/b as a mixture of two diastereoisomers (dr 78:22). Compounds 12a/b could not be crystallized, however it was possible, once again, to separate 12a and 12b as a single diastereoisomer by column chromatography.
The obtainment of compounds 12a and 12b was crucial to the establishment of the absolute configuration of the C6-O bond. While n.O.e. experiments carried out on 10a were unconclusive, n.O.e. run on conformationally locked 12a and 12b, allowed assigning the stereochemistry of the C6-O bond in compounds 9a, 10a, 12a and 12b as R. Hence, upon irradiation of C6-H in 12a, no enhancement was observed for C1’-H but significant enhancement was observed for C2’-H, therefore confirming a trans relationship between C6-H and C1’-H; lack of enhancement of benzylic C-H upon irradiation of C6-H was observed for compound 12a, which was on the contrast evidenced for compound 12b. Major diastereoisomer 10a was therefore employed to obtain desired compound 15 (Scheme 3). Firstly, hydrogenation of 10a using excess of Pd/C (2.0 eq.) in methanol and 10% of HCOOH under an H2 atmosphere removed the benzylic groups providing expected diol 13 in 92% isolated yields. The 5’-O was then functionalized with a 4,4’-dimethoxytrityl group (DMT), to give 14 in 60% yield. In turn, compound 14 was converted to the correspondent phosphoramidite 15 which was obtained in 95% isolated yield (Scheme 3).
Scheme 3. Reagents and conditions: a) Pd/C, H2, MeOH/HCOOH, r.t., 92%; b) DMTr-Cl, pyridine, r.t., 60%; c) 2-cyanoethyl N,N-diisopropylchorophosphoramidite, iPr2EtN, CH2Cl2, r.t., 95%.
Scheme 3. Reagents and conditions: a) Pd/C, H2, MeOH/HCOOH, r.t., 92%; b) DMTr-Cl, pyridine, r.t., 60%; c) 2-cyanoethyl N,N-diisopropylchorophosphoramidite, iPr2EtN, CH2Cl2, r.t., 95%.
Preprints 70837 sch003
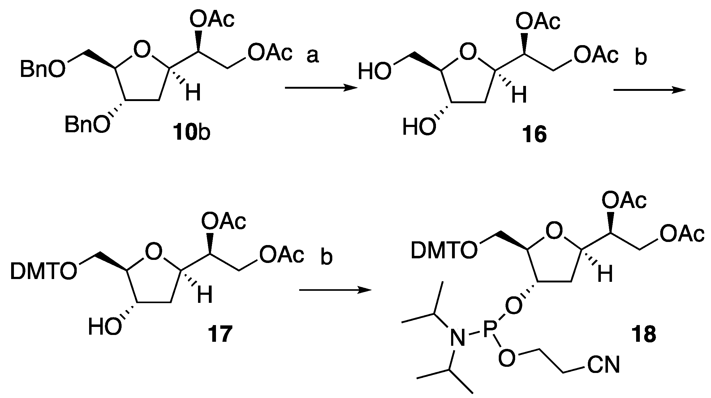
With compound 10b in hand, we repeated the synthetic route highlighted above to prepare solid phase synthesis activated nucleoside 18 (Scheme 4). Hence, 10b was first debenzylated under reductive conditions to generate diol 16. In turn, 16 was reacted with DMTr to provide intermediate 17 that was finally converted to desired 18. We have noted that the reaction yields for each of the steps leading to 18 were significantly lower compared to those observed for the synthesis of diastereoisomeric compound 15. This data may account for the steric hindrance provided by the C6-acetoxy group that in compounds 16 and 17 may slower the reaction of the 5’-O and the 3’-O with their electrophilic counterparts.
In order to evaluate the ability of abasic nucleoside 15 to be introduced on single and double strands of unnatural DNAs, compound 15 was inserted in a sequence of DNA. Hence, two strands of complementary DNAs, namely A and B (Figure 2), were prepared, in which compound 15 was located in the central portion of each strand. This was achieved by standard automated DNA synthesis, demonstrating that compound 15 could efficiently be introduced in a DNA framework. This was a significant milestone, as it was shown that 15 could be used nested in a biomolecule with the prospect of becoming a catalyst, upon introduction in a DNA and their subsequent deacetoxylation to become diol 19 (Figure 2). The sequence of A and B was selected as reported for similar studies,[16].
Unnatural strands A and B were then mixed and allow to hybridise using established thermal protocols; then the thermal stability of duplex A/B was recorded by carrying out UV-monitored thermal denaturation. The results obtained (Figure 3) showed duplex A/B possessing a melting temperature (Tm) of 24 °C. It should be noted that in a natural-type duplex, in which the 15 /15 base pair was replaced by A-T base pair, Tm was 44.2 °C.[16] Thus, this data showed that the introduction of 15 in a natural sequence of DNA perturbed the overall stability of the duplex, resulting in a significant decrease of the melting temperature (ΔTm =20.2 °C). The data was significant, as the lower meting temperature obtained by introduction of nucleobase 15 indicated the formation of a new groove with potential for nucleophilic catalysis or for metal coordination.

3. Conclusions

In conclusion, we have reported herein the synthesis of a novel abasic, unnatural C-nucleoside bearing a β-diol at the anomeric position. We also demonstrated that (i) β-diol 15 could be efficiently incorporated into DNA strands; (ii) DNA strands bearing 15 do hybridise forming a double helix that, according to the melting point holds a new type of groove containing poly-hydroxylated functionalities. Studies regarding the ability of single strand DNAs and double strands including 15 and their diastereoisomeric

4. Materials and Methods

4.1. General experimental

1H, 13C, NMR spectra were recorded on a Varian AS 300, Bruker 400 and 600 spectrometer. Chemical shifts (δ) are reported in ppm relative to residual solvent signals for 1H and 13C NMR (1H NMR: 7.26 ppm for CDCl3; 13C NMR: 77.0 ppm for CDCl3. 13C NMR spectra were acquired with 1H broad band decoupled mode. DMSO-d6 (referenced to 2.52 and 3.35 ppm for 1H and 40.0 for 13C). Coupling constants (J) are in Hz. Multiplicities are reported as follows: s, singlet, d, doublet, dd, doublets of doublets, t, triplet, q, quartet, m, multiplet, c, complex, and br, broad. 1H-NMR spectral assignments are supported by 1H-1H COSY and 13C-1H-COSY where necessary. Carbon spectra are supported by DEPT analysis where necessary. Infrared spectra (IR) were obtained in CCl4 using a Bruker Tensor 27 FT-IR instrument. Absorption maximum (νmax) was reported in wave numbers (cm-1) and only selected peaks are reported. High resolution Mass Spectra were obtained on a Waters Micro mass LCT and low resolution mass spectra were recorded on Waters Micro mass Quattro LCMS spectrometers at 70 eV. Optical rotations were measured on a Perkin-Elmer 241 polarimeter. Tetrahydrofuran was freshly distilled over sodium benzophenone prior to use according to standard procedure. All other reagents and solvents were used as purchased from Aldrich. Reactions were checked for completion by TLC (EM Science, silica gel 60 F254), which were visualized by quenching of u.v. fluorescence (λmax = 254nm) or by staining with either 10% w/v ammonium molybdate in 2M sulphuric acid or basic potassium permanganate solution (followed by heat) as appropriate. Flash chromatography was performed using silica gel 60 (0.040-0.063 mm, 230-400 mesh). Retention factors (Rf) are reported to ± 0.05.

