Preprint
Article

This version is not peer-reviewed.

On Fundamentality of Heat

Submitted:

18 September 2021

Posted:

20 September 2021

You are already at the latest version

Abstract
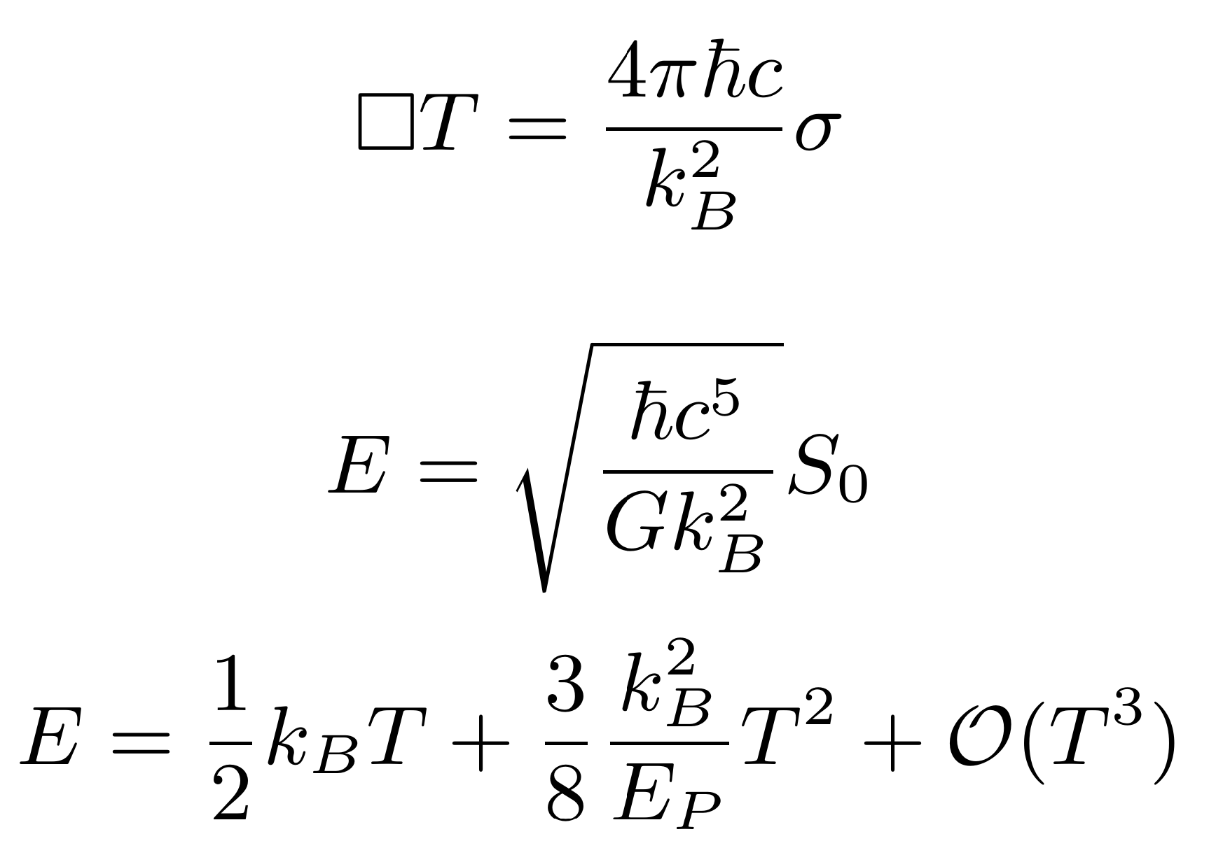
Motivated by the well-known contradiction of special relativity and the heat equation, a wave equation for temperature scalar field is presented that also resolves the old controversy of (Lorentz) transformation of temperature and entropy. After showing that the current dogma of temperature and entropy being emergent concepts is based on but a logical fallacy, it is proposed that single particles posses entropy. This principle of fundamentality of entropy is then shown to be compatible with the equipartition theorem by yielding corrections in the quantum gravity regime.
Keywords: 
;  ;  ;  
Copyright: This open access article is published under a Creative Commons CC BY 4.0 license, which permit the free download, distribution, and reuse, provided that the author and preprint are cited in any reuse.
Prerpints.org logo

Preprints.org is a free preprint server supported by MDPI in Basel, Switzerland.

Subscribe

Disclaimer

Terms of Use

Privacy Policy

Privacy Settings

© 2026 MDPI (Basel, Switzerland) unless otherwise stated