Submitted:
11 February 2023
Posted:
16 February 2023
You are already at the latest version
Abstract
Keywords:
1. Introduction
2. Computational Approach
3. Conformational Analysis - Most Stable Structure of PTB7-Th
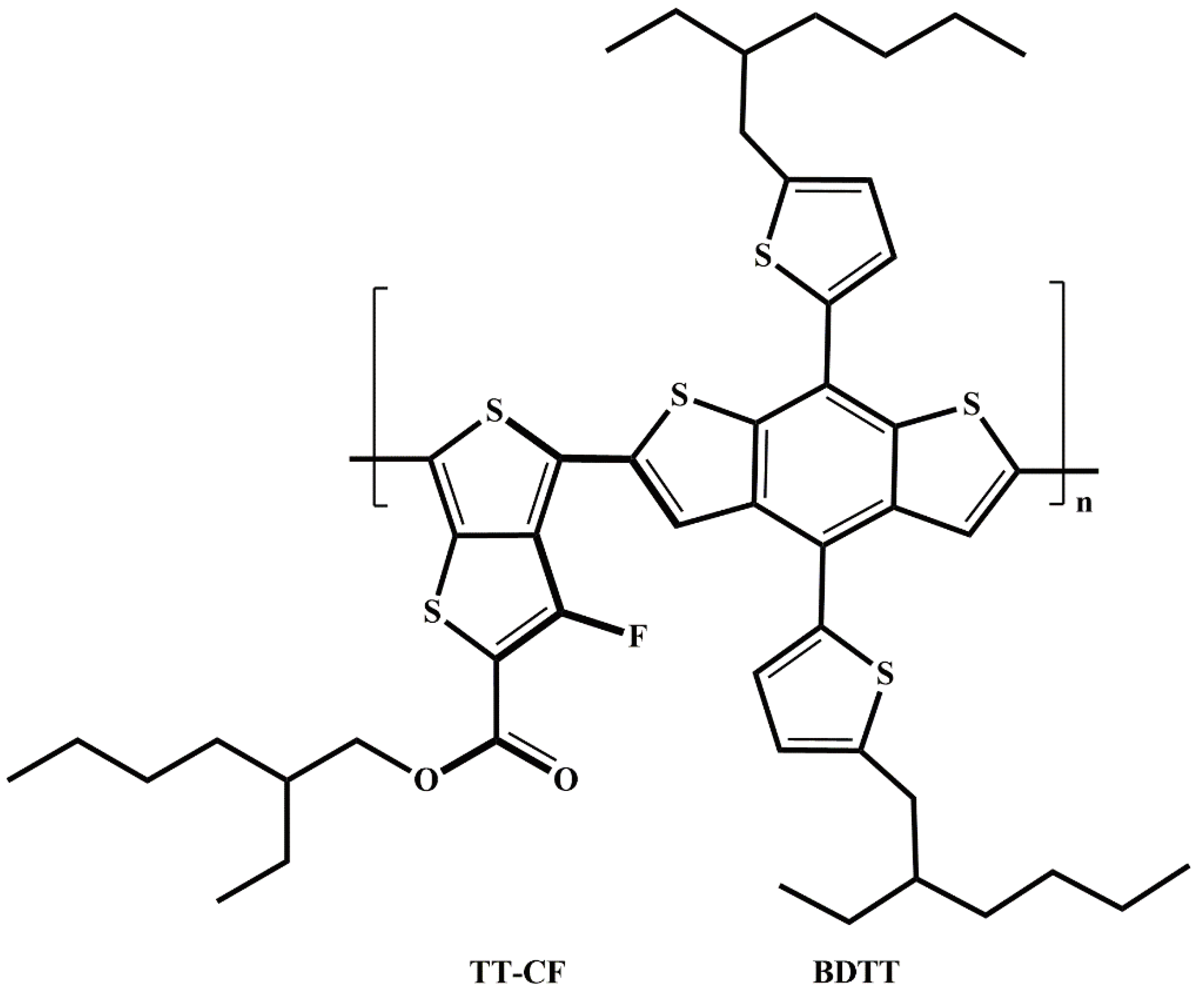
3.1. Monomers of PTB7-Th
3.2. Repeat Units (Dimers) of 2PTB7-Th
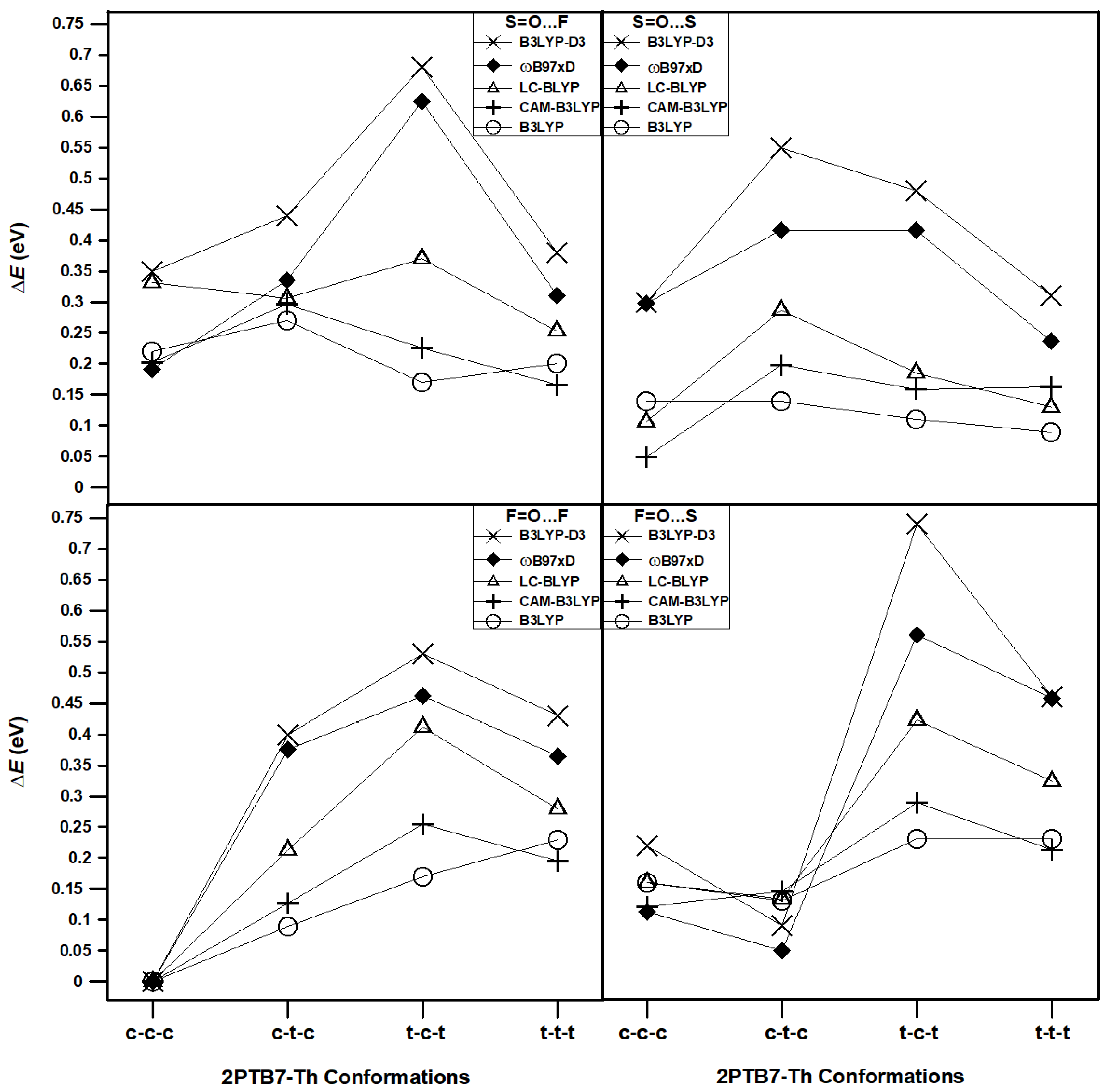
3.2.1. DFT/B3LYP and DFT/B3LYP-D3 results
3.2.2. LC-DFT results
3.3. Longer Oligomers of PTB7-Th

3.4. Electronic Structure of PTB7-Th
4. Conclusions
Supplementary Materials
Data Availability Statement
Acknowledgments
References
- Zhang, G.; Lin, F.R.; Qi, F.; Heumuller, T.; Distler, A.; Egelhaaf, H.-J.; Li, N.; Chow, P.C.Y.; Brabec, C.J.; Jen, A.K.-Y.; Yip, H.-L. Renewed Prospects for Organic Photovoltaics. Chem. Rev. 2022, 122, 14180–14274. [Google Scholar] [CrossRef]
- Wang, Y.; Lee, J.; Hou, X.; Labanti, C.; Yan, J.; Mazzolini, E.; Parhar, A.; Neson, J.; Kim, J.-S.; Li, Z. Recent progress and chanllenges toward highly stable nonfullerene acceptor-based organic solar cells. Adv. Energy Mater. 2020, 2003002–2003043. [Google Scholar]
- Inganas, O. Organic Photovoltaics over Three Decades. Advanced Materials 2018, 30, 1800388–1800414. [Google Scholar] [CrossRef]
- Hou, J.H.; Inganas, O.; Friend, R.H.; Gao, F. Organic solar cells based on non-fullerene acceptors. Nature Materials 2018, 17, 119–128. [Google Scholar] [CrossRef]
- Zou, S.J.; Shen, Y.; Xie, F.M.; Chen, J.D.; Li, Y.Q.; Tang, J.X. Recent advances in organic light-emitting diodes: toward smart lighting and displays. Materials Chemistry Frontiers 2020, 4, 788–820. [Google Scholar] [CrossRef]
- Zhao, Y.; Liu, L.; Zhang, F.; Di, C.; Zhu, D. Advances in organic thermolectric materials and devices for smart applications. Smart Mat. 2021, 2, 426–445. [Google Scholar]
- Rafique, S.; Abdullah, S.M.; Sulaiman, K.; Iwamoto, M. Fundamentals of bulk heterojunction organic solar cells: An overview of stability/degradation issues and strategies for improvement. Renewable & Sustainable Energy Reviews 2018, 84, 43–53. [Google Scholar]