3.2. Synthesis of (2R,3S)-2-(hydroxymethyl)-5-methoxytetrahydrofuran-3-ol 4

To a stirred solution of 2-deoxy-D-ribose (20.0 g, 149.0 mmol) in methanol (240 mL), acetyl chloride (690 μl, 6.5 mol%) was added. The reaction mixture was stirred at room temperature for 1 h, then sodium bicarbonate (7.70 g) was added and the reaction stirred for further 10 min. The solid formed was filtered through celite, and the filtrate was evaporated in vacuo to afford 5 as a mixture of two diastereoisomers as an orange oil (22.0 g, >99% yield). This product did not require any further purification. (α + β anomers): Rf = 0.53 (chloroform/methanol 8:2). δH (400 MHz, CDCl3): 5.19-4.95 (m, 2H), 4.39-4.32 (m, 1H), 4.11-4.08 (m, 1H), 3.99 (q, J = 4.4, 1H) 3.92 (q, J = 4.4, 1H), 3.70-3.55 (m, 4H), 3.32 (s, 3H, -CH3), 3.30 (s, 3H, -CH3), 2.19-2.10 (m, 2H), 2.06-2.00 (m, 1H), 1.92-1.88 (m, 1H). δC (100.6 MHz, CDCl3): 105.60, 105.56, 87.7, 87.5, 72.9, 72.3, 63.6, 63.2, 55.5, 54.9, 42.7, 41.6. HRMS (ESI): calculated for [M+Na]+, C6H12O4Na: 171.0633; found: 171.0638.

3.3. Synthesis of (2R, 3S)-3-(benzyloxy)-2-((benzyloxy)methyl)-5-methoxytetrahydrofuran 5

The reaction was split in two round-bottom flasks. To a stirred solution of 4 (22.7 g, 153.4 mmol) in THF (160 mL), powdered KOH (77.0 g, 1380.0 mmol, 9.0 eq.) and benzyl chloride (247.0 mL, 2148.0 mmol, 14.0 eq.) were added sequentially, and the reaction mixture was heated to reflux conditions for 24 h. The reaction mixture was allowed to cool to room temperature, then the solution was filtered and the solvent removed in vacuo. The residue was purified by flash chromatography on silica gel eluting the first time with petroleum ether to eliminate excess benzyl chloride, the second time with petroleum ether/ethyl acetate 8:2 to afford the title compound 6 as a yellow oil (42.6 g, 85% yield) (α + β anomers): Rf = 0.39 and 0.57 (petroleum ether/ethyl acetate 8:2). δH (400 MHz, CDCl3): 7.45-7.20 (m, 20H), 5.13-5.07 (m, 2H), 4.63-4.47 (m, 8H), 4.29-4.21 (m, 2H), 4.16-4.12 (m, 1H), 4.00-3.92 (m, 1H), 3.57-3.43 (m, 4H), 3.41 (s, 3H, -CH3), 3.31 (s, 3H, -CH3), 2.26-2.19 (m, 2H), 2.19-2.15 (m, 1H), 2.05-2.00 (m, 1H). δC (100.6 MHz, CDCl3):138.3, 138.23, 138.20, 138.1, 128.5, 128.4, 127.9, 127.8, 127.7, 127.6, 105.5, 105.3, 82.9, 82.2, 80.0, 78.6, 73.5, 73.4, 72.1, 71.7, 71.6, 70.2, 55.3, 55.0, 39.5, 39.0. HRMS (ESI): calculated for [M+Na]+, C20H24NaO4: 351.1572; found: 351.1568.

3.4. Synthesis of (4S, 5R)-4-(benzyloxy)-5-((benzyloxy)methyl)tetrahydrofuran-2-ol 6

The reaction was split in two round-bottom flasks. A stirred solution of 5 (25.0 g, 76.0 mmol) in AcOH/H2O 80:20 (740 mL) was heated to 49 ºC (external temperature) for 24 h. A solution of AcOH/H2O (80:20, 500 mL) was then added, and the reaction mixture was allowed to stir at the same temperature for another 24 h. The reaction was cooled to room temperature and the solvent was removed in vacuo. Heptane was added to the resulting crude mixture and then removed under reduced pressure to eliminate the residual acetic acid. The crude residue was then purified by column chromatography eluting with petroleum ether/ethyl acetate 9:1. The title compound 7 was obtained as yellow oil (19.9 g, 83% yield). ( +  anomers): Rf = 0.18 (petroleum ether/ethyl acetate 8:2). IR: vmax (neat) / cm-1: 3300, 3032, 2937, 1590, 1310, 1042, 870. δH (400 MHz, CDCl3): 7.42-7.27 (m, 20H), 5.56-5.49 (m, 2H), 4.62-4.47 (m, 11H), 4.29-4.22 (m, 2H), 4.13-4.10 (m, 1H), 3.67-3.62 (m, 1H), 3.59-3.50 (m, 2H), 3.39-3.35 (m, 1H), 2.28-2.20 (m, 2H), 2.17-2.10 (m, 2H). C (100.6 MHz, CDCl3):138.1, 138.0, 137.9, 137.5, 137.3, 128.7, 128.6, 128.5, 128.48, 128.46, 128.44, 128.3, 128.1, 128.0, 127.98, 127.96, 99.4, 83.3, 82.7, 79.83, 79.8, 79.0, 78.8, 73.2, 72.1, 71.9, 71.8, 41.8, 39.2. HRMS (ESI): calculated for [M+Na]+, C19H22NaO4: 337.1416; found: 337.1421.

