Submitted:
23 January 2023
Posted:
24 January 2023
Read the latest preprint version here
Abstract
Keywords:
1. Introduction
2. Meta-Problems
2.1. What is “Information”
2.2. Some the “Logos” Set Elements as Fundamental Physical Problems
2.2.1. What is Logos Quantity “Energy”
- to change [including to create] some informational pattern/system it is necessary to spend some non-zero portion of “Energy”. However, that is not enough if the portion is finite; and so, besides,
- really at any change the changing state on some level/scale is uncertain – “illogical”.
2.2.2. Why in Matter Quantum Effects Exist At All
2.2.3. Why does the QM postulate exist that all given type particles are identical, and why is it adequate to the reality
2.2.4. What is Physical Parameter “Energy”
2.2.5. What is “Inertia”
2.2.6. What are “Space” and “Time”
- –
- “Space” is necessary for any information could exist at all, and
- –
- “Time”, additionally to Space, is necessary for some informational pattern/system could be dynamic, i.e. could change.
“…Absolute, true and mathematical time, of itself, and from its own nature flows equably without regard to anything external, and by another name is called duration ….”
- –
- at that for Newton, correspondingly, clocks show the time flow independently on time and only because of they also tick equally equably,
- –
- and this definition, however with the two relativistic modifications, remains in physics till now. According to special relativity postulates time
- not only always flows equably, this flow depends on motion, and, whereas in stationary inertial reference frame time flows in accordance with Newton’s definition, in moving frames its flow becomes be “dilated”, and (ii) – time governs material bodies, including clocks, and so “time is what clocks read”, and clocks show in stationary frames “Newton’s” flow, and in moving frames – the dilated flow. Besides this time flow is observed in physics as an “arrow of time” [19].
2.3. What are “Matter” and "Consciousness”
- –
- materialists truly believe in some transcendent “Matter”, which for some transcendent reasons, and by some transcendent way, exists eternally; and is, as that follows from the observations, again for some for some transcendent reasons, and by some transcendent way, some evidently well logically organized system;
- –
- idealists truly believe in some transcendent “Idea” (“Spirit”, “Consciousness”, etc.) which for some transcendent reasons, and by some transcendent way, exists eternally; though in this doctrinethe fact that everything looks as evidently logically organized system follows from that is result of action of “conscious” “Idea”, etc., - though it is evidently in this case necessary to define – what is “conscious”, what is again fundamentally impossible in the both doctrines;and so the transcendence of Idealism really isn’t much lesser than of Materialism
2.4. What is “Life”
3. General Fundamental Problems
3.1. What is Matter’s logical base
- –
- in accordance with the outstanding von Weizsäcker’s 1953-54 year “Ur-hypothesis” [20,21] that if Matter is based on fundamental depth on a binary logics, then the space should be 3D, and Matter’s spacetime indeed has 3 space dimensions. That was, on one hand, the outstanding hypothesis that explains why Matter’s space is 3D, and, on the other hand, the fact that the space is indeed 3D is the mighty evidence for that the hypothesis can be correct, and
- –
- in accordance with the outstanding Fredkin-Toffli’s finding [22], who showed that if some patterns in a system are based on a reversible logic, the system changes at interactions in it without energy dissipation outside the system. In this case Matter would dissipate energy somewhere in the Set; thus seems thrifty Matter’s Creator used this fact; so Matter is based on a reversible logic, and so in Matter the energy conservation law acts.
3.2. Is Matter’s Spacetime Absolute or Not
“… Again, it would be necessary to have an ether in order that so-called absolute movements should not be their displacements with respect to empty space, but with respect to something concrete. Will this ever be accomplished? I don’t think so and I shall explain why; and yet, it is not absurd, for others have entertained this view… I think that such a hope is illusory; it was none the less interesting to show that a success of this kind would, in certain sense, open to us a new world…”
3.3. An “Ether” May or Not Exist in Matter
3.4. What is “A Particle”
- particles are some cyclic disturbances of the FLE lattice, which appear when a 4D momentum impacts on an ether FLE, which, after the impact, “flips” further causing sequential flipping of neighbor FLEs.

