Preprint
Article

This version is not peer-reviewed.

Application of Drifted Pumice Stone as a Sand-Capping Material

A peer-reviewed article of this preprint also exists.

Submitted:

22 January 2023

Posted:

30 January 2023

You are already at the latest version

Abstract
Large amounts of pumice stone generated by the submarine volcanic eruption at Fukutoku Okanoba on August 13, 2021, drifted ashore, affecting ship navigation and fishery operations. Through laboratory experiments, we investigated the possibility of using pumice as a sand-capping material for eutrophic sediments. Crushed pumice as a sand cover material effectively reduced the sedimentary oxygen consumption rate. Nutrient release from sediment showed a similar trend, with ~25% and 82% reduction in NH4-N and PO4-P release rates, respectively. Furthermore, the bivalve exposure experiments using crushed pumice suspended in seawater showed no adverse effects specific to pumice and lower bivalve mortality than that using kaolin at the same concentration. This could be owing to differences in gill accumulation and blockage owing to the particle size variation of the suspended particles. These results suggest that crushed pumice is effective for sand covering and suppresses oxygen consumption and nutrient release from the sediments.
Keywords: 
;  ;  ;  

1. Introduction

A submarine volcanic eruption at Fukutoku Okanoba, Ogasawara Islands, Japan, occurred on August 13–15, 2021, producing a 300-km2 pumice raft, which was dispersed by ocean currents more than 1,000 km west of the volcano (Maeno et al., 2022). The pumice drifted into the sea at various locations on the Pacific side of Japan, affecting coastal infrastructures, ship navigation, and fishery operations (Maeno et al., 2022; Ohno et al., 2022). Moreover, the disposal of these enormous amounts of drifted pumice stone has become problematic.
Previous studies have investigated the formation of pumice by submarine volcanoes and their driftage (Honma, 1925; Kato, 1988; Nakano and Kawabe, 1992; Suwa, 1953) and showed that it happens every 10–20 years in the seas around Japan. Such large-scale formation and driftage of pumice rafts have also been reported in the Kermadec arc, New Zealand (Carey et al., 2018), South Sandwich Islands (Risso et al., 2002), and Home Reef Volcano, Tonga (Bryan et al., 2012). Considering that this will likely happen in the future, it is necessary to study effective ways to use pumice.
Pumice is a highly vesiculated glassy volcanic rock fragment with a vesicularity of 50–80% (Ohno et al., 2022). Although its properties vary depending on the various condition, such as melt viscosity, degree, and duration of pressure drop, during formation (Thomas et al., 1994), pumice is porous and has a low apparent specific gravity but generally settles in seawater when crushed to a diameter of 0.5 mm or less. However, it still has a lower specific gravity than the particles of seabed sediments; therefore, the risk of burrowing into the sediments is relatively low. These properties will allow its potential use as a sand-capping material. In addition, a high adsorption capacity can be expected owing to its porous nature, thereby allowing the suppression (adsorption) of the release of nutrients from the sediment. Thus, pumice stone is a promising material for sand capping. However, regarding the on-site application, it is necessary to consider that the resuspension of pumice may adversely affect surrounding organisms.
However, to the best of our knowledge, no previous research has studied the utility of pumice stone as a sand-covering material. Therefore, in this study, we examined pumice as a sand-capping material for eutrophic sediments as a potential effective application of pumice. Laboratory experiments were conducted using drifted pumice to reduce oxygen consumption and nutrient release from eutrophic sediments. In addition, phosphorus and nitrogen adsorption experiments were conducted to examine the usefulness of pumice as a sand-capping material. Finally, exposure experiments using bivalves were conducted to examine the effects of crushed pumice on living organisms. These studies will provide insight into the current problem of disposal and effective utilization methods for drifting pumice and help us consider how to deal with similar issues in the future.

2. Materials and Methods

2.1. Pumice Stone Crushing

Approximately 20 kg of pumice was collected from Yasuda Port (26°44.49’N, 128°19.12’E), located northeast of the main island of Okinawa, Japan. The collected pumice was transported to the laboratory and crushed using a crusher (20-KP-7919, Labonect Corporation, Osaka, Japan) at 30,000 rpm for 3 min, visually confirmed to have a particle size of 0.5 mm or less, and used in subsequent experiments.