- Gurney, R.S.; Lidzey, D.G.; Wang, T. A review of non-fullerene polymer solar cells: from device physics to morphology control. Reports on Progress in Physics 2019, 82, 036601–036638. [Google Scholar] [CrossRef]
- Ye, T.; Jin, S.; Kang, C.; Tian, C.; Zhang, X.; Zhan, C.; Lu, S.; Kan, Z. Comparison study of wide bandgap polymer (PBDB-T) and narrrow bandgap polymer (PBDTTT-EFT) as donor for perylene diimide based polymer solar cells. Front. Chem. 2018, 6, 613–621. [Google Scholar] [CrossRef]
- Ye, L.; Zhang, S.Q.; Zhao, W.C.; Yao, H.F.; Hou, J.H. Highly Efficient 2D-Conjugated Benzodithiophene-Based Photovoltaic Polymer with Linear Alkylthio Side Chain. Chemistry of Materials 2014, 26, 3603–3605. [Google Scholar] [CrossRef]
- Cui, C.H.; He, Z.C.; Wu, Y.; Cheng, X.; Wu, H.B.; Li, Y.F.; Cao, Y.; Wong, W.Y. High-performance polymer solar cells based on a 2D-conjugated polymer with an alkylthio side-chain. Energy & Environmental Science 2016, 9, 885–891. [Google Scholar]
- Zhang, W.J.; Li, Y.R.; Zhu, L.P.; Liu, X.H.; Song, C.J.; Li, X.D.; Sun, X.H.; Fang, J.F. A PTB7-based narrow band-gap conjugated polyelectrolyte as an efficient cathode interlayer in PTB7-based polymer solar cells. Chemical Communications 2017, 53, 2005–2008. [Google Scholar] [CrossRef]
- Wang, J.F.; Jia, X.K.; Zhou, J.P.; Pan, L.K.; Huang, S.M.; Chen, X.H. Improved Performance of Polymer Solar Cells by Thermal Evaporation of AgAl Alloy Nanostructures into the Hole-Transport Layer. Acs Applied Materials & Interfaces 2016, 8, 26098–26104. [Google Scholar]
- Oh, S.; Song, C.E.; Lee, T.; Cho, A.; Lee, H.K.; Lee, J.C.; Moon, S.J.; Lim, E.; Lee, S.K.; Shin, W.S. Enhanced efficiency and stability of PTB7-Th-based multi-non-fullerene solar cells enabled by the working mechanism of the coexisting alloy-like structure and energy transfer model. Journal of Materials Chemistry A 2019, 7, 22044–22053. [Google Scholar] [CrossRef]
- Mehboob, M.Y.; Adnan, M.; Hussain, R.; Irshad, Z. Quantum chemical designing of banana-shaped acceptor materials with outstanding photovoltaic properties for high-performance non-fullerene organic solar cells. Synthetic Metals 2021, 277, 116800–116814. [Google Scholar] [CrossRef]