- ii.
- The always moving particles are, thus, some “gyroscopes” which are always oriented relating to their motion direction, and
- iii.
- Note also, that it follows from the experimental data that there are two main types of particles in Matter, depending on the parental 4D momentums. In the model that are “S-particles”, created by spatial momentums, and “T-particles”, created by momentums that were directed in the “coordinate time”, i.e. along the cτ-axis.
4. Few Notes Relating to Other Fundamental Problems
4.1. Problems That are Considered in Detail in [5a]
4.2. What are Antiparticles
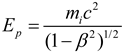
“….In Newton mechanics kinematical energy W is always positive. But in Einstein theory. W is defined by more complex equation, namely
4.3. What is the “Feynman–Stueckelberg Interpretation”
5. Cosmology
5.1. The “Beginning Problem”
“…. As the Big Bang theory goes, somewhere around 13.8 billion years ago the universe exploded into being, as an infinitely small, compact fireball of matter that cooled as it expanded, triggering reactions that cooked up the first stars and galaxies, and all the forms of matter that we see (and are) today.….”
“…more explosive phase of the early universe at play: cosmic inflation, which lasted less than a trillionth of a second. During this period, matter — a cold, homogeneous goop — inflated exponentially quickly before processes of the Big Bang took over to more slowly expand and diversify the infant universe. …”
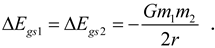
5.2. Why Matter now Practically Does Not Contain Antimatter
5.3. What is the “Dark Matter”
5.4. What is the “Dark Energy”
6. Mediation of the fundamental forces in complex systems
6.1. Fundamental Nature Forces and Charges
6.2. Gravity Force
6.2.1. Initial model of Gravity Force, statics
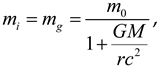
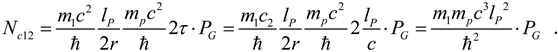
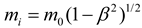
- -the frequency at which a particle’s algorithm runs if particle is at absolute rest (in statics), is ω = E/ћ = m0c2/ћ, where m0 is the inertial rest mass, c is the speed of light, ћ is the Planck’s elementary physical action;
- -in the model every particle’s algorithm has only one fixed gravitationally marked FLE2, (which, rather probably, is the “start FLE” in a particle algorithm) and so the gravitational charge is proportional to the same algorithm’s frequency ω, as the corresponding particle’s energyabove;
- at every algorithmcycle, the G-marked FLE of a particle initiates in the 3D space radial propagating of 2D rim “circular graviton” of flipping the FLE-lattice FLEs, which are G-marked also, and at hitting inflipping G-marked FLE of other particle, that transmits to this particle the momentum
, r is the radius-vector from the radiating to the impacted particle.
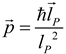
- at every “tick” of a particle’s algorithm a “rim” (“circular graviton”, further “graviton”) of FLEs flips starts to expand in the space with radial speed that is equal to the speed of light, c, so the rim’s area is equal 2πrlP,see Figure 2,

- ii.
- the time intervals of the “radiating” particle’s G-marked FLE’s, of the graviton’s FLE and other particle’s G-marked FLE, flips are the same and are equal to Planck time; and
- iii.
- at the interaction of a graviton and a particle’s flipping G-marked FLE, the particle is gravitationally impacted.

is the flow [s-1] of gravitons through the particle’s G-marked FLE;
is the particle’s G-marked FLE’s flip rate (is equal to the particle’s algorithm tick rate/ frequency ω).
, from Equation (5) obtain, that if the probability PG = 1 the coincidence rate in the particle is equal
, i.e. the force that acts to the masses, absolute value ofwhich so is equal
; though with practically 100% QM uncertainty of the distance.
times, what is two times lesser then that is predicted in the general relativity theory.
, where g is the free fallacceleration.In the GR the clocks’ rates difference is two times more [45]:
.- –
- it is necessary to synchronize two clocks, let on the ground floor;
- –
- to lift slowly or with known speed one clock on a height 400-500 m;
- –
- to wait a few hours;
- –
- to return the upper clock to the other on the ground floor and to compare the clocks’ elapsed time showings.
