Preprint
Article

This version is not peer-reviewed.

Bending Analysis of Isotropic Rectangular Kirchhoff Plates Subjected to Non-Uniform Heating Using the Fourier Transform Method

Submitted:

10 December 2021

Posted:

10 December 2021

You are already at the latest version

Abstract
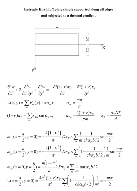
The object of this paper is the bending analysis of isotropic rectangular Kirchhoff plates subjected to non-uniform heating (NUH) using the Fourier transform method. The bottom and top surfaces of the plate are assumed to have different changes in temperature, whereas the change in temperature of the mid-surface is zero. According to classical plate theory, the governing equation of the plate contains second derivatives of the NUH; these derivatives are zero by constant value of the NUH, which leads to its absence in the governing equation. This paper presented an approach by which Fourier sine transform was utilized to describe the NUH, while the double trigonometric series of Navier and the simple trigonometric series of Lévy were utilized to describe the deflection curve. Thus, the NUH appeared in the governing equation, which simplified the analysis. Rectangular plates simply supported along all edges were analyzed, bending moments, twisting moments, and deflections being determined. In addition, rectangular plates simply supported along two opposite edges were analyzed; the other edges having various support conditions (free, simply supported, and fixed).
Keywords: 
;  ;  ;  ;  ;  
Copyright: This open access article is published under a Creative Commons CC BY 4.0 license, which permit the free download, distribution, and reuse, provided that the author and preprint are cited in any reuse.
Prerpints.org logo

Preprints.org is a free preprint server supported by MDPI in Basel, Switzerland.

Subscribe

Disclaimer

Terms of Use

Privacy Policy

Privacy Settings

© 2026 MDPI (Basel, Switzerland) unless otherwise stated