- Ans, M.; Ayub, K.; Muhammad, S.; Iqbal, J. Development of fullerene free acceptors molecules for organic solar cells: A step way forward toward efficient organic solar cells. Computational and Theoretical Chemistry 2019, 1161, 26–38. [Google Scholar] [CrossRef]
- Shehzad, R.A.; Iqbal, J.; Khan, M.U.; Hussain, R.; Javed, H.M.A.; Rehman, A.U.; Alvi, M.U.; Khalid, M. Designing of benzothiazole based non-fullerene acceptor (NFA) molecules for highly efficient organic solar cells. Computational and Theoretical Chemistry 2020, 1181, 112833–112844. [Google Scholar] [CrossRef]
- Mahmood, A.; Irfan, A.; Wang, J.L. Machine learning and molecular dynamics simulation-assisted evolutionary design and discovery pipeline to screen efficient small molecule acceptors for PTB7-Th-based organic solar cells with over 15% efficiency. Journal of Materials Chemistry A 2022, 10, 4170–4180. [Google Scholar] [CrossRef]
- Afzal, Z.; Hussain, R.; Khan, M.U.; Khalid, M.; Iqbal, J.; Alvi, M.U.; Adnan, M.; Ahmed, M.; Mehboob, M.Y.; Hussain, M.; Tariq, C.J. Designing indenothiophene-based acceptor materials with efficient photovoltaic parameters for fullerene-free organic solar cells. Journal of Molecular Modeling 2020, 26, 137–154. [Google Scholar] [CrossRef]
- Ayoub, S.A.; Lagowski, J.B. Assessment of the performance of four dispersion-corrected DFT methods using optoelectronic properties and binding energies of organic monomer/fullerene pairs. Computational and Theoretical Chemistry 2018, 1139, 15–26. [Google Scholar] [CrossRef]
- Becke, A.D. Density-functional thermochemistry 3. The role of exact exchange. Journal of Chemical Physics 1993, 98, 5648–5652. [Google Scholar]
- Lee, C.T.; Yang, W.T.; Parr, R.G. Development of the colle-salvetti correlation-energy formula into a functional of the electron-density. Physical Review B 1988, 37, 785–789. [Google Scholar] [CrossRef]
- Grimme, S. Semiempirical GGA-type density functional constructed with a long-range dispersion correction. Journal of Computational Chemistry 2006, 27, 1787–1799. [Google Scholar] [CrossRef]