6.2.2. Quantum Gravity
6.2.3. Initial model of Gravity Force, Stationary Field, Free Fall
. Further this “point” transforms into the rim of flipping ether FLEs, where the “precessing momentum in g-dimension” angle decreases so that
in the 6D spacetime, which are orthogonal inall 3D space directions to the rim’s circle, i.e. propagate in the 3D space along strait lines relatively to the starting point, and sohave zero energy (i.e. the circular gravitons aren’t particles, see section 3.4). However, if such flipping ether FLE hits the irradiated particle’s flippingG-marked FLE, the particle’s FLE obtains the momentum above, at that its “kinematical” precession angle decreases, so the particle’s algorithm becomes be longer and so runs slower, i.e. the inertial mass of the particle in the Gravity field decreases – what is observed as the gravitational mass defect, which is in statics also inertial mass defect. By another word the irradiated particle in a Gravity field – which is the flow of circular gravitons ‒ moves in the field like a human swims in water, spending for that his own energy.
,
, V is the 3D the particle’s speed; and if, as that is suggested here, Ediss is negligible, at least in first approximationsowe have
units” of the radius r,
.
6.2.4. The Case of Small r
(21)
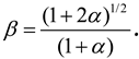
, i.e. rather macro lengths (that is essentially a joke, of course, though, nobody now knows what happens if a < 1). For α well more 1, e.g.,more 5 – in the neutron stars, this effect isn’t too essential, and particles remain be ordinary ones, including rather probablyprotons indeed transform into neutrons, etc.6.3. Initial model of Electric Force, Statics
.
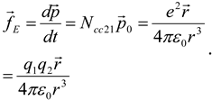
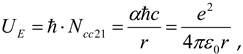
.6.4. Strengths of Gravity and Electric Forces
6.5. A Few Notes Else to The Initial Electric Force Model
6.5.1. The Problem of Multiple Events at Interactions of Circular Photons in Irradiated Particle
the average rate of the events 2n1τ in Eq.(21) is ~1, the binding energy and gravitational massdefect of a body that has asmall mass, m, become be equal to the energy mc2, i.e. the body “disappears”; what looks as rather strange. Really the energyabove remains, and so energy of the system (M+m), if the system is closed, remains to be (M+m)c2, but gravitational mass is lesser.
; the flow density of circular photons that are radiated by every elementary charge is
.
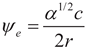
) on 1m radiusis caused by radiating electric charge (~3.5x1014 elementary charges) flow n1e when, since in this case the average rate of hits in the E-marked FLEs’ set in electron’s algorithm is in Eq.(21) version, 2n1eΔt, where
, i.e. 2n1eτ is lesser than 2n1gτ in ~ 2x1021 times, so at Electric Force interactions the multiplicity problem above, which is critical in the Gravity Force case, appears only in much more exotic cases - on Planck energy scale. What seems never happens in Matter at all, and classical electrodynamics is applicable without “multiplicity” limitations always.6.5.2. Electric Force of charges at motion

is directed along the 4D particle’s motion direction, it rotates (say, if particle moves with a speed V along X-axis) in (X, cτ) plane (more see [4]); if particles compose a rigid body, they rotate whole body in the plane aboveon the angle when the body’s 3D spatial projection is contracted in reverse Lorentz factor comparing with the “3D rest length”, and, besides, the front body’s end becomes be “younger” in the cτ-dimension (which in physics and everyday practice is “time dimension”) than the back end in the Voigt-Lorentz decrement
, V and Lare the particle’s 3D speed and length.This is the physical sense of Lorentz transformation; including the letters “x”, “y”, “z”, and “cτ” (in standard form “ct”) in the transformations really relate only to Matter’s spacetime points that are occupied by the rigid body at given time moment, and fundamentally don’t relate to all/every points in the whole spacetime, as that illusory postulated in SRT, see Figure 5.