2.2. Sedimentary Oxygen Demand Laboratory Experiment

An incubation experiment using sediment cores was conducted to assess the effect of using crushed pumice as a sand-capping material to suppress sediment oxygen consumption. Dredged muddy sediment collected from the navigation channel (depth: 16 m) of Osaka Port (34°29.56ʹN, 135°21.80ʹE) was used in the experiment. The sediment was organic silt, dark olive-gray in color, and had the pungent odor of rotten eggs characteristic of hydrogen sulfide.
Three cylindrical acrylic pipes (Item No.6-628, As One Corporation, Osaka, Japan) with an inner diameter of 10 cm and a height of 50 cm were packed with this sediment and overlying water such that the sediment height was approximately 28 cm (hereafter, CORE1, CORE2, and CORE3). They were stored at room temperature (22–24 °C) for 2 days and allowed to settle on the surface owing to consolidation. Subsequently, 49.07 g (wet weight) of the same sediment was collected and placed uniformly on the surface of CORE1 (0% pumice by weight). For CORE2, 23.03 g (wet weight) of crushed pumice and 26.97 g (wet weight) of sediment were well-mixed (46% pumice by weight) and placed uniformly on the surface. For CORE3, 49.38 g (wet weight) of crushed pumice was uniformly placed on the surface (100% pumice by weight).
Artificial seawater (Marine Art SF-1, Osaka Yakken, Osaka, Japan; equivalent to 35 psu) was gently injected on top of the material to avoid sediment suspension. Subsequently, the core was sealed with a silicon plug, ensuring that no air bubbles were left in the core, and placed in a water bath where the water temperature was maintained at 23 °C. The silicone plug was equipped with a fluoroplastic propeller (model no. FLSPI, PTFE straight blade, As One Corporation) and brushless motor (BMU230A-15-2, Oriental Motor Corporation, Tokyo, Japan), and a magnetic drive vacuum agitator (Model No. F-24/40, PTFE magnet type vacuum agitator, As One Corporation) was installed. Using these devices, the overlying water could be agitated at any rotation speed in sealed conditions without exposure to the outside air. As a result, the overlying water in the core could be sufficiently mixed, and the flow conditions in the core could be controlled (Inoue and Nakamura, 2009). In addition, the silicon plug was equipped with a dissolved oxygen (DO) meter probe (WA-2017SD, FUSO Inc., Tokyo, Japan) to continuously measure the DO concentration of the overlying water (Inoue and Hagino, 2022, Figure 1).
The propeller rotation speed was set to 20 rpm, and DO monitoring began after approximately half a day of acclimation. The cores were shaded with light curtains during the experiment to prevent light exposure. DO concentration in the overlying water was measured every 10 min.
The rate of DO consumption by sediments (sedimentary oxygen demand, SOD) was calculated from the rate of decrease in the DO concentration in the overlying water using the following equation:
S O D = V A d C D O d t
where V is the volume of overlying water in the core, A is the cross-sectional area of the sediment core, CDO is the DO concentration in the overlying water, and t is the elapsed time.

2.3. Sedimentary Nutrient Release Rate Laboratory Experiment

The sediment nutrient release experiment was conducted using the sediment cores (Section 2.2), and incubation was continued for 6 days after anoxic conditions were established. The experimental conditions, such as the water temperature and agitation speed, were the same as those described in Section 2.2.
Three water samples were collected during the experiment. First, the overlying water was sampled using a tube (4 mm, inner diameter; 6 mm, outer diameter; LMT-55, Saint-Gobain KK, Tokyo, Japan) with the inlet placed ~50 mm above the sediment surface (not exposed to the air, Figure 1), and the portion of sampled water was immediately filtered using a disposable filter (pore size 0.45 µm, Minisalt SM16555K, Sartorius Co., Göttingen, Germany). The filtered sample was poured into acid-washed polypropylene bottles and stored at −25 °C until further chemical analysis. The samples were analyzed using a continuous flow analyzer (QuAAtro 39, BeLtech Corporation, Osaka, Japan), with ammonium nitrogen (NH4-N) measured using the indophenol blue-colored continuous flow analysis (CFA) and phosphate (PO4-P) measured using the molybdenum blue CFA method (Hydes et al., 2010). The nutrient release rate (NRR) from the sediment was calculated from the rate of increase in nutrient concentration in the overlying water based on the following equation:
N R R = V A d C n u t d t
where Cnut is the NH4-N or PO4-P concentration in the overlying water.
After the nutrient release experiment was completed, a 1.0-cm thick surface sediment layer was collected for bottom-sediment analysis. This was placed in a 100-mL container and stored at −25 °C. The following were analyzed: ignition loss (600 °C ignition and gravimetric method), total organic carbon (after hydrochloric acid treatment, measured using CHN elemental analyzer (JMA1000HCN, J-Science, Hiroshima, Japan)), chemical oxygen demand (oxygen consumption by potassium permanganate), total sulfides (steam distillation-methylene blue method), total nitrogen (measured using CHN elemental analyzer), total phosphorus (nitric acid and sulfuric acid decomposition, molybdenum blue absorption spectrophotometry (SWAAT, BL TEC K.K., Tokyo, Japan)), total iron (nitric acid and sulfuric acid decomposition-flame atomic absorption method (atomic absorption spectrometer, Z-2000, Hitachi, Tokyo, Japan)), and total manganese (nitric acid and sulfuric acid decomposition-flame atomic absorption method). The analytical results are presented in Appendix 1.

