Preprint
Article

This version is not peer-reviewed.

Dual RF Input Envelope Tracking Power Amplifier with Enhanced Load Modulation for Power–Efficiency–Linearity Trade-Off

Submitted:

27 April 2026

Posted:

28 April 2026

You are already at the latest version

Abstract
In this paper, we present an optimized driving strategy for a dual RF input envelope tracking power amplifier (ET PA) exploiting load modulation. The dual-input architecture enables dynamic load modulation (LM), allowing real-time adjustment of the load impedance to enhance performance over the signal dynamics typical of digital modulation schemes. The proposed approach considers a GaN HEMT-based LM-ET PA characterized under pulsed excitation across multiple amplitude and phase conditions of the load modulation control. Optimizing the control parameters yields a suitable shaping function that extends conventional ET supply modulation to include amplitude and phase control of the auxiliary amplifier, thereby improving the efficiency, output power, and linearity of the main amplifier. Experimental data demonstrate that the proposed dual RF input GaN-based LM-ET PA at 3.6 GHz outperforms a conventional ET PA in both efficiency and linearity when tested with high peak-to-average ratio signals.
Keywords: 
;  ;  ;  

1. Introduction

Modern mobile communication systems are increasingly required to handle wideband signals with high peak-to-average power ratios (PAPR), a key enabler for high data-rate transmission. In this context, conventional power amplifiers (PAs) operating with a fixed supply voltage are forced to work in a significant output back-off (OBO) region to preserve linearity. While this ensures faithful amplification of complex modulated signals, it comes at the cost of a marked reduction in power efficiency.
To overcome this limitation, a wide range of efficiency enhancement techniques has been explored over the years [1,2,3,4]. Among them, envelope tracking (ET) has established itself as one of the most effective solutions, thanks to its ability to dynamically modulate the supply voltage in accordance with the instantaneous envelope of the input signal, thereby sustaining higher efficiency over a broad range of operating conditions [5].
Recently, the ability to dynamically modulate the load impedance of PAs has emerged as a key enabler for achieving high efficiency in modern RF amplifier architectures. In this context, several novel topologies have been proposed to extend the Doherty principle to broader, more flexible operating conditions. Among these, the load-modulated balanced amplifier (LMBA) represents a notable example. It builds upon the conventional balanced PA architecture by incorporating an additional auxiliary amplifier specifically dedicated to controlling the effective load impedance seen by the main amplifier [6].
More recently, in [7], a dual-RF-input ET PA architecture was introduced, extending the conventional ET paradigm by incorporating load modulation (LM) capabilities. In this approach, an auxiliary amplifier injects a properly scaled version of the input signal—both in amplitude and phase—allowing dynamic control of the load impedance seen by the main amplifier. This additional degree of freedom enables improved utilization of the supply voltage range and enhances output power performance.
Building on that work, this paper provides a deeper, more comprehensive characterization of the proposed dual-RF-input PA architecture. The analysis is carried out through an extensive exploration of the multidimensional space defined by signal and control parameters. To ensure an accurate representation of device behavior, measurements are performed under pulsed conditions, thereby mitigating thermal and trapping effects that are particularly relevant in GaN-based technologies [8]. This approach enables a more reliable assessment of the amplifier performance under realistic modulated signals with complex envelopes.
Within this framework, particular attention is devoted to the definition of shaping functions that govern the main supply voltage, as well as the amplitude and phase of the auxiliary input signal. These functions are derived through a systematic optimization process based on cost functions that jointly account for average output power, efficiency, and linearity. The evaluation is performed by averaging the performance metrics according to probability density functions representative of signals with a given PAPR. By tuning the relative weights of the cost function, different shaping strategies are obtained, each reflecting a specific trade-off among power, efficiency, and linearity. The effectiveness of the proposed approach is finally assessed by comparing it with a conventional ET PA adopted as a reference benchmark.