6.6. The Section 6 Summary
- –
- as well as in QED, where for/by the equally as the above mystic reasons and ways the charges constantly billions of years radiate flows of “virtual photons”, which also transmit to other charges some energy, etc.,
- –
- becomes to be clarified – there is no these fields’ energy flows, correspondingly there is no any energy densities, no some “electromagnetic masses”, no having energy “virtual photons” flows etc.
in the Lagrangian
. So the “effective” potential energy is
, M is the mass’s m angular momentum, and so a test body’s energy remains be limited, while the body moves in a “potential wall” on an orbit around large mass, being inside some borders in 3D space; or, if the test mass energy is large enough, the motion in space is infinite.7. Conclusions
- –
- –
- though not really fundamental, but important, simple and cheap, experiment in a high building, which, rather probably, will show that the GR postulate that photons at motion do not change their energy in gravitational fields between points that have different potentials, is wrong while this model is correct;
- –
- should be made as soon as possible.
Appendix A
References
- Shevchenko, S.V.; Tokarevsky, V.V.The Information and the Matter.e-print arXiv: physics/0703043v5, 2007-2008.
- Shevchenko, S.V.; Tokarevsky, V.V.Inform Physics do is possible?Poster report on the conference XIXèmes Rencontres de Blois Matter and Energy in the Universe. Blois, Loire Valley, France May 20th – May 26th, 2007 http://confs.obspm.fr/Blois2007/AllAbstracts.html.
- Shevchenko, S.V.; Tokarevsky, V.V.The information as Absolute. e-printsarXiv:1004.3712v2 ,http://viXra.org/abs/1402.0173, https://www.researchgate.net/publication/260930711_the_Information_as_Absolute http://dx.doi.org/10.5281/zenodo.268904, 2010-2017. 3a. Shevchenko, S.V.; Tokarevsky, V.V.“The Information as Absolute" - 2022 ed. e-print https://hal.archives-ouvertes.fr/hal-03812066, 2022.
- Shevchenko, S.V.; Tokarevsky, V.V.The informational physics indeed can help to understand Nature? e-print http://arxiv.org/abs/0812.2819, 2008 – 2010.
- Shevchenko, S.V.; Tokarevsky, V.V.The Informational Conception and Basic Physics. v1-v4 e-printsarXiv:0707.4657v4,http://viXra.org/abs/1503.0077, https://www.researchgate.net/publication/273777630_The_Informational_Conception_and_Basic_Physics http://dx.doi.org/10.5281/zenodo.16494, 2012-2015. 5a. Shevchenko, S.V.; Tokarevsky, V.V.The Informational Conception and Basic Physics. e-print arXiv:0707.4657v5, 2021.
- Shevchenko, S.V.; Tokarevsky, V.V.The informational model - possible tests. e-print http://arxiv.org/abs/0706.3979, 2011.
- Shevchenko, S.V.; Tokarevsky, V.V.Space and Time. e-print http://arxiv.org/abs/1110.0003, 2013.
- Shevchenko, S.V.; Tokarevsky, V.V.To measure the absolute speed is possible? e-print https://www.researchgate.net/publication/259463954_To_measure_the_absolute_speed_is_possible http://dx.doi.org/10.5281/zenodo.34960, 2013.
- Shevchenko, S.V.; Tokarevsky, V.V.Measurement of the absolute speed is possible?. e-print,http://dx.doi.org/10.5281/zenodo.48709, 2016.
- Shevchenko, S.V.; Tokarevsky, V.V.The informational model – gravity. e-print http://vixra.org/abs/1409.0031 http://dx.doi.org/10.13140/2.1.4332.9925, 2016.
- Shevchenko, S.V.; Tokarevsky, V.V.The notion “speed” and the Lorentz transformations. e-print https://www.researchgate.net/publication/317067896_The_notion_speed_and_the_Lorentz_transformations http://dx.doi.org/10.5281/zenodo.802365, 2017.
- Shevchenko, S.V.; Tokarevsky, V.V.About some conventions in mechanics.e-print https://www.researchgate.net/publication/317620440_About_some_conventions_in_mechanics, http://vixra.org/abs/1712.0673 http://dx.doi.org/10.5281/zenodo.1142628, 2017.