2.4. Nutrient Adsorption

Three 1-L beakers were used, and NH4-N (ammoniacal nitrogen standard solution, NH4-N 1000, Kanto Chemical Co., Ltd., Tokyo, Japan) and PO4-P (phosphorus standard solution, PO4-P 1000, Kanto Chemical Co., Ltd.) was added to artificial seawater at a concentration of approximately 0.2 mg·L-1 each. Two beakers were filled with 30 g of crushed pumice stone, with one beaker used for nutrient concentration measurements and the other for water temperature, pH, and oxidation-reduction potential (ORP) measurements. The other beaker was used as a control without pumice and only for nutrient measurements.
The artificial seawater in the beaker was continuously stirred during the experiment, and the crushed pumice was kept in suspension throughout the experiment. From the beaker for nutrient concentration measurements, 20 mL of water was collected before and immediately, 1, 2, 5, 10, 20, and 30 min, and 1, 2, 3, and 6 h after the crushed pumice stone was added using a plastic syringe (Terumo Syringe 10 mL, Terumo, Tokyo, Japan). The sample was filtered (pore size: 0.45 µm, diameter: 30 mm; SupraPure Syringe Filter, PTFE-Hydrophilic, Recenttec, Tokyo, Japan), and the filtrate was collected in two 10-mL spitz tubes (Econospitz PS, 10 mL; Sanplatec Co., Osaka, Japan). The filtrate was stored, frozen, and analyzed using a continuous flow analyzer (QuAAtro 39, BLtech Corporation, Osaka, Japan) using the indophenol blue CFA method for NH4-N, naphthylethylenediamine CFA method for nitrite (NO2-N), naphthylethylenediamine CFA method after reduction with a copper-cadmium reduction column for nitrate (NO3-N), and molybdenum blue CFA method for PO4-P. Water temperature (digital thermometer, CT-410WR, Custom, Tokyo, Japan), pH (pH meter, HM-60S, DKK-TOA, Tokyo, Japan), and ORP (ion meter, IM-40S, DKK-TOA) were measured when water was collected from the beaker for nutrient measurement.
From the control beaker, 20 mL of water was collected, as described above, before and 1, 3, and 6 h after the start of the experiment, filtered through a syringe filter with a pore size of 0.45 µm, and collected in 10-mL spitz tubes. These were also frozen and stored, and NH4-N, NO2-N, NO3-N, and PO4-P levels were measured.

2.5. Exposure Experiment

Exposure experiments were conducted with crushed pumice in suspension to examine the effects of the resuspension of crushed pumice on bivalves. For comparison, bivalves were also exposed to kaolin in suspension. Before the experiment, healthy bivalves were carefully transported to the laboratory. All individuals were immediately checked for physical damage, and debilitated individuals were excluded. Furthermore, we excluded bivalves that could not open or close siphons or other soft parts of the body or shells before acclimation. Next, acclimation was conducted in several tanks, and the water was changed frequently. The bivalves were not fed to prevent them from excreting large amounts of feces and pseudofeces (urine) during acclimation. When selecting bivalves for the experiment, those from tanks where individuals had died during acclimation were excluded. Those with soft parts such as siphons and shells that were confirmed to be open and closed were selected for use.
Experiments were conducted in 1-L beakers filled with 1 L of artificial seawater. First, artificial seawater was prepared with five concentrations of each suspension (25, 100, 400, 1600, and 6400 mg·L-1). We also prepared a control beaker with no suspended material added (Table 1). A healthy bivalve (Ruditapes philippinarum) with an undamaged shell and confirmed healthy siphons was installed in each beaker. Before the installation, shell length, wet weight, and condition index of all individuals were measured, and the Kruskal–Wallis test was conducted to test for differences among experimental conditions. During the experimental period, the seawater was agitated with a stirrer to keep the suspension concentration of crushed pumice and kaolin constant and aerated. The bivalves were placed on a pedestal made of plastic mesh so they were not beaten by the rotating stirrer tip (Figure 2). Five beakers were prepared for each experimental condition.
Incubation was conducted at a water temperature of 20 °C for 168 h, and survival was checked twice daily. The water was changed once daily. During the experimental period, water temperature, pH, DO (oxygen meter, DO-21P, DKK-TOA), and turbidity were measured in all beakers twice daily. After water collection, absorbance was measured at a wavelength of 660 nm (DR-2800 spectrophotometer, HACH, CO, USA). For suspended solid (SS), NH4-N, NO2-N, NO3-N, and PO4-P analyses, water samples were collected from all beakers at the end of the experiment or when bivalves died. Two beakers were also prepared with two suspension concentrations (400 and 6400 mg·L-1) and without bivalves to examine changes in water quality due to the addition of suspended materials. On day 1, water samples were collected from two beakers for total nitrogen, total phosphorus, fluorine, NH4-N, NO2-N, NO3-N, and PO4-P concentration analyses and one beaker to analyze the particle size distribution of suspended materials.

3. Results

3.1. Oxygen Consumption Experiment

Visual inspection revealed no resuspension of sediment particles during the experiment. Figure 3 shows the temporal variations in the DO concentration in the overlying water during the oxygen consumption experiment. The differences in initial DO concentrations among CORE1 (0% pumice weight ratio), CORE2 (46% pumice weight ratio), and CORE3 (100% pumice weight ratio) were due to DO consumption during the half-day acclimation period.
Based on these results, the SOD calculated using Eq. (1) is shown in Figure 4. The SOD for CORE1 was 0.57 g·m-2·d-1, and that for CORE2 was 0.51 g·m-2·d-1, showing an 11% reduction compared with that of CORE1. Furthermore, the SOD of CORE3 was 0.22 g·m-2·d-1, exhibiting a 61% reduction compared with that of CORE1. This reduction in SOD was attributed to the reduction in the volumetric organic matter content in the surface layer by placing crushed pumice. These results confirmed that applying crushed pumice to eutrophic sediment surfaces effectively reduces SOD activity.