3.5. Synthesis of (2R,3S)-1,3-bis(benzyloxy)hept-6-ene-2,5-diol 7

The reaction was split in two round-bottom flasks. To a stirred solution of 6 (19.9 g, 63.3 mmol) in dry THF (220 mL) at 0 ºC a solution of vinyl magnesium bromide (1M in THF, 190 mL, 190 mmol, 3.0 eq.) was added under controlled atmosphere. The reaction mixture was allowed to reach room temperature and stirred for further 24 h. The reaction mixture was cooled to 0 ºC and quenched with ammonium chloride saturated solution (50 mL), then stirred for further 10 minutes at room temperature. The solvent was then evaporated under reduced pressure and the salts formed were filtered off; water (30 mL) was added and the product was extracted with EtOAc (3 x 100 mL). The organic extracts was dried over Na2SO4 and concentrated in vacuo. The residue was purified by column chromatography on silica gel eluting with dichloromethane/ethyl acetate 8:2 to afford the mixture of two diastereoisomers 7 as a yellow oil (19.8 g, 91% yield). (α+β anomers): Rf = 0.30 and 0.46 (dichloromethane/ethyl acetate 8:2). IR: vmax (neat) / cm-1: 3422, 3064, 3031, 2868, 1737, 1643, 1497, 1454, 1371, 1245, 1208, 1092, 923, 737, 699. δH (400 MHz, CDCl3):7.45-7.23 (m, 20H), 5.93-5.84 (m, 2H), 5.30-5.20 (m, 2H), 5.12-5.08 (m, 2H), 4.67-4.54 (m, 8H), 4.40-4.32 (m, 2H), 4.05-3.95 (m, 2H), 3.81-3.70 (m, 2H), 3.62-3.55 (m, 4H), 1.90-1.70 (m, 4H). δC (100.6 MHz, CDCl3): 141.1, 140.8, 138.0, 137.9, 128.7, 128.6, 128.2, 128.1, 128.09, 128.06, 114.6, 114.2 78.4, 77.7, 77.4, 73.6, 72.6, 72.2, 71.8, 71.7, 71.0, 70.9, 70.6, 69.8, 37.2, 37.1. HRMS (ESI): calculated for [M+Na]+, C21H26NaO4: 365.1729; found: 365.1741.

3.6. Synthesis of (2R,3S,5R)-3-(benzyloxy)-2-((benzyloxy)methyl-5-vinyltetrahydrofuran 8β and (2R,3S,5S)-3-(benzyloxy)-2-((benzyloxy)methyl-5-vinyltetrahydrofuran 8α

To a stirred solution of 7 (9.00 g, 26.2 mmol) in acetone (250 mL), toluene-p-sulphonyl chloride (5.49 g, 28.8 mmol, 1.1 eq.) and KOH (5 M in H2O, 13 mL, 2.5 eq.) were sequentially added. The reaction was stirred for 52 h at 35 ºC (external temperature). The reaction mixture was then diluted with water and extracted with ethyl acetate (3 x 100 mL). The combined organic extracts were dried over Na2SO4 and concentrated in vacuo. The two diastereoisomers were separated by column chromatography eluting with petroleum ether/diethyl ether 85:15 to afford the title compounds and as pale yellow oils ( 1.93 g, 23% yield; 3.03 g, 36% yield).
(2R,3S,5R)-3-(benzyloxy)-2-((benzyloxy)methyl-5-vinyltetrahydrofuran : [α]D20 = +21.4 (c = 4.3 in CH2Cl2). Rf = 0.56 (petroleum ether/ethyl acetate 8:2). δH (400 MHz, CDCl3):7.39-7.21 (m, 10H), 6.01-5.93 (m, 1H), 5.25-5.08 (m, 2H), 4.65-4.39 (m, 4H), 4.37-4.31 (m, 1H), 4.16-4.13 (m, 1H), 4.04-4.02 (m, 1H), 3.86-3.82 (m, 1H), 3.77-3.73 (m, 1H), 2.35-2.28 (m, 1H), 1.91-1.86 (m, 1H). δC (100.6 MHz, CDCl3):139.4, 138.5, 138.4, 128.5, 128.4, 127.9, 127.6, 127.5, 116.0, 81.5, 79.5, 79.3, 79.1, 73.6, 71.3, 69.3, 38.5. HRMS (ESI): calculated for [M+H]+, C21H25O3: 325.1804; found: 325.1808.
(2R,3S,5S)-3-(benzyloxy)-2-((benzyloxy)methyl-5-vinyltetrahydrofuran : [α]D20 = +34.0 (c = 6.0 in CH2Cl2). Rf = 0.63 (petroleum ether/ethyl acetate 8:2). IR: vmax (neat) / cm-1:2864, 1454, 1094, 925, 787, 697. δH (400 MHz, CDCl3): 7.39-7.21 (m, 10H), 5.91-5.81 (m, 1H), 5.30-5.25 (m, 1H), 5.13-5.10 (m, 1H), 4.65-4.46 (m, 5H), 4.25-4.19 (m, 2H), 3.79 (dd, J1 = 10.0, J2 = 5.6, 1H), 3.72 (dd, J1 = 9.6, J2 = 6.4, 1H), 2.32-2.26 (m, 1H), 1.78-1.71 (m, 1H). δC (100.6 MHz, CDCl3): 138.33, 138.29, 138.2 128.51, 128.46, 127.8, 127.74, 127.7, 116.6, 83.7, 81.5, 80.0, 77.5, 77.4, 73.5, 71.2, 38.8. HRMS (ESI): calculated for [M+H]+, C21H25O3: 325.1804; found: 325.1810.

3.7. Synthesis of 1-((2R,4S,5R)-4-(benzyloxy)-5-((benzyloxy)methyl)tetrahydrofuran-2-yl)ethane-1,2-diol (9a/b)

To a solution of (1.00 g, 3.08 mmol) in THF/H2O (1:1, 80 mL), N-methylmorpholine-N-oxide (540 mg, 4.60 mmol, 1.5 eq.) and OsO4 (78 mg, 0.31 mmol, 0.1 eq.) were added sequentially. After stirring at room temperature for 3 h, the reaction mixture was quenched with Na2S2O5/NaHSO3 (765 mg, 1.3 eq.) and stirred 1 h at the same temperature. The reaction was then extracted with ethyl acetate (3 x 50 mL). The combined organic extracts were washed with 1 N HCl (1 x 50 mL), followed by H2O (1 x 50 mL) and brine (1 x 50 mL). The organic layer was dried over Na2SO4 and concentrated in vacuo to afford 9a/b as a mixture of two diastereoisomers (dr 80:20) as a brown oil. This product did not require any further purification for the next step (1.10 g, 99% yield). Rf = 0.24 (dichloromethane/methanol 9:1). IR: vmax (neat) / cm-1: 3384, 2936, 1445, 1064. δH (400 MHz, CDCl3): 7.42-7.22 (m, 20H), 4.69-4.51 (m, 6H), 4.42-4.39 (m, 2H), 4.27-4.11 (m, 4H), 3.99-3.97 (m, 2H), 3.91-3.89 (m, 2H), 3.79-3.61 (m, 8H), 2.29-2.20 (m, 2H), 2.14-2.08 (m, 2H). δC (100.6 MHz, CDCl3): 138.1,137.7, 128.6, 128.54, 128.52, 128.0, 127.93, 127.9, 127.8, 127.7, 81.5, 80.9, 79.5, 78.8, 78.73, 78.67, 78.5, 73.6, 73.1, 72.8, 71.5, 71.4, 68.9, 68.8, 64.9, 64.0, 33.7, 32.0. HRMS (ESI): calculated for [M+Na]+, C21H26NaO5: 381.1678; found: 381.1681.