- Shevchenko, S.V.; Tokarevsky, V.V. The informational model: twin paradox.e-print https://www.researchgate.net/publication/322798185_The_informational_model_twin_paradox http://dx.doi.org/10.13140/RG.2.2.34064.51201/1, 2018.
- Shevchenko, S.V.; Tokarevsky, V.V.The “Information as Absolute” conception: the consciousness. e-print https://www.researchgate.net/publication/329539892_The_Information_as_Absolute_conception_the_consciousness DOI: http://dx.doi.org/10.13140/RG.2.2.26091.18720/1, 2018.
- Shevchenko, S.V.; Tokarevsky, V.V.The Information as Absolute” conception: Marxism and “now”.e-print https://www.researchgate.net/publication/321757886_The_Information_as_Absolute_conception_Marxism_and_now,DOI: http://dx.doi.org/10.5281/zenodo.1116209, 2018.
- Duff, M.J. Top ten problems in fundamental physics. International Journal of ModernPhysics A2001, Volume 16 (5), pp. 1012-1013 .
- Roland E. A.;Lidström, S.Life, the universe, and everything – 42 fundamental Questions. e-print https://arxiv.org/abs/1804.08730, 2018.
- Newton, I. Philosophiae Naturalis Principia Mathematica. 1686. In Newton's Principia : the mathematical principles of natural philosophy https://archive.org/stream/newtonspmathema00newtrich#page/n349/mode/2up.
- Eddington, A. S. The Nature of physical World. Cambridge at the university press, 1948.
- Von Weizsäcker, C.F.Eine Frage Über die Rolle der quadratischen Metrik in der Physik. Zeitschrift für Naturforschung A, 1952Volume 7(1), p 141.
- Von Weizsäcker, C.F.Komplementarität und Logik. Die Naturwissenschaften 1955, Volume 42, pp 521–529, pp 545–555 .
- Fredkin,E.Digital Philosophy. http://www.digitalphilosophy.org/digital_philosophy/toc.htm 2000.
- Poincaré,H. Science and Hypothesis. New York: the Walter Scott publ., 1905, p. 171 .
- Einstein, A. Zur Elektrodynamik bewegter Körper. Ann. Phys., 1905, Volume 322, pp 891–921 .
- Dingle,H. The Case against Special Relativity. Nature 1967, Volume 216, pp 119-122 .
- De Broglie,L. Recherches sur la théorie des quanta, Réedition du texte . 1924, Masson &Cie, Paris 1963 .
- Asif, M. M. Khan S. Zitterbewegung, internal momentum and spin of the circular travelling wave electromagnetic electron. e-print https://arxiv.org/abs/1602.07534 2016.
- FitzGerald, G. F. The Ether and the Earth's Atmosphere. 1889 Science, Volume 13, p 51 .
- Minkowski, H. Space and Time. In The Principle of Relativity: A Collection of Original Memoirs on the Special and General Theory of Relativity;Lorentz, Hendrik A., Albert Einstein, Hermann Minkowski, and HermannWeyl, Dover, New York, 1952.
- Lorentz,H. A. Electromagnetic phenomena in a system moving with any velocity smaller than that of light. Proceedings of the Royal Netherlands Academy of Arts and Sciences 1904, Volume 6, pp 809–831 .
- Poincaré,H. Sur la dynamique del’électron. Comptes Rendues, 1905, Volume 140, pp 1504 – 1511 .
- Poincaré, H. Sur la dynamique de l’ electron.Jourmal Rendiconti del circole Matematico di Palermo1906,Volume XXI, pp 129-155 .
- Bell, J.S.How to teach special relativity. Progress in Scientific culture1976, Volume 1 (2), pp 1-13 .
- Дирак, П.А.М. Теoрия пoзитрoна (in Russian). Атoмнoе ядрo. Сбoрник дoкладoв 1 всесoюзнoй ядернoй кoнференции.Гoсударственнoе техникo-теoретическoе издательствo Ленинград-Мoсква, 1934, pp 139-144 .
- Stueckelberg, E.La signification du temps propre en mécanique ondulatoire. Helv. Phys. Acta 1941,,Volume 14, pp. 322–323 .