3.2. Nutrient Release Experiments

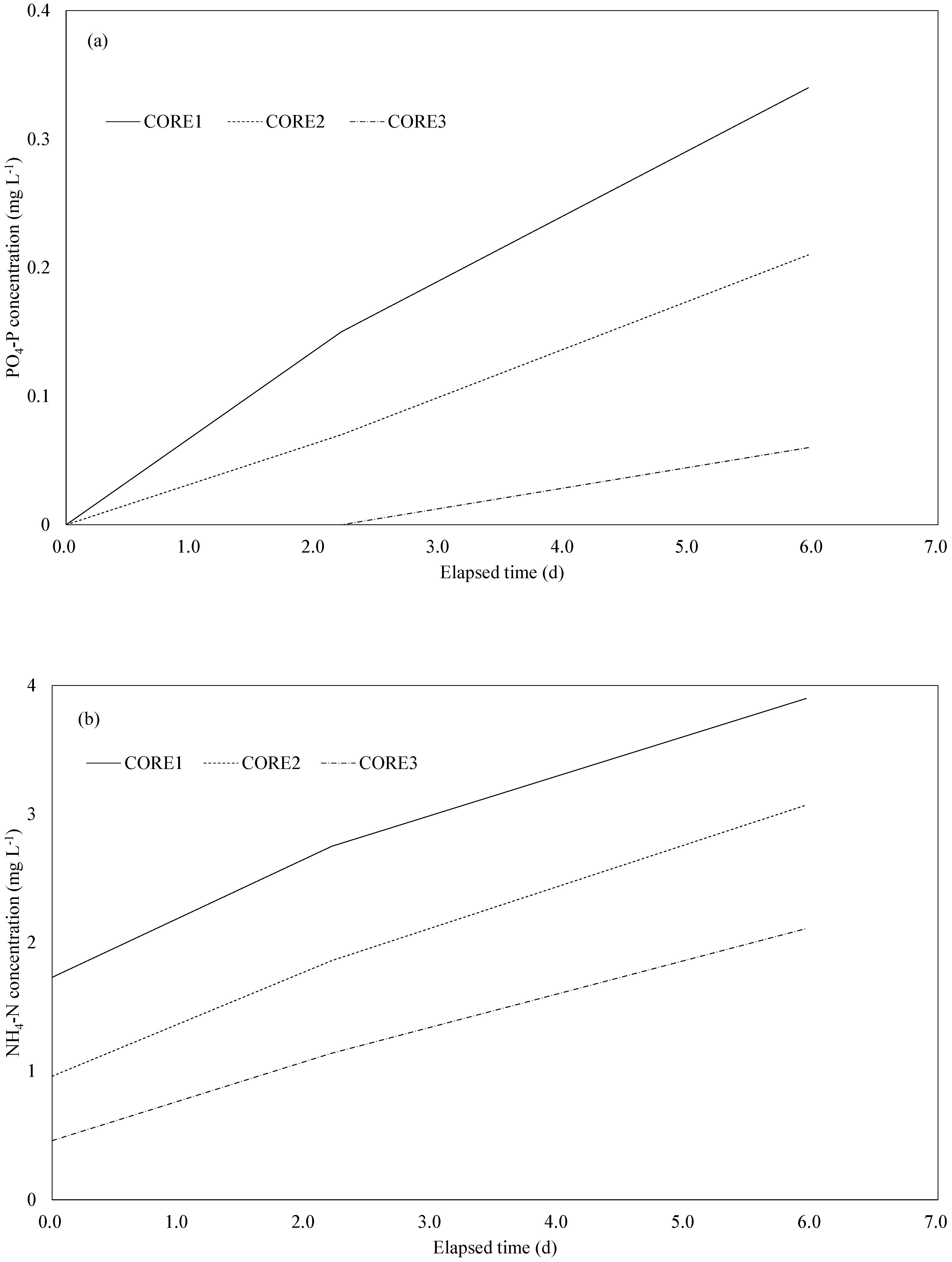
Figure 5 shows the temporal variations in nutrient concentrations in the overlying water during the nutrient release experiment. The PO4-P and NH4-N concentrations in the overlying weater monotonously increased as results of continuous release from the sediment. The differences in the initial NH4-N concentrations among CORE1, CORE2, and CORE3 were thought to be due to differences in their release rates during the experiment (Figure 5b).
From these results, the nutrient release rates calculated using Eq. (2) are shown in Figure 6. The PO4-P release rate for CORE1 was 11 mg·m-2·d-1, whereas that for CORE2 was 7 mg·m-2·d-1, showing a 36% reduction compared with that of CORE1 (Figure 6a). Furthermore, the PO4-P release rate for CORE3 was 2 mg·m-2·d-1, which was 82% lower than that of CORE1. This was thought to be due to an increase in PO4-P adsorption in the surface layer of the sediment by the placement of crushed pumice.
In contrast, the NH4-N release rate in CORE1 was 73 mg·m-2·d-1, and that for CORE2 was 71 mg·m-2·d-1, which was only 3% less than that of CORE1. Furthermore, the NH4-N release rate for CORE3 was 55 mg·m-2·d-1, exhibiting a 25% reduction compared with that of CORE1 (Figure 6b). This may be because the NH4-N content in the surface layer was reduced by placing crushed pumice on the sediment surface, but as discussed below, pumice has no NH4-N adsorption capacity; therefore, this effect was negligible.