3.8. Synthesis of (R)-1-((2R,4S,5R)-4-(benzyloxy)-5-((benzyloxy)methyl)tetrahydrofuran-2-yl)ethane-1,2-diyl diacetate 10a and (S)-1-((2R,4S,5R)-4-(benzyloxy)-5-((benzyloxy)methyl)tetrahydrofuran-2-yl)ethane-1,2-diyl diacetate 10b

To a stirred solution of 9a/b (1.30 g, 3.60 mmol) in CH2Cl2 (40 mL), acetic anhydride (6.2 mL, 65.0 mmol, 18.3 eq.), pyridine (3.1 mL, 38.5 mmol, 10.7 eq.) and a catalytic amount of N,N-dimethylaminopyridine (22 mg, 0.18 mmol, 0.05 eq.) were added sequentially. The reaction was stirred at room temperature for 2 h, then diluted with CH2Cl2 and washed with HCl 10% (2 x 30 mL), followed by NaHCO3 saturated solution (2 x 30 mL). The organic phase was dried over Na2SO4 and then concentrated in vacuo. The reaction afforded a mixture of two diastereoisomers (dr 8:2) which were separated by column chromatography eluting with petroleum ether/diethyl ether 8:2 to afford 10a and 10b as yellow oils (10a 1,01 g, 60% yield; 10b 0.25 g, 20% yield).
(R)-1-((2R,4S,5R)-4-(benzyloxy)-5-((benzyloxy)methyl)tetrahydrofuran-2-yl)ethane-1,2-diyl diacetate 10a: [α]D20 = +26.6 (c = 6.17 in CH2Cl2). Rf = 0.76 (petroleum ether/ethyl acetate 6:4). IR: vmax (neat) / cm-1:1748, 1224, 793. δH (400 MHz, CDCl3): 7.36-7.28 (m, 10H, Ar), 5.18 (ddd, J1 = 6.4, J2 = 3.6, J3 = 2.8, 1H, H-8), 4.61-4.50 (m, 4H, H-6 and H-7), 4.36 (d, J = 12, 1H, H-9), 4.18-4.01 (m, 4H, H-3, H-1, H-9’ and H-4), 3.78 (dd, J1 = 10, J2 = 4.8, 1H, H-5), 3.68 (dd, J1 = 10, J2 = 6.4, 1H, H-5’), 2.20-2.04 (m, 2H, H-2 and H-2’), 2.07 (s, 3H, H-11), 2.05 (s, 3H, H-10).δC (100.6 MHz, CDCl3):171.0, 170.4, 138.3, 138.1, 128.5, 127.9, 127.82, 127.8, 127.76, 127.72, 82.3, 78.3, 76.2, 73.6, 73.4, 71.3, 68.9, 63.0, 33.7, 21.2, 21.0. HRMS (ESI): calculated for [M+Na]+, C25H30NaO7: 465.1889; found: 465.1883.
(S)-1-((2R,4S,5R)-4-(benzyloxy)-5-((benzyloxy)methyl)tetrahydrofuran-2-yl)ethane-1,2-diyl diacetate 10b: [α]D20 = +21.4 (c = 5.43 in CH2Cl2). Rf = 0.68 (petroleum ether/ethyl acetate 6:4). IR: vmax (neat) / cm-1:1748, 1224, 793. δH (400 MHz, CDCl3):7.34-7.27 (m, 10H, Ar), 5.24 (ddd, J1 = 6.4, J2 = 3.6, J3 = 2.8, 1H, H-8), 4.62-4.52 (m, 4H, H-6 and H-7), 4.42 (m, 1H, H-9), 4.37-4.33 (m, 1H, H-3), 4.18-4.10 (m, 2H, H-1 and H-9’), 4.04-4.00 (m, 1H, H-4), 3.80 (dd, J1 = 10, J2 = 4.8, 1H, H-5), 3.70 (dd, J1 = 10, J2 = 6.4, 1H, H-5’), 2.20-2.14 (m, 1H, H-2), 2.04 (s, 3H, H-11), 2.02 (s, 3H, H-10), 1.94-1.89 (m, 1H, H-2’). δC (100.6 MHz, CDCl3): 170.8, 128.54, 128.5, 127.9, 127.8, 127.74 127.7, 127.52, 127.5, 81.6, 78.4, 76.3, 73.6, 72.5, 71.6, 69.0, 63.6, 33.7, 21.2, 20.9. HRMS (ESI): calculated for [M+Na]+, C25H30NaO7: 465.1889; found: 465.1891.

3.9. Synthesis of (4R)-2-(anthracen-9-yl)-4-((2R,4S,5R)-4-(benzyloxy)-5-((benzyloxy)methyl)tetrahydrofuran-2-yl)-1,3-dioxolane 12a and (4S)-2-(anthracen-9-yl)-4-((2R,4S,5R)-4-(benzyloxy)-5-((benzyloxy)methyl)tetrahydrofuran-2-yl)-1,3-dioxolane 12b

To a stirred solution of 9a (67 mg, 0.19 mmol) in CH3CN (1.7 mL), anthraldehyde dimethyl acetal (59 mg, 0.23 mmol, 1.25 eq.) and p-toluensulfonic acid (0.8 mg, 2 mol%) were added. The reaction was stirred at room temperature 48 h, then it was neutralized with Et3N and the solvent was evaporated. The crude material was purified by column chromatography on silica gel eluting with petroleum ether/ethyl acetate 9:1 to afford the title compound 12a and 12b (dr 78:22) as a yellow oil (18 mg, 18%) as individual compounds. (4R)-2-(anthracen-9-yl)-4-((2R,4S,5R)-4-(benzyloxy)-5-((benzyloxy)methyl)tetrahydrofuran-2-yl)-1,3-dioxolane.
12a [α]D25 = +8.6 (c = 1.4 in CH2Cl2). Rf = 0.44 (petroleum ether/ethyl acetate 8:2).IR: vmax (neat) / cm-1: 3012, 1592, 1220, 780. δH (400 MHz, CDCl3): 8.59-8.52 (m, 2H), 8.44 (s, 1H), 7.97-7.92 (m, 2H), 7.60-7.36 (m, 5H), 7.32-7.11 (m, 9H), 7.05 (s, 1H), 4.61-4.50 (m, 4H), 4.42-4.32 (m, 3H), 4.32-4.23 (m, 1H), 4.23-4.11 (m, 2H), 3.84-3.70 (m, 2H), 2.20-2.15 (m, 2H). δC (100.6 MHz, CDCl3): 138.4, 138.3, 131.6, 131.1, 130.6, 129.2, 128.5, 128.0, 127.8, 127.6, 126.3, 125.0, 124.7, 101.8, 82.3, 79.34, 79.28, 79.0, 73.7, 71.3, 69.2, 68.5, 35.1. HRMS (ESI): calculated for [M+H]+, C36H35O5: 547.2484; found: 547.2491.
(4S)-2-(anthracen-9-yl9-4-((2R,4S,5R)-4-(benzyloxy)-5-((benzyloxy)methyl)tetrahydrofuran-2-yl)-1,3-dioxolane (13b)
12b: [α]D25 = -20.0 (c = 0.4 in CH2Cl2). Rf = 0.36 (petroleum ether/ethyl acetate 8:2). IR: vmax (neat) / cm-1:3012, 1592, 1220, 780. δH (400 MHz, CDCl3): 8.53-8.40 (m, 3H), 8.10-7.91 (m, 2H), 7.52-7.40 (m, 4H), 7.40-7.17 (m, 10H), 7.15 (s, 1H), 4.73-4.50 (m, 4H), 4.42-4.17 (m, 4H), 4.20-4.10 (m, 2H), 3.90-3.71 (m, 2H), 2.29-2.15 (m, 2H). δC (100.6 MHz, CDCl3):138.4, 138.2, 131.6, 131.0, 130.5, 129.3, 128.6, 128.0, 127.8, 127.79, 127.7, 127.6, 126.4, 125.1, 124.9, 124.4 101.4, 82.3, 79.5, 79.0, 78.3, 73.7, 71.3, 70.0, 69.3, 35.1. HRMS (ESI): calculated for [M+H]+, C36H35O5: 547.2484; found: 547.2488.