2. The Dual RF Input Enveloped Tracking PA

2.1. The Architecture

The dual-RF-input ET PA architecture is depicted in Fig. Figure 1. It comprises two RF power devices driven by a synchronized pair of input signals, whose outputs are combined at a common summing node. The combination is achieved via an offset transmission line, which enables controlled load modulation of the main PA via the auxiliary path and prevents loading of the latter on the former under low-signal conditions. For low levels of auxiliary injection, the main PA is effectively terminated at its optimum load impedance, as determined according to signal statistics criteria [9]. Such an optimal load condition results from the combined action of the impedance transformation network and the output matching stage.
The main amplifier is biased to operate under optimal envelope tracking conditions, whereas the auxiliary amplifier operates in class-B (i.e., with negligible quiescent current in the absence of RF excitation). Compared with conventional ET architectures, the inclusion of an auxiliary RF input—characterized by independently controllable amplitude and phase—introduces an additional degree of freedom, enabling continuous, dynamic control of the load impedance presented to the main ET PA.
Different from conventional ET PA configurations, the proposed architecture enforces explicit synchronization between RF-domain load modulation and the low-frequency supply modulation inherent to ET operation. This coordinated control framework enables precise shaping of the load trajectory experienced by the main device, resulting in enhanced output power capability and improved linearity under back-off conditions, while preserving the efficiency advantages associated with envelope tracking.
Fig. Figure 1 shows the architecture of the proposed Dual Input Envelope Tracking Device

2.2. ET PA Delivered Power Under Optimum Load Modulation

In [7], a comparison between conventional ET and LM-ET PAs in terms of output power and efficiency was presented. The main results are briefly recalled here.
We consider a linear PA model in which the drain current is described by its peak value I D , M / A ( p k ) , while the DC and fundamental components are expressed through the Fourier coefficients c M / A ( D C ) ( θ ) and c M / A ( 1 ) ( θ ) . Assuming ideal harmonic terminations, only these components contribute to the PA operation. The optimum load resistance for the Main PA is
R L , opt = 1 c M ( 1 ) V D V K I D , M ( p k ) ,
where V K is the knee voltage. Hence, R L scales linearly with the supply voltage V D (for class-B, c M ( 1 ) = 1 / 2 and c M ( D C ) = 1 / π ).
With V D = k V D , max , both voltage and current swings scale with k, leading to a quadratic power reduction:
P L E T P L , max k 2 .
With optimum load modulation, the main current remains at its maximum value while the voltage scales with k V D , max . The effective load is
R M = R L 1 + I D , A ( 1 ) I D , M ( 1 ) ,
resulting in linear power scaling:
P L L M P L , max k .
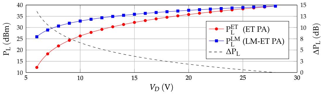
Thus, LM-ET provides an intrinsic ∼3 dB power advantage per halving of V D . Both architectures share the same maximum power at V D , max , as confirmed in Fig. Figure 2.

2.3. Considerations About Drain Efficiency

In ET operation, both RF and DC quantities scale with k, resulting in nearly constant efficiency, which approaches unity for negligible V K . With load modulation, the main current remains constant while the auxiliary path draws additional DC power. The corresponding efficiency degradation is
η L L M η L , max L M = k k + V D , A I D , A ( D C ) V D , max I D , M p k c M ( D C ) .
This expression highlights the efficiency penalty introduced by the auxiliary DC current I D , A ( D C ) . For a Class-AB main PA and a near-Class-C auxiliary PA (5) shows a limited efficiency reduction of about 9 % , while enabling the significant power enhancement discussed above.