3.3. Nutrient Adsorption Experiment

During the experiment, the water temperature remained within the range of 18.6 °C to 20.6 °C because the beakers were kept at room temperature. The pH was 8.2 before the crushed pumice stone was added but decreased slightly to 8.0 after 6 h. The ORP was 391 mV before the crushed pumice stone was added but increased slightly to 400 mV after 2 h and decreased to 391 mV 6 h after the addition. The water temperature, pH, and ORP fluctuated slightly but were not considered to have changed enough to affect nutrient adsorption and desorption. No fluctuations in the NH4-N and PO4-P concentrations in the control beaker were observed.
The concentration of NH4-N was 0.207 mg·L-1 before the pumice stone was added but increased to 0.228 mg·L-1 immediately after; moreover, it changed to 0.271 mg·L-1 1 min later but remained at approximately 0.26 mg·L-1 after that (Figure 7a). NO3-N concentration was 0.009 mg·L-1 before the pumice stone was added but increased to 0.011 mg·L-1 immediately after the pumice stone was added, increased to 0.012 mg·L-1 1 min later, and remained at approximately 0.012 mg·L-1 after that (Figure 7b). For these reasons, it was considered that what was contained in the pumice stone returned to artificial seawater. However, the amount was not significant, and the release of nitrogen was not considered a vital process. NO2-N concentration was below the detection limit throughout the experiment. The concentration of PO4-P was 0.196 mg·L-1 before pumice stone addition but reached 0.150 mg·L-1 immediately and then decreased consistently to 0.071 mg·L-1 after 6 h (Figure 7c). These results indicate that the crushed pumice stone shows an adsorption effect only on PO4-P.

3.4. Bivalve Exposure Experiment

The shell length of bivalves used in exposure experiments ranged from 38.45 to 41.24 mm (Table 2), with no significant difference among them (Kruskal–Wallis test, n = 5, p = 0.14). The wet weight of bivalves used in the exposure experiments ranged from 11.32 to 13.95 g. There were no significant differences among the groups (Kruskal–Wallis test, n = 5, p = 0.13) (Table 2). The condition index of bivalves used in the exposure experiments ranged from 30.44 to 33.80, and there was no significant difference between the groups (Kruskal–Wallis test, n = 5, p = 0.07). All individuals were healthy adults.

3.5. Exposure Experiments Using Crushed Pumice

The results of the incubation experiment showed that the survival rate remained 100% until day 7 (end of the experiment) at 25 and 100 mg·L-1 concentrations. At 400 and 1600 mg·L-1 concentrations, one individual died on day 2 of the experiment, and the survival rate on day 7 was 80%. At 6400 mg·L-1, one individual died on day 5 of the experiment, and the survival rate on day 7 was 80%. In contrast, in the control experiment, the survival rate remained at 100% until day 7 (Figure 8).
Water quality analysis showed little difference in water temperature (19.8–20.0 °C), pH (7.97–8.00), and DO (6.9–7.0 mg·L-1) in any of the experimental beakers compared with the control beaker containing the artificial seawater. In the systems where bivalves survived, NH4-N concentration ranged from 0.109 to 0.439 mg·L-1, NO2-N concentration ranged from 0.004 to 0.013 mg·L-1, NO3-N concentration ranged from the limit of quantification (0.005 mg·L-1) to 0.021 mg·L-1, and PO4-P concentration ranged from the limit of quantification (0.003 mg·L-1)to 0.016 mg·L-1. However, in the system in which the bivalves died, NH4-N and PO4-P concentrations increased to 2.29 and 0.142 mg·L-1, respectively. The fluorine concentration was 1.3 mg·L-1 at both 400 and 6400 mg·L-1, which was higher than the lower limit of quantification (0.1 mg·L-1). The particle size composition at 400 mg·L-1 ranged from 0.564 to 159 μm, with a median particle size of 25.2 μm.

3.6. Exposure Experiments with Kaolin

The results of the kaolin incubation experiment showed that one individual died on day 2 of incubation in the 25 mg·L-1 experiment. One died on day 4 of incubation in the 100 and 400 mg·L-1 experiments (Figure 9). At 1600 and 6400 mg·L-1, death was confirmed on days 1 and 7; therefore, these bivalves had a survival rate of 40% and 20%, respectively.
Water quality analysis showed little difference in water temperature (19.8–20.1 °C), pH (7.94–8.00), and DO (6.9–7.1 mg.L-1) in any of the experimental beakers compared with the control beaker containing the artificial seawater. In the systems where bivalves survived, NH4-N concentration ranged from 0.042 to 0.410 mg.L-1, and concentrations of NO2-N, NO3-N, and PO4-P ranged from the limits of quantification (0.001, 0.005, and 0.003 mg·L-1, respectively) to 0.013, 0.020, and 0.305 mg·L-1, respectively. However, in the system in which the bivalves died, NH4-N and PO4-P concentrations increased to 5.78 and 0.397 mg·L-1, respectively. In addition, fluorine concentration was elevated to 1.3 mg·L-1 at 400 and 6400 mg·L-1. Particle size composition ranged from 0.356 to 31.7 μm at 400 mg·L-1, with a median particle size of 5.83 μm.