3.10. Synthesis of (R)-1-((2R,4S,5R)-4-hydroxy-5-(hydroxymethyl)tetrahydrofuran-2-yl)ethane-1,2-diyl diacetate 13

To a stirred solution of 10a (300 mg, 0.678 mmol) in methanol/formic acid 9:1 (24 mL), Pd/C 10% (144 mg, 1.36 mmol, 2.0 eq.) was added. The reaction mixture was vigorously stirred at room temperature under atmospheric hydrogen pressure (balloon) for 16 h. The solution was then filtered on celite and the solvent evaporate under reduced pressure to afford a colorless oil. This product did not require any further purification for the next step. (163 mg, 92% yield). [α]D25 = +53.3 (c = 0.3 in CH2Cl2). Rf = 0.2 (dichloromethane/methanol 9:1). IR: vmax (neat) / cm-1: 3584, 2946, 1740. δH (400 MHz, CDCl3): 5.26-5.23 (m, 1H), 4.53-4.48 (m, 2H), 4.17-4.10 (m, 2H), 4.00-3.91 (m, 2H), 3.88-3.85 (m, 1H), 2.37-2.30 (m, 1H), 2.11 (s, 3H, -OCH3), 2.07 (s, 3H, -OCH3), 1.97-1.95 (m, 1H). δC (100.6 MHz, CDCl3): 170.9, 170.4, 77.3, 76.4, 73.5, 72.6, 62.5, 61.8, 37.2, 21.1, 21.0. HRMS (ESI): calculated for [M+Na]+, C11H18NaO7: 285.0950; found: 285.0954.

3.11. Synthesis of (R)-1-((2R,4S,5R)-5-((bis(4-methoxyphenyl)(phenyl)methoxy)methyl)-4-hydroxytetrahydrofuran-2-yl)ethane-1,2diyl diacetate 14

To a stirred solution of 13 (163 mg g, 0.621 mmol) in dry pyridine (3.3 mL), 4,4'-dimethoxytrityl chloride (274 mg, 0.810 mmol, 1.3 eq.) was added under an inert atmosphere. The reaction was stirred at room temperature for 16 hours, then quenched with a solution of chloroform/methanol 9:1 (8 mL), diluted with CH2Cl2 (5 mL) and washed with H2O (1 x 10 mL). The organic phase was dried over MgSO4, concentrated in vacuo and purified by column chromatography on silica gel eluting with petroleum ether/ethyl acetate 7:3 containing 3% of Et3N to afford 14 as a yellow oil (210 mg, 60% yield). [α]D25 = +1.8 (c = 21.0 in CH2Cl2). Rf = 0.86 (petroleum ether/ethyl acetate 1:1). IR: vmax (neat) / cm-1: 3584, 3029, 2946, 1740. δH (400 MHz, CDCl3): 7.39-7.28 (m, 4H), 7.45-7.21 (m, 5H), 6.90-6.79 (m, 4H), 5.26-5.23 (m, 1H), 4.53-4.46 (m, 2H), 4.21-4.10 (m, 1H), 3.95-3.91 (m, 1H), 3.79 (s, 6H, ArOCH3), 3.39-3.37 (m, 2H), 2.66-2.65 (m, 1H), 2.33-2.25 (m, 1H), 2.10 (s, 3H, -OCH3), 2.04 (s, 3H, -OCH3), 1.97-1.91 (m, 1H). δC (100.6 MHz, CDCl3): 170.9, 170.3, 158.7, 144.7, 135.8, 130.1, 128.08, 128.04, 127.0, 113.4, 86.8, 81.7, 76.1, 73.0, 72.7, 62.9, 62.6, 55.4, 37.1, 21.2, 21.0. HRMS (ESI): calculated for [M+Na]+, C32H36NaO9: 587.2257; found: 587.2263.

3.12. Synthesis of (1R)-1-((2R,4S,5R)-5-((bis(4-methoxyphenyl)(phenyl)methoxy)methyl)-4-(((2-cyanoethoxy)(diisopropylamino)phosphanyl)oxy)tetrahydrofuran-2-yl)ethane-1,2-diyl diacetate 15

To a stirred solution of 14 (235 mg, 0.416 mmol) in dry CH2Cl2 (10 mL), N,N-diisopropylethylamine (181 μL, 1.04 mmol, 2.5 eq.) and 2-cyanoethyl N,N-diisopropylchlorophosphoramidite (204 μL, 0.915 mmol, 2.2 eq.) were added sequentially under an inert atmosphere. The reaction was stirred at room temperature overnight, then poured into ice-cold water (15 mL) and extracted with CH2Cl2 (3 x 15 mL). The combined organic extracts were washed with water (1 x 10 mL), dried over MgSO4, and evaporated under reduced pressure. The crude residue was purified by silica gel column chromatography (petroleum ether/ethyl acetate 8:2 containing 3% Et3N) to afford 15 as a yellow oil (303 mg, 95% yield). IR: vmax (neat) / cm-1: 3029, 2946, 1740; 1380. δH (400 MHz, CDCl3): 7.49-7.57 (m, 2H), 7.38-7.19 (m, 7H), 6.91-6.77 (m, 4H), 5.11-5.07 (m, 1H), 4.61-4.53 (m, 1H), 4.47-4.05 (m, 4H), 3.79 (s, 3H), 3.78 (s, 3H), 3.65-3.12 (m, 5H), 2.58-2.51 (m, 1H), 2.45-2.20 (m, 2H), 2.15-2.12 (m, 1H), 2.08 (s, 3H), 2.06 (s, 3H), 1.97-1.91 (m, 1H), 1.21-0.90 (m, 12H). δC (100.6 MHz, CDCl3): 171.0, 170.9, 170.3, 170.1, 158.47, 158.45, 145.13, 145.1, 136.47, 136.46, 136.24, 136.21, 130.31, 130.25, 128.5, 128.4, 127.8, 126.8, 126.7, 117.9, 117.7, 113.09, 113.06, 86.23, 86.21, 83.2, 83.1, 76.01, 76.0, 73.3, 73.1, 64.3, 64.0, 62.9, 62.7, 58.7, 58.5, 58.1, 58.0, 55.33, 55.29, 43.4, 43.3, 43.2, 43.1, 36.7, 36.5, 24.74, 24.67, 24.63, 24.60, 24.55, 24.4, 24.3, 21.2, 21.1, 21.0, 20.97. HRMS (ESI): calculated for [M+Na]+, C41H53N2NaO10P: 787.3336; found: 787.3340.