3. Device Characterization and Measurement Dataset

The proposed LM-ET PA was experimentally characterized using the setup schematically shown in Fig. Figure 3, where a photograph of the fabricated prototype is complemented by the input power splitter and the amplitude- and phase-control elements in the auxiliary branch. The bias supply was pulsed for 9 μ s , and current consumption was measured using current probes.
The measurement arrangement was designed to enable a systematic exploration of the amplifier operating space under controlled excitation and bias conditions. In particular, it allows independent adjustment of the auxiliary-path control variables and the supply modulation, while simultaneously monitoring the main RF performance metrics. Figure 4 shows the laboratory setup adopted for the prototype characterization. The figure highlights the driver amplifiers, the current probes, and the input couplers used for prototype input power measurements, while the amplitude and phase control units are visible behind the driver stages.
In the selected bias condition of V D = 28 V , I D , M ( D C ) = 52 m A , and I D , A ( D C ) = 0 m A , the prototype exhibits at 3.6 GHz a peak of power gain of about 17 dB with reflection coefficients at both the input ports, lower than -15 dB.
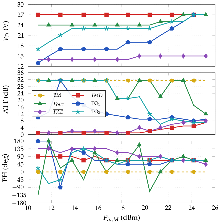
Figure 5 reports the measured distributions of the main performance metrics considered in the synthesis and optimization procedure, namely P out , gain, PAE, and IMD. As shown in Fig. Figure 5(a)–(d), the measurement campaign provides a dense experimental mapping of the DUT response over the considered operating space, capturing the dependence of the amplifier behavior on both the control settings and the input excitation level.
Specifically, Fig. Figure 5(a) and Fig. Figure 5(b) identify the achievable output-power and gain regions, while Fig. Figure 5(c) and Fig. Figure 5(d) illustrate the corresponding efficiency–linearity. From the data, we observe that the prototype exhibits a peak output power exceeding 39 dBm and a corresponding PAE exceeding 54 %; the maximum IMD is about 38 dB, with a power gain exceeding 21 dB. It is worth noting that negative PAE values may occur when the power gain tends to vanish, owing to counter-phase current recombination at the summing node.
This dataset, therefore, serves as the experimental basis for extracting shaping laws and identifying Pareto-optimal operating trajectories.
In the proposed LM-ET PA architecture, the operating condition is determined by a set of control parameters that enable exploration of the broad performance space typical of dual-input, supply-modulated power amplifiers. As illustrated in Fig. Figure 3, these control variables include the phase shift and input attenuation applied to the auxiliary path, together with the drain supply voltages of the main and auxiliary amplifiers. The RF input power delivered by the signal generator is swept over a predefined range and is adopted as the reference independent variable, thereby allowing the architecture to be evaluated under different excitation conditions and enabling a consistent comparison among the corresponding operating points. The actual input powers at the main and auxiliary branches are monitored using a directional coupler and a calibrated power meter. These quantities are denoted as P i n , M and P i n , A , respectively, although only P i n , M is used as an independent variable in the present analysis. From Fig. Figure 5, a certain spread in the measured input power can be observed across the data clouds. This effect is mainly attributed to variations in the input reflection coefficients of the prototype, which, combined with the limited directivity of the directional couplers, result in slight measurement inaccuracies.

