Preprint
Article

This version is not peer-reviewed.

Residual Multiparticle Entropy for a Fractal Fluid of Hard Spheres

A peer-reviewed article of this preprint also exists.

Submitted:

01 July 2018

Posted:

03 July 2018

You are already at the latest version

Abstract
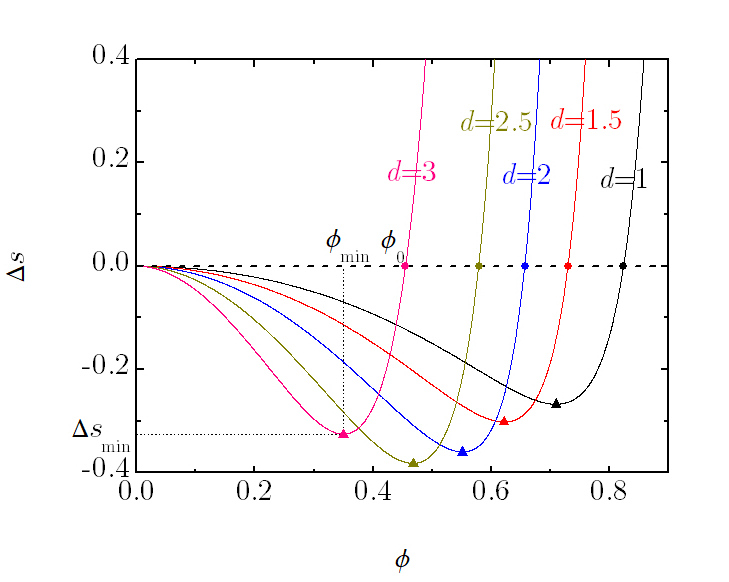
The residual multiparticle entropy (RMPE) of a fluid is defined as the difference, Δs, between the excess entropy per particle (relative to an ideal gas with the same temperature and density), sex, and the pair-correlation contribution, s2. Thus, the RMPE represents the net contribution to sex due to spatial correlations involving three, four, or more particles. A heuristic “ordering” criterion identifies the vanishing of the RMPE as an underlying signature of an impending structural or thermodynamic transition of the system from a less ordered to a more spatially organized condition (freezing is a typical example). Regardless of this, the knowledge of the RMPE is important to assess the impact of non-pair multiparticle correlations on the entropy of the fluid. Recently, an accurate and simple proposal for the thermodynamic and structural properties of a hard-sphere fluid in fractional dimension 1 < d < 3 has been proposed [Santos, A.; López de Haro, M. Phys. Rev. E 2016, 93, 062126]. The aim of this work is to use this approach to evaluate the RMPE as a function of both d and the packing fraction ϕ. It is observed that, for any given dimensionality d, the RMPE takes negative values for small densities, reaches a negative minimum Δsmin at a packing fraction ϕmin, and then rapidly increases, becoming positive beyond a certain packing fraction ϕ0. Interestingly, while both ϕmin and ϕ0 monotonically decrease as dimensionality increases, the value of Δsmin exhibits a nonmonotonic behavior, reaching an absolute minimum at a fractional dimensionality d ≃ 2.38. A plot of the scaled RMPE Δs/smin| shows a quasiuniversal behavior in the region −0.14 ≲ ϕϕ0 ≲ 0.02.
Keywords: 
;  ;  
Copyright: This open access article is published under a Creative Commons CC BY 4.0 license, which permit the free download, distribution, and reuse, provided that the author and preprint are cited in any reuse.
Prerpints.org logo

Preprints.org is a free preprint server supported by MDPI in Basel, Switzerland.

Subscribe

Disclaimer

Terms of Use

Privacy Policy

Privacy Settings

© 2026 MDPI (Basel, Switzerland) unless otherwise stated