- Yanai, T.; Tew, D.; Handy, N. A new hybrid exchange-correlation functional using the Coulomb-attenuating method (CAM-B3LYP). Chem. Phys. Lett. 2004, 393, 51–57. [Google Scholar] [CrossRef]
- Iikura, H; Tsuneda, T.; Yanai, T.; Hirao, K. Long-range correction scheme for generalized-gradient-approximation exchange functionals. J. Chem. Phys. 2001, 115, 3540–44. [CrossRef]
- Chai, D.J.-D.; Head-Gordon, M. Long-range corrected hybrid density functionals with damped atom-atom dispersion corrections. Phys. Chem. Chem. Phys. 2008, 10, 6615–20. [Google Scholar] [CrossRef]
- Huo, L.J.; Zhang, S.Q.; Guo, X.; Xu, F.; Li, Y.F.; Hou, J.H. Replacing Alkoxy Groups with Alkylthienyl Groups: A Feasible Approach To Improve the Properties of Photovoltaic Polymers. Angewandte Chemie-International Edition 2011, 50, 9697–9702. [Google Scholar] [CrossRef]
- Zhang, S.Q.; Ye, L.; Zhao, W.C.; Liu, D.L.; Yao, H.F.; Hou, J.H. Side Chain Selection for Designing Highly Efficient Photovoltaic Polymers with 2D-Conjugated Structure. Macromolecules 2014, 47, 4653–4659. [Google Scholar] [CrossRef]
- Zhang, Z.G.; Li, Y.F. Side-chain engineering of high-efficiency conjugated polymer photovoltaic materials. Science China-Chemistry 2015, 58, 192–209. [Google Scholar] [CrossRef]
- Zhao, J.J.; Huang, X.L.; Li, Q.D.; Liu, S.J.; Fan, Z.Q.; Zhang, D.; Ma, S.S.; Cao, Z.X.; Jiao, X.C.; Cai, Y.P.; Huang, F. Shorter alkyl chain in thieno 3,4-c pyrrole-4,6-dione (TPD)-based large bandgap polymer donors - Yield efficient non-fullerene polymer solar cells. Journal of Energy Chemistry 2021, 53, 69–76. [Google Scholar] [CrossRef]
- Mamba, S.; Perry, D.S.; Tsige, M.; Pellicane, G. Toward the Rational Design of Organic Solar Photovoltaics: Application of Molecular Structure Methods to Donor Polymers. Journal of Physical Chemistry A 2021, 125, 10593–10603. [Google Scholar] [CrossRef]