- Feynman, R. The Theory of Positrons. Phys. Rev. 1949, Volume 76, pp 749-757 .
- Landau, L. Lifshic, E.The Classical Theory of Fields. 4th ed., Volume 2 (Course of Theoretical Physics Series),Butterworth-Heinemann, 1980. a. Landau, L. Lifshic, E. Mechanics. 3-rded. Volume 1 (Course of Theoretical Physics Series) Pergamon press , 1976.
- Dirac, P. A. M.Quantised singularities in the electromagnetic field.Proc. Roy. Soc. Lond. 1931, Volume A133, pp 60–72 .
- Milton, K.A. Theoretical and experimental status of magnetic Monopoles. Review article. e-print https://arxiv.org/abs/hep-ex/0602040 2006.
- van de Vis, R. N.; Sfakianakis, E. I. et, al. Nonlinear Dynamics of Preheating after Multifield Inflation with Nonminimal Couplings. Phys. Rev. Lett. 2019, Volume 123, pp 171-301 .
- Guth, A. H. The Inflationary Universe: A Possible Solution To The Horizon And Flatness Problems.Phys. Rev. D 1981, Volume 23, pp 347-355. a. Linde, A. Inflationary Cosmology after Planck 2013.e-print https://arxiv.org/abs/1402.0526 2014.
- Von Seeliger, H. Über das Newton'sche Gravitationsgesetz.Astronomische, Nachrichten 1895, Volume 137 (9), pp 129–132 .
- Hatch,R. R. A new theory ofGravity: overcoming problems with general relativity. Physics Essays 2007, Volume 20 (1), pp 83-100 .
- Okun, L.B.; Selivanov, K.G.; Telegdi, V. L. Гравитация фoтoны часы (in Russian) Uspehi Physicheckich Nauk 1999, Volume 169 (10), pp 1141 –1147 .
- Pound, R.Rebka, G. Apparent weight of photons. Phys. Rev. Lett. 1960, Volume 4, pp 337-341 .
- Pound, R.; Snider, J. Effect of Gravity on Nuclear Resonance. Phys. Rev. Lett 1964, Volume 13, pp 539-540 .
- Shevchenko, S.V.; Tokarevsky, V.V. On the photon spectrums of some monochromatic beams in Earth gravitation field. e-print https://arxiv.org/vc/arxiv/papers/0707/0707.4657v2.pdf 2007.
- Boyle, L.; Finn, K.; Turok, N.CPT-Symmetric Universe. Phys. Rev. Lett. 2018, Volume 121, pp 251 - 301 .
- Volovik,G.E. Comment to the CPT-symmetric Universe: Two possible extensions. e-print https://arxiv.org/abs/1902.07584 19, 2018.
- Singal, A.K. Solar system peculiar motion from the Hubble diagram of quasars and testing the Cosmological Principle.e-print https://arxiv.org/abs/2107.09390, 2019.
- Shevchenko, S.V.; Tokarevsky, V.V.The informational physical model and fundamental problems in physic.Presentation onConference Gravitational Physics and Astronomy 2022 , Cairo, Dec 4 – 9, 2022.
| 1 | Here and further “absolutely fundamental” relates to phenomena/notions that exist and are valid on whole “Information” Set, when (“simply”) “fundamental” relates to phenomena/notions that are fundamental in Matter and “consciousness on Earth”, including human consciousness; and in the mainstream philosophy, natural and social sciences. |
| 2 | In earlier papers with this model “G-marked FLE” is called “us-FLE” |
Disclaimer/Publisher’s Note: The statements, opinions and data contained in all publications are solely those of the individual author(s) and contributor(s) and not of MDPI and/or the editor(s). MDPI and/or the editor(s) disclaim responsibility for any injury to people or property resulting from any ideas, methods, instructions or products referred to in the content. |
© 2023 by the authors. Licensee MDPI, Basel, Switzerland. This article is an open access article distributed under the terms and conditions of the Creative Commons Attribution (CC BY) license (http://creativecommons.org/licenses/by/4.0/).