3.13. Synthesis of (S)-1-((2R,4S,5R)-4-hydroxy-5-(hydroxymethyl)tetrahydrofuran-2-yl)ethane-1,2-diyl diacetate 16

To a stirred solution of 10b (200 mg, 0.452 mmol) in methanol/formic acid 9:1 (19 mL), Pd/C 10% (96 mg, 0.90 mmol, 2.0 eq.) was added. The reaction mixture was vigorously stirred at room temperature under atmospheric hydrogen pressure (balloon) for 16 h. The solution was then filtered on celite and the solvent evaporate under reduced pressure to afford a colourless oil. This product did not require any further purification for the next step. (51 mg, 43% yield). [α]D25 = +40.0 (c = 0.6 in CH2Cl2). Rf = 0.2 (dichloromethane/methanol 9:1). IR: vmax (neat) / cm-1: 3584, 2946, 1740. δH (400 MHz, CDCl3): δH 5.27-5.23 (m, 1H), 4.47-4.44 (m, 1H), 4.29-4.26 (m, 1H), 4.17-4.10 (m, 2H), 3.93-3.79 (m, 3H), 2.30-2.26 (m, 1H), 2.10 (s, 3H), 2.03 (s, 3H), 1.85-1.80 (m, 1H). δC (100.6 MHz, CDCl3): 171.7, 171.2, 81.5, 77.4, 73.8, 73.7, 63.3, 62.0, 38.3, 21.4, 21.0. HRMS (ESI): calculated for [M+Na]+, C11H18NaO7: 285.0950; found: 285.0954.

3.14. Synthesis of (S)-1-((2R,4S,5R)-5-((bis(4-methoxyphenyl)(phenyl)methoxy)methyl)-4-hydroxytetrahydrofuran-2-yl)ethane-1,2-diyl 17

To a stirred solution of 16 (46 mg g, 0.175 mmol) in dry pyridine (1.0 mL), 4,4'-dimethoxytrityl chloride (83 mg, 0.25 mmol, 1.4 eq.) was added under an inert atmosphere. The reaction was stirred at room temperature for 16 hours, then quenched with a solution of chloroform/methanol 9:1 (2 mL), diluted with CH2Cl2 (5 mL) and washed with H2O (1 x 5 mL). The organic phase was dried over MgSO4, concentrated in vacuo and purified by column chromatography on silica gel eluting with petroleum ether/ethyl acetate 7:3 containing 3% of Et3N to afford 17 as a yellow oil (42 mg, 43% yield). [α]D25 = +2.0 (c = 2.0 in CH2Cl2). Rf = 0.86 (petroleum ether/ethyl acetate 1:1). IR: vmax (neat) / cm-1:3584, 3029, 2946, 1740. δH (400 MHz, CDCl3): 7.47-7.21 (m, 9H), 6.84 (d, J = 8.8, 4H), 5.26-5.24 (m, 1H), 4.42-4.38 (m, 2H), 4.26-4.15 (m, 2H), 3.89-3.88 (m, 1H), 3.79 (s, 6H), 3.42 (dd, J1 = 10, J2 = 5.2, 1H), 3.32 (dd, J1 = 10, J2 = 4.8, 1H), 2.87-2.85 (m, 1H), 2.36-2.29 (m, 1H), 2.05 (s, 3H), 2.04 (s, 3H), 1.87-1.75 (m, 1H). δC (100.6 MHz, CDCl3): 170.84, 170.82, 158.7, 144.8, 135.9, 135.8, 130.1, 128.2, 128.1, 113.4, 86.8, 81.3, 75.9, 72.7, 72.3, 63.5, 62.7, 55.4, 37.4, 21.1, 21.0. HRMS (ESI): calculated for [M+Na]+, C32H36NaO9: 587.2257; found: 587.2261.

3.15. Synthesis of (1S)-1-((2R,4S,5R)-5-((bis(4-methoxyphenyl)(phenyl)methoxy)methyl)-4-(((2-cyanoethoxy)(diisopropylamino)phosphanyl)oxy)tetrahydrofuran-2-yl)ethane-1,2diyl diacetate 18

To a stirred solution of 17 (27 mg, 0.048 mmol) in dry CH2Cl2 (1.2 mL), N,N-diisopropylethylamine (20 μL, 0.12 mmol, 2.5 eq.) and 2-cyanoethyl N,N-diisopropylchlorophosphoramidite (24 μL, 0.449 mmol, 2.2 eq.) were added sequentially. The reaction was stirred at room temperature overnight under argon atmosphere, then poured into ice-cold water (5 mL) and extracted with CH2Cl2 (3 x 5 mL). The combined organic extracts were washed with water, dried over MgSO4, and evaporated under reduced pressure. The crude residue was purified by silica gel column chromatography (petroleum ether/ethyl acetate 8:2 containing 3% Et3N) to afford 18 as a yellow oil (15 mg, 41% yield). IR: vmax (neat) / cm-1: 3029, 2946, 1740; 1380. δH (400 MHz, CDCl3): 7.29-7.20 (m, 18H), 6.76-6.74 (m, 8H), 5.27-5.22 (m, 2H) 4.45-3.98 (m, 8H), 3.71 (s, 6H), 3.70 (s, 6H), 3.65-3.12 (m, 10H), 2.54-2.50 (m, 2H), 2.78-2.55 (m, 6H), 2.39-2.32 (m, 2H), 2.09 (s, 6H), 2.01 (s, 6H), 1.92-1.81 (m, 2H), 1.25-0.79 (m, 24H). δC (100.6 MHz, CDCl3): 170.84, 170.76, 170.5, 158.43, 158.4, 145.1, 136.6, 136.3, 132.5, 131.0, 130.4, 130.31, 130.28, 130.22, 128.9, 128.5, 128.4, 127.8, 126.8, 126.7, 117.8, 116.7, 113.1, 86.2, 82.1, 76.3, 76.0, 73.3, 72.7, 63.8, 63.6, 63.4, 58.2, 58.2, 55.31, 55.27, 45.42, 45.4, 43.2, 43.1, 35.9, 24.84, 24.63, 24.6, 24.59, 24.55, 24.4, 24.3, 21.2, 21.1, 21.0, 20.97. HRMS (ESI):calculated for [M+Na]+, C41H53N2NaO10P: 787.3336; found: 787.3341.