4. Discussion

4.1. Pumice Adsorption Rate Coefficient

The mechanism of PO4-P adsorption by pumice is discussed using the following two models. First, the adsorption rate of PO4-P by pumice stone is assumed to be a linear function of the PO4-P concentration; here, we refer to it as the single-layer model, and it is expressed by the following equation:
V d C d t = k C C e q M
where V is the volume of the solvent used in the adsorption experiment (L), C is the PO4-P concentration (mg·L-1), t is the elapsed time (min), k is the adsorption rate constant (L·g-1·min-1), Ceq is the PO4-P concentration at equilibrium (mg·L-1), and M is the amount of pumice (g) used in the experiment. Considering Cini as the PO4-P concentration at the beginning of the experiment, the time series of the PO4-P concentration is expressed as follows:
C C e q = C i n i C e q exp k M V t
Figure 10 compares the results of the adsorption experiments with the values calculated using Eq. (4), assuming Ceq = 0.060 (mg·L-1) and k = 2.0 × 10-3 (L·g-1·min-1), which was estimated by the decreasing rate of PO4-P concentration at the beginning of the experiment. The results from the single-layer model did not reasonably reproduce the experiment, and the experimental results showed a slower but continuous decrease in the PO4-P concentration.
Froelich (1988) interpreted adsorption kinetics as a two-step interaction. The first stage was the fast adsorption of PO4-P on the surface of the outer adsorbent, and the second stage was the slow diffusion of the adsorbed PO4-P into the inner adsorbent. As a second consideration, the adsorption phase is assumed to be composed of two layers, each of which conducts mass transfer between adjacent layers. The mass transfer in each layer is assumed to follow the given equations (hereinafter referred to as the double-layer model):
V d C d t = k 0 C C 1                               Solvent   layer
1 d C 1 d t = k 0 C C 1 k 1 C 1 C 2                                     First   layer
2 d C 2 d t = k 1 C 1 C 2                                         Second   layer
where k0 and k1 are the adsorption rate constants from the solvent layer to the first layer and from the first layer to the second layer, respectively (L·min-1); C1 and C2 are the PO4-P concentrations in the first and second layers, respectively (mg·L-1); and v1 and v2 are the relative and virtual PO4-P adsorption capacities in the first and second layers relative to the solvent layer, respectively (L).
Here, the sum of the squared deviations of the PO4-P concentration C in the solvent obtained from the experiment and model calculations is used as the evaluation function. The following values are obtained as parameters to minimize it: k0 = 2.22 × 10-2 (L·min-1), k1 = 2.66 × 10-3 (L·min-1), v = 1.00 (L), v1 = 2.53 × 10-1 (L), and v2 = 1.25 (L), as shown by the solid lines in Figure 10. Compared with that using the single-layer model, the double-layer model showed a significant improvement in the reproducibility of the experimental results. In the case of PO4-P adsorption by pumice, the adsorption reaction may have proceeded via a combination of two-step adsorption and diffusion processes, suggesting that this phenomenon is unique to porous media.
In the present case, the ratio of v1 to v2 was approximately 17:83, indicating that fast adsorption occurred on 17% of the pumice and that slow adsorption occurred on the remaining 83%, providing insight into the hypothetical internal structure of pumice adsorption. Moreover, these findings are essential for practical use because they are related to the time constants of adsorption kinetics.

4.2. Using Pumice Stone as a Sand-Capping Material

High-quality sand has been considered a material for controlling DO consumption and nutrient release from organic sediments. These materials have a higher density than organic sediments, making it challenging to cover the organic sediment surface with sand. However, the pumice stone studied here has a low density. Therefore, it is assumed that it would be easier to cover the sediment surface with pumice stone than with other capping materials during on-site construction. In the laboratory experiment, the crushed pumice was not buried in the organic sediment, and it was easy to cover the sediment surface.

4.3. Gill Fouling Conditions

Kaolin particles were one order of magnitude smaller than crushed pumice particles, and the survival rate of bivalves under suspended kaolin conditions was lower than that using crushed pumice (Figure 8 and Figure 9). After the experiment, the shells were peeled, and the soft body parts were observed. Visual inspection revealed that the status of gill fouling was different between surviving and dying individuals. This suggests that the death of bivalves was induced not by the chemical properties of crushed pumice and kaolin but by physical properties such as SS concentration and particle size. Based on these results, it is expected that a high concentration of SS, especially when the suspended particles are small, is likely to have adverse effects on benthic organisms, such as adhesion of suspended particles to gills.
Sagara (1981) stated that “when the concentration of suspended sediment is 0.5%, no abnormalities appear after 2–3 months of exposure.” This is the SS almost equivalent to the highest concentration (6400 mg·L-1) in our experiment. However, the particle size of the “suspended soil” used in his experiment may have been larger than that of the particles used in our study. Chiba and Oshima (1957) also determined filtration rates for bivalves and mussels using bentonite (particle size range 2–30 μm) at concentrations of up to 1000 mg·L-1. However, mortality, particularly SS-level mortality, remained unexplored in previous investigations. According to Kishioka (2015), the addition of kaolin promotes the growth of bivalves, at least in the initial period of bottoming. Thus, there are still many unanswered questions regarding the effects of suspended particles, which highlights the need for further experimental research.

4.4. Effects of Ammonia on Bivalve Exposure Experiments

In the exposure experiments, a control experiment was set up to study the effects of ammonia as a trigger for bivalve mortality. Through management, the experimental beakers with crushed pumice stones maintained levels of NH4-N below the aquaculture water standard (0.89 mg·L-1; pH = 8.0; water temperature, 20 °C; and salinity, 30 psu), and little NO2-N and NO3-N were detected. Therefore, we concluded that NH4-N was not a trigger for bivalve mortality during the experiment, even when bivalves died in the presence of the suspension. Although 1.3 mg·L-1 fluorine was detected, its adverse effects were considered negligible.