- Frisch, G.W.T.M.J.; Schlegel, H.B.; Scuseria, G.E.; Robb, M.A.; Cheeseman, J.R.; Scalmani, G.; Barone, V.; Petersson, G.A.; Nakatsuji, H.; Li, X.; Caricato, M.; Marenich, A.V.; Bloino, J.; Janesko, B.G.; Gomperts, R.; Mennucci, B.; Hratchian, H.P.; Ortiz, J.V.; Izmaylov, A.F.; Sonnenberg, J.L.; Williams-Young, D.; Ding, F.; Lipparini, F.; Egidi, F.; Goings, J.; Peng, B.; Petrone, A.; Henderson, T.; Ranasinghe, D.; Zakrzewski, V.G.; Gao, J.; Rega, N.; Zheng, G.; Liang, W.; Hada, M.; Ehara, M.; Toyota, K.; Fukuda, R.; Hasegawa, J.; Ishida, M.; Nakajima, T.; Honda, Y.; Kitao, O.; Nakai, H.; Vreven, T.; Throssell, K.; Montgomery, J.A., Jr.; Peralta, J.E.; Ogliaro, F.; Bearpark, M.J.; Heyd, J.J.; Brothers, E.N.; Kudin, K.N.; Staroverov, V.N.; Keith, T.A.; Kobayashi, R.; Normand, J.; Raghavachari, K.; Rendell, A.P.; Burant, J.C.; Iyengar, S.S.; Tomasi, J.; Cossi, M.; Millam, J.M.; Klene, M.; Adamo, C.; Cammi, R.; Ochterski, J.W.; Martin, R.L.; Morokuma, K.; Farkas, O.; Foresman, J.B.; Fox, D.J. (Gaussian, Inc., Wallingford CT 2016).
- Liao, S.H.; Jhuo, H.J.; Cheng, Y.S.; Chen, S.A. Fullerene Derivative-Doped Zinc Oxide Nanofilm as the Cathode of Inverted Polymer Solar Cells with Low-Bandgap Polymer (PTB7-Th) for High Performance. Advanced Materials 2013, 25, 4766–4771. [Google Scholar] [CrossRef]
- Gierschner, J.; Cornil, J.; Egelhaaf, H.J. Optical bandgaps of pi-conjugated organic materials at the polymer limit: experiment and theory. Adv. Mater. 2007, 19, 173–191. [Google Scholar] [CrossRef]
- Ayoub, S.A.; Lagowski, J.B. Side chain effect on conjugated polymer/fullerene interfaces in organic solar cells: a DFT study. Physical Chemistry Chemical Physics 2019, 21, 23978–23995. [Google Scholar] [CrossRef]












![]() |
![]() |
![]() |
![]() |
![]() |
![]() |
Disclaimer/Publisher’s Note: The statements, opinions and data contained in all publications are solely those of the individual author(s) and contributor(s) and not of MDPI and/or the editor(s). MDPI and/or the editor(s) disclaim responsibility for any injury to people or property resulting from any ideas, methods, instructions or products referred to in the content. |
© 2023 by the authors. Licensee MDPI, Basel, Switzerland. This article is an open access article distributed under the terms and conditions of the Creative Commons Attribution (CC BY) license (http://creativecommons.org/licenses/by/4.0/).