3.16. Preparation of Oligonucleotides A and B

Oligonucleotides A-B were synthesized on an AB 3400 DNA synthesizer using standard β-cyanoethyl phosphoramidite chemistry. Reagents and concentrations applied were the same as those for syntheses of natural DNA oligomers. DNA solid phase synthesis was performed on 1 μmol dABz 500 A CPG resin and 1 μmol dGiBU 500A CPG (Applied Biosystem) and using scale standard protocol. Syntheses were performed on a 1 μmol scale trityl-on mode, according to the manufacturer’s protocol. The only change made to the usual synthesis cycle for the monomer 15 was the prolongation of the coupling time to 3 min. Coupling efficiency during the automated synthesis was estimated spectrophotometrically by the DMT cation, released during the detritylation steps. The oligomers, were removed from the support and deprotected by treatment with 35% NH3 16 h at 60 °C. The crude oligonucleotides were submitted to the protocol for PoliPak II (Glen Research) where first the DMT was removed and then the oligo purified (attached HPLC profile after Poli-Pak II treatment). After the treatment with Poli-Pak II the sequences were submitted to RP-HPLC using a C12 Jupiter Proteo column and a gradient of 20% of B (CH3CN) in A (H2O, 0.1M TEEA, pH=7). The product were characterized by Matrix-assisted laser desorption ionization (MALDI) mass spectra using the Applied Biosystems Voyager DE-PRO spectrometer with 3-hydroxy picolinic acid matrix. Sequence A (MALDI): calculated for [M-H+Na+]- 4575.61; found: 4575.66. Sequence B (MALDI): calculated for [M-H+Na]- 4610.67; found: 4610.71.

3.17. Procedure for the UV Absorption Measurements and UV-Melting Experiments

UV measurements were obtained on a JASCO V-550 UV/VIS spectrophotometer equipped with a Peltier block by using 1 cm quartz cells of both 0.5 and 1 mL internal volume (Hellma). Oligomer quantification was achieved measuring the absorbance (l = 260 nm) at 80 °C, using the molar extinction coefficients calculated for the unstacked oligonucleotides. The molar extinction coefficients used for the calculations were: A,15.4; T, 8.8; G, 11.7; C, 7.3 m_1M_1 (for the DNA monomers). The epsilon used for the quantification of the oligonucleotide are: ε260= 152,6 m-1M-1 for sequence A (A4C2G2T6) and 165,6 m-1M-1for sequence B (A6C2G2T4). UV quantification of the oligos provided the following values: a = 135 nmol (0.62 mg, 13% yield); b = 125 nmol (0,58 mg, 12 % yield). Annealing of all the duplexes was performed by dissolving equimolar amounts of the two complementary strands in milliQ water, heating the solution at 85 °C (5 min) and then allowing to cool slowly to room temperature. Melting curves (at 260 nm) were recorded for a consecutive heating (10-85 °C) -cooling-heating protocol with a linear gradient of 0.5 °C/min.

Supplementary Materials

The following supporting information can be downloaded at the website of this paper posted on Preprints.org: Electronic Supplementary Information (ESI) available: Copies of 1H- and 13C- NMR for compounds 4-18.

Author Contributions

Conceptualization, M.F.A.A.; methodology, M.M. and L.P.; formal analysis, M.F.A.A, M.M. and M.S.; investigation, M.M. and L.P.; resources, M.F.A.A.; writing—original draft preparation, M.F.A.A. and M.M.; project administration, M.M. and M.F.A.A.; funding acquisition, M.F.A.A. and M.M. All authors have read and agreed to the published version of the manuscript.

Funding

This research was funded by H2020-MSCA-RISE-2014 ChemoEnz ga n.645317.

Conflicts of Interest

The authors declare no conflict of interest.