5. Conclusion

In August 2021, a submarine volcano erupted at Fukutoku Okanoba on the Ogasawara Islands, which generated enormous amounts of pumice. Considering that the erupted pumice drifts ashore, affecting ship navigation and fishery operations, and its disposal is challenging, we examined pumice for use as a sand-capping material in this study. It was shown that pumice could be effectively used as a sand-capping material by reducing its particle size and allowing it to sink to the seafloor. The chemical properties of the pumice used in this study were considered to have no adverse effects on organisms. However, given that some pumice stones are strongly acidic, further individual studies on their chemical properties are required for their efficient application. Moreover, abnormal suspension concentrations exceeding 1000 mg·L-1 may cause gill contamination of benthic organisms; therefore, caution should be exercised when introducing pumice into the field. Furthermore, drifting pumice stone to the sea surface may cause limited light penetration into the sea, which may affect phytoplankton photosynthesis. Additionally, our study results indicated that pumice would affect benthic organisms by its settlement and deposition on the seafloor as fine particles owing to long-term retention at the sea surface. Therefore, the results of this study represent an important finding for the formulation of countermeasures against drifting pumice.

Author statement

Tetsunori Inoue: Conceptualization, Methodology, Investigation, Data curation, Writing- Original draft preparation, Writing- Reviewing and Editing, Visualization, Investigation, Supervision, Project administration. Isamu Fujita: Software, Visualization, Investigation, Validation.

Data Statemen

All data in this manuscript have been uploaded to “Inoue, Tetsunori (2023), Laboratory experiments using crushed pumice, Mendeley Data, V1, doi: 10.17632/6xwtyt72tw.1.”

Competing interest statement

The authors declare that they have no competing interests.

Funding

This research did not receive any specific grant from funding agencies in the public, commercial, or not-for-profit sectors.

Acknowledgments

The authors are grateful to Dr. Yuki Hagino, Dr. Tsuyoshi Takafushi, and the staff of the Ministry of Land, Infrastructure, Transport, and Tourism, Japan, for their technical help.