References

  1. Watson, J.D.; Crick, F.H. The complementary structure of deoxyribonucleic acid. Proceed. Royal Soc. A, 1954, 223, 80–96. [Google Scholar]
  2. (a) Feldman, A. W.; Romerberg, F. E. Expansion of the Genetic Alphabet: A Chemist’s Approach to Synthetic Biology. Acc. Chem. Res. 2018, 51, 394-403; (b) Wojciechowski, F.; Leumann, C.J. Chem. Soc. Rev.2011, 40, 5669-5679; (c) Takezawa, Y.; Shionoya, M. Acc. Chem. Res. 2012, 45, 2066-2076.
  3. (a) Biondi, E.; Benner, S. A. Artificially expanded genetic information system for new aptamers technologies. Biomedicines, 2018, 6, 53-56. (b) Richards, N.G.; Georgiadis, M.M. Towards an expanded genome: structural and computational charachterisation of an artificially expanded information system. Acc. Chem. Res. 2017, 50, 1375-1382.
  4. Winnacker, M.; Kool, E.T. Artificial genetic sets composed of size expanded base pairs. Angew. Chem. Int. Ed. 2013, 52, 12498–12508. [Google Scholar] [CrossRef] [PubMed]
  5. (a) Marek, J. J.; Singh, R. P.; Heuer, A,; Hennecke, U. Chem. Eur. J. 2017, 23, 6004-6008. (b) Dey, S.; Ruhl, C.L.; Jaschke, A. Chem. Eur. J. 2017, 23, 12162-12170.(c) Silverman, S.K. Catalytic DNA: scope, applications and biochemistry of deoxyribozymes. Trends Biochem. Sci. 2016, 41, 585-609.
  6. Erxleben, A. Interaction of copper complexes with nucleic acids. Coord. Chem. Rev. 2018, 360, 92–121. [Google Scholar] [CrossRef]
  7. Seeman, N.C.; Sleiman, H.F. DNA nanotechnology. 2018, 3, 17068. [Google Scholar]
  8. Torigoe, A.; Ono, A.; Kozasa, T. HgII Ion Specifically Binds with T:T Mismatched Base Pair in Duplex DNA. Chem. Eur. J. 2010, 16, 13218–13225. [Google Scholar] [CrossRef] [PubMed]
  9. Tanaka, Y.; Oda, S.; Yamaguchi, H.; Kondo, Y.; Kojima, C.; Ono, A. 15N−15N J-Coupling Across HgII:  Direct Observation of HgII-Mediated T−T Base Pairs in a DNA Duplex J. Am. Chem. Soc. 2007, 129, 244–245. [Google Scholar] [CrossRef]
  10. Urata, H.; Yamaguchi, E.; Funai, T.; Matsumura, Y.; Wada, S. incorporation of thymine nucleotides bu DNA polymerases through T-HgII-T base pairing. Angew. Chem. 2010, 122, 6666–6669. [Google Scholar] [CrossRef]
  11. Taherpour, S.; Golubev, O.; Lonnberg, T. Metal ion mediated base pairing between natural nucleobases and bidentate 3,5-dimethylpyrazolyl-substituted purine ligands. J. Org. Chem. 2014, 79, 8990–8999. [Google Scholar] [CrossRef]
  12. Litau, S. ; Muller, A tridentate “click” nucleoside for metal mediated base pairing. J. Inorg. Chem. 2015, 148, 116–120. [Google Scholar]
  13. Clever, G.H.; Carell, T. ; Controlled Stacking of 10 Transition-Metal Ions inside a DNA Duplex. Angew. Chem. Int. Ed. 2006, 46, 250–253. [Google Scholar] [CrossRef] [PubMed]
  14. Mandal, S.; Muller, J. Metal mediated DNA assembly with ligand based nucleosides. Curr. Opin. Chem. Biol. 2017, 37, 71–79. [Google Scholar] [CrossRef]
  15. Meggers, E.; Holland, P.L.; Tolman, W.B.; Romersberg, F.E.; Schultz, P.E. A novel copper mediated DNA base pair. J. Am. Chem. Soc. 2000, 122, 10714–10815. [Google Scholar] [CrossRef]
  16. Tanaka, K.; Tengeiji, A.; Kato, T.; Toyama, N.; Shionoia, M. A discrete self-assembled metal array in artificial DNA. Science, 2003, 299, 1212–1213. [Google Scholar] [CrossRef] [PubMed]
  17. (a) De Clercq, E. C-Nucleosides to be revisited. J. Med. Chem. 2016, 59, 2301. (b) Stambasky, J.; Hocek, M.; Kocovsky, P. C-nucleosides: synthetic strategies and biological applications Chem. Rev. 2009, 109, 6729-6764.
  18. (a) Adamo, M. F. A.; Pergoli, R. Studies on the generation of unnatural C-nucleosides with 1-alkynyl-2-deoxyriboses. Org. Lett. 2007, 9, 4443-4446. (b) Adamo, M.F.A.; Pergoli, R.; Moccia, M. Alkynyl-2-deoxy-D-riboses, a cornucopia for the generation of families of C-nucleosides. Terahedron, 2010, 66, 9242-9251.
  19. Takase, M.; Morikawa, T.; Abe, H.; Inouye, M. Stereoselectuve synthesis of alkynyl C-2-deoxy-b-D-ribofuranosides via intramolecular Nicholas reaction. A versatile building block for nonnatural C-nucleosides. Org. Lett. 2003, 5, 625–628. [Google Scholar] [CrossRef]
  20. Jacobsen, E.N.; Marko, I.; Mungall, W.S.; Schroeder, G.; Sharpless, B.K. Asymmetric dihydroxylation via ligand accelerated catalysis, J. Am. Chem. Soc. 1988, 110, 1968–1970. [Google Scholar] [CrossRef]
  21. Ellervik, U. 9-anthraldehyde acetals as protecting groups. Tetrahedron Lett. 2003, 44, 2279–2281. [Google Scholar] [CrossRef]
Figure 1. Representative examples of metal-mediated base pairs.
Figure 1. Representative examples of metal-mediated base pairs.
Preprints 70837 g001
Scheme 1. Reagents and conditions: a) AcCl, CH3OH, r.t. 1h, 99%; b) BnCl, KOH, THF reflux 24h, 85%; c) AcOH/H20 8/2, 49°C, 48h, 83%; overall for (a)-(c) 70% yield; d) CH2=CH2MgBr, THF, 0 °C, 24h, 83%; e) TsCl, KOH, 40°C, 48h, 70%; f) OsO4 10%, NMO (1,5 eq) THF/H2O 1:1, 2h, r.t. 99%; g) Ac2O, DMAP, pyridine, CH2Cl2, dr 75:25; 80%.
Scheme 1. Reagents and conditions: a) AcCl, CH3OH, r.t. 1h, 99%; b) BnCl, KOH, THF reflux 24h, 85%; c) AcOH/H20 8/2, 49°C, 48h, 83%; overall for (a)-(c) 70% yield; d) CH2=CH2MgBr, THF, 0 °C, 24h, 83%; e) TsCl, KOH, 40°C, 48h, 70%; f) OsO4 10%, NMO (1,5 eq) THF/H2O 1:1, 2h, r.t. 99%; g) Ac2O, DMAP, pyridine, CH2Cl2, dr 75:25; 80%.
Preprints 70837 sch001
Scheme 2. Reagents and conditions: a) 35% NH3, 60°C, 16h, 70%, b) 12, p-TSA (2% mol), CH3CN, r.t., 12h, 18% mixture of two diastereoisomers.
Scheme 2. Reagents and conditions: a) 35% NH3, 60°C, 16h, 70%, b) 12, p-TSA (2% mol), CH3CN, r.t., 12h, 18% mixture of two diastereoisomers.
Preprints 70837 sch002
Scheme 4. Reagents and conditions: a) Pd/C, H2, MeOH/HCOOH (9:1), r.t. , 16h, 43%, b) DMTr-Cl, pyridine, r.t., 43%; c) 2-cyanoethyl N,N-diisopropylchorophosphoramidite, iPr2EtN, CH2Cl2, r.t., 41%.
Scheme 4. Reagents and conditions: a) Pd/C, H2, MeOH/HCOOH (9:1), r.t. , 16h, 43%, b) DMTr-Cl, pyridine, r.t., 43%; c) 2-cyanoethyl N,N-diisopropylchorophosphoramidite, iPr2EtN, CH2Cl2, r.t., 41%.
Preprints 70837 sch004
Figure 2. Unnatural DNA strands A and B containing abasic nucleoside 19.
Figure 2. Unnatural DNA strands A and B containing abasic nucleoside 19.
Preprints 70837 g002
Figure 3. Melting curve of the duplex A/B: 2µM, 25mM NaCl, 10mM phosphate buffer pH=7.
Figure 3. Melting curve of the duplex A/B: 2µM, 25mM NaCl, 10mM phosphate buffer pH=7.
Preprints 70837 g003
Disclaimer/Publisher’s Note: The statements, opinions and data contained in all publications are solely those of the individual author(s) and contributor(s) and not of MDPI and/or the editor(s). MDPI and/or the editor(s) disclaim responsibility for any injury to people or property resulting from any ideas, methods, instructions or products referred to in the content.
Copyright: This open access article is published under a Creative Commons CC BY 4.0 license, which permit the free download, distribution, and reuse, provided that the author and preprint are cited in any reuse.
Prerpints.org logo

Preprints.org is a free preprint server supported by MDPI in Basel, Switzerland.

Subscribe

Disclaimer

Terms of Use

Privacy Policy

Privacy Settings

© 2026 MDPI (Basel, Switzerland) unless otherwise stated