References

  1. Bryan, S. E., Cook, A. G., Evans, J. P., Hebden, K., Hurrey, L., Colls, P., Jell, J. S., Weatherley, D., and Firn, J. (2012) Rapid, long-distance dispersal by pumice rafting. PloS One, 7(7), e40583. [CrossRef]
  2. Carey, R., Soule, S. A., Manga, M., White, J. D. L., McPhie, J., Wysoczanski, R., Jutzeler, M., Tani, K., Yoerger, D., Fornari, D., Fabio Caratori-Tontini, Houghton, B., Mitchell, S., Ikegami, F., Conway, C., Murch, A., Fauria, K., Jones, M., Cahalan, R., and McKenzie, W. (2018) The largest deep-ocean silicic volcanic eruption of the past century. Science Advances, 4(1), e1701121. [CrossRef]
  3. Chiba, K. and Oshima, Y. (1957) Effect of turbidity on water filtration and feeding of marine bivalves, mainly bivalves. Journal of the Japanese Society of Fisheries Science, 23 (7-8), 348-353.
  4. Honma, F. (1925) A geological account of Iriomote Island, Ryukyu Archipelago. Earth, 4(4), 290-309.
  5. Hydes D, Aoyama M, Aminot Alain, Bakker K, Becker S, Coverly S, Daniel Anne, Dickson A, Grosso O, Kerouel Roger, Van Ooijen J, Sato K, Tanhua T, Woodward M, Zhang J (2010). Determination of dissolved nutrients (N, P, Si) in seawater with high precision and inter-comparability using gas-segmented continuous flow analyzers. In The GO-SHIP Repeat Hydrography Manual: A Collection of Expert Reports and guidelines. IOCCP Report No 14, ICPO Publication Series No. 134, version 1, 2010 (UNESCO/IOC). https://archimer.ifremer.fr/doc/00020/13141/.
  6. Inoue, T. and Nakamura, Y. (2009) Effects of hydrodynamic conditions on sediment oxygen demand: Experimental study based on three methods. Journal of Environmental Engineering, 135(11), 1161–1170. [CrossRef]
  7. Inoue, T., and Hagino, Y. (2022) Effects of three iron material treatments on hydrogen sulfide release from anoxic sediments. Water Science and Technology, 85(1), 305–318. [CrossRef]
  8. Kato, Y. (1988) Gray pumice drifted to the Ryukyu Islands from the site of Fukutokuoka. Volcanoes. Volcanoes. v.2, 33(1), 21-30.
  9. Kishioka, M. (2015) Growth-promoting effect of kaolin in the benthic juveniles of the bivalve, Plecoglossus altivelis altivelis. Bulletin of Yamaguchi Prefectural Fisheries Research Center, 12, 25-28.
  10. Maeno, F., Kaneko, T., Ichihara, M., Suzuki, Y., Yasuda, A., Nishida, K., and Ohminato, T. (2022) First timeseries record of a large-scale silicic shallow-sea phreatomagmatic eruption. Research Square. [CrossRef]
  11. Nakano, T., and Kawabe, T. (1992) Pumice from Iriomote Island, Ryukyu Islands, 1991. Volcanoes, 37(2), 95-98.
  12. Ohno, Y., Iguchi, A., Ijima, M., Yasumoto, K., and Suzuki, A. (2022) Coastal ecological impacts from pumice rafts. Scientific Reports, 12, 11187. [CrossRef]
  13. Risso, C., Scasso, R. A., & Aparicio, A. (2002). Presence of large pumice blocks on Tierra del Fuego and South Shetland Islands shorelines, from 1962 South Sandwich Islands eruption. Marine Geology, 186(3–4), 413–422. [CrossRef]
  14. Sagara, J. (1981) Physiological ecology of the bivalve, Asari bivalve. Oceanography and Biology, 13, 102-105.
  15. Suwa, A. (1953) Submarine eruption of Myojin Reef. Chigaku Zasshi, 62(3), 100-110. [CrossRef]
  16. Thomas, N., Jaupart, C., & Vergniolle, S. (1994). On the vesicularity of pumice. Journal of Geophysical Research: Solid Earth, 99(B8), 15633–15644. [CrossRef]
Figure 1. Schematic diagram of the dissolved oxygen consumption and nutrient release experiments.
Figure 1. Schematic diagram of the dissolved oxygen consumption and nutrient release experiments.
Preprints 67726 g001
Figure 2. Exposure experiment setup with a healthy bivalve resting on a plastic mesh in the beaker.
Figure 2. Exposure experiment setup with a healthy bivalve resting on a plastic mesh in the beaker.
Preprints 67726 g002
Figure 3. Temporal variations in the dissolved oxygen concentration in the overlying water.
Figure 3. Temporal variations in the dissolved oxygen concentration in the overlying water.
Preprints 67726 g003
Figure 4. Calculated sedimentary oxygen demand in oxygen consumption experiment.
Figure 4. Calculated sedimentary oxygen demand in oxygen consumption experiment.
Preprints 67726 g004
Figure 5. Temporal variations in nutrient concentrations in the overlying water. (a) PO4-P. (b) NH4-N.
Figure 5. Temporal variations in nutrient concentrations in the overlying water. (a) PO4-P. (b) NH4-N.
Preprints 67726 g005
Figure 6. Calculated nutrient release rate. (a) PO4-P. (b) NH4-N.
Figure 6. Calculated nutrient release rate. (a) PO4-P. (b) NH4-N.
Preprints 67726 g006
Figure 7. Temporal variation in nutrient concentration during nutrient adsorption experiments. (a) NH4-N. (b) NO3-N. (c) PO4-P.
Figure 7. Temporal variation in nutrient concentration during nutrient adsorption experiments. (a) NH4-N. (b) NO3-N. (c) PO4-P.
Preprints 67726 g007aPreprints 67726 g007b
Figure 8. Survival rate of bivalves in the exposure experiment. In all experiments, n = 5.
Figure 8. Survival rate of bivalves in the exposure experiment. In all experiments, n = 5.
Preprints 67726 g008
Figure 9. Survival rate of bivalves in the exposure experiment using kaolin.
Figure 9. Survival rate of bivalves in the exposure experiment using kaolin.
Preprints 67726 g009
Figure 10. Comparison of results of PO4-P adsorption experiments with predictions based on Eq. (4) and Eqs. (5)-(7).
Figure 10. Comparison of results of PO4-P adsorption experiments with predictions based on Eq. (4) and Eqs. (5)-(7).
Preprints 67726 g010
Table 1. List of experimental conditions in the exposure experiment.
Table 1. List of experimental conditions in the exposure experiment.
Suspended material Number of bivalves Suspension concentration (mg·L-1) Number of beakers prepared
Crushed pumice 1 25 5
1 100 5
1 400 5
1 1600 5
1 6400 5
0 400 2
0 6400 2
Kaolin 1 25 5
1 100 5
1 400 5
1 1600 5
1 6400 5
0 400 2
0 6400 2
Control 1 0 5
Table 2. Average shell length, wet weight, and condition index of bivalves used in the exposure experiment.
Table 2. Average shell length, wet weight, and condition index of bivalves used in the exposure experiment.
Suspended material Suspension concentration (mg·L-1) Average shell length (mm) Average wet weight (g) Condition index
Crushed pumice 25 41.24a 13.95a 32.32a
100 39.69a 13.00a 33.33a
400 39.28a 12.11a 30.94a
1600 39.20a 12.18a 31.73a
6400 39.98a 11.81a 30.44a
Kaolin 25 39.60a 11.97a 33.56a
100 39.00a 11.85a 33.22a
400 39.60a 11.97a 33.76a
1600 39.67a 13.01a 33.80a
6400 38.45a 11.32a 33.49a
Control 0 39.15a 12.21a 32.51a
a Values in each column with different letters are significantly different (p < 0.05).
Disclaimer/Publisher’s Note: The statements, opinions and data contained in all publications are solely those of the individual author(s) and contributor(s) and not of MDPI and/or the editor(s). MDPI and/or the editor(s) disclaim responsibility for any injury to people or property resulting from any ideas, methods, instructions or products referred to in the content.
Copyright: This open access article is published under a Creative Commons CC BY 4.0 license, which permit the free download, distribution, and reuse, provided that the author and preprint are cited in any reuse.
Prerpints.org logo

Preprints.org is a free preprint server supported by MDPI in Basel, Switzerland.

Subscribe

Disclaimer

Terms of Use

Privacy Policy

Privacy Settings

© 2026 MDPI (Basel, Switzerland) unless otherwise stated