4. Pareto-Driven Synthesis and Interpretation of Shaping Functions

All measured operating points were exported and post-processed in a commercial computing platform, where a dedicated analysis framework was developed to organize the complete experimental dataset and to enable the synthesis of admissible control trajectories. The dataset includes measured combinations of drain supply voltage, auxiliary-path attenuation, and auxiliary-path phase shift, thereby providing a multidimensional description of the accessible operating space of the proposed architecture.
Starting from this measured cloud, the objective is not the identification of isolated favorable operating points, but the synthesis of complete shaping functions governing the transmitter over the full input-power excursion. This aspect is central to the proposed methodology. In the considered dual-input envelope-tracking/load-modulated architecture, the control action is inherently dynamic and must evolve with the excitation level. Accordingly, the design problem must be formulated in functional form rather than in terms of static bias optimization.
More specifically, the control strategy is described by the triplet
u P in , M = V D P in , M , A T T P in , M , P H P in , M T ,
where V D denotes the drain supply voltage, while A T T and P H represent the attenuation and phase shift applied to the auxiliary path. Therefore, each candidate solution is not a single point selected from the measured cloud, but a complete triplet of shaping functions defined over the main input-power axis P in , M .
This distinction has major methodological implications. A pointwise optimization of the measured multidimensional dataset would generally return, at each input-power level, the locally best control setting according to the selected objective. However, such a procedure would not guarantee that the resulting sequence of operating points defines a physically realizable control law. Adjacent operating states could correspond to abrupt or mutually inconsistent changes of supply voltage, attenuation, or phase, thereby producing a trajectory that is numerically assembled a posteriori but physically implausible. By contrast, the purpose of the present work is to identify shaping functions that remain smooth, admissible, and meaningful over the whole dynamic range of operation.
This requirement is especially stringent for the supply trajectory V D ( P in , M ) , which is intended to represent the envelope-tracking action of the transmitter. In physical terms, the drain supply should follow the signal envelope, or equivalently its magnitude, which is naturally associated with increasing input drive and is therefore monotonically related to P in , M . At the same time, the practical feasibility of the supply law does not depend only on its amplitude excursion, but also on how rapidly it must vary during normal operation. Indeed, the rate of variation of the envelope is directly related to the instantaneous signal bandwidth, namely, to how fast the envelope changes from one sample to the next. Therefore, an admissible shaping law must not only provide suitable bias values versus P in , M , but must also remain compatible with the finite dynamic capability of a realistic supply modulator.
Indeed, once mapped back to the actual signal operation, excessively abrupt variations in V D ( P in , M ) would imply a supply modulation speed incompatible with the envelope path’s finite bandwidth.
The same applies to the auxiliary-path controls A T T ( P in , M ) and P H ( P in , M ) , which must jointly trace a feasible and sufficiently regular path within the measured control space. Hence, the problem is intrinsically more demanding than a conventional operating-point selection problem: the unknowns are functions, and each admissible solution must preserve physical consistency along the full input-power axis while remaining compatible with the dynamic constraints of actual signal operation.
Once a shaping-function triplet is assigned, the experimental dataset is used to reconstruct the corresponding performance trajectories,
y P in , M = G P in , M , P out P in , M , PAE P in , M , IMD P in , M , OIP 3 P in , M T ,
so that each candidate shaping solution is mapped into a corresponding performance trajectory. As a consequence, each point appearing in the objective space must be interpreted as the image of one complete shaping-function triplet, namely one full transmitter control strategy, and not as the representation of a single static operating condition.

4.1. Statistical Evaluation Under a Rayleigh Envelope Model

A second key feature of the proposed framework is that the relevant figures of merit are evaluated statistically, consistent with modulated-signal operation. This choice is essential because the amplifier is intended to operate under realistic envelope fluctuations rather than under continuous-wave excitation alone. In the adopted framework, the signal envelope is modeled as a Rayleigh distribution, as expected for a complex baseband Gaussian signal.
Denoting by r the normalized signal-envelope amplitude, the corresponding probability density function is
f r ( r ) = r σ 2 exp r 2 2 σ 2 , r 0 ,
where the scale factor is determined by the selected peak-to-average power ratio (PAPR). The PAPR, therefore, sets the statistical relation between the maximum meaningful envelope excursion and the average operating condition, and is used here to derive the weighting law associated with the admissible support of each shaping solution.
After discretization over the sampled P in , M axis, the continuous density in (8) is converted into a set of normalized weights { w k } satisfying
k = 1 K max w k = 1 ,
where K max denotes the highest meaningful input-power sample associated with the considered shaping trajectory. These weights are then used to define the PDF-aware mean performance metrics. For any generic quantity Ψ k = Ψ ( P in , M , k ) , the corresponding weighted mean value is computed as
Ψ ¯ = k = 1 K max w k Ψ k .
Accordingly, output power, efficiency, and linearity are not optimized at isolated drive levels, but through statistically meaningful average quantities such as P ¯ out , PAE ¯ , and IMD ¯ . This prevents the synthesis from being driven by operating regions that would have negligible statistical relevance under modulation.

4.2. Flat-Gain Objective and Detection of the Linear Region

Gain is treated differently because its desired behavior is qualitatively different from that of the other metrics. In a physically meaningful power amplifier, gain is expected to remain approximately constant up to a certain drive level, beyond which compression progressively appears as saturation is approached. For this reason, the gain-related objective is not represented by a generic average over the full input-power range. Instead, it is associated with the flat-gain region, namely the largest initial interval over which the gain remains compatible with the desired quasi-constant behavior.
Let G k denote the gain samples reconstructed along a candidate shaping trajectory. The flat-gain region is identified as
Ω flat = { 1 , , K flat } ,
where K flat is the largest index such that both the gain ripple and the deviation from the target gain remain within the prescribed tolerance band. Once this interval has been identified, a representative flat-gain metric is extracted as
G flat = 1 K flat k = 1 K flat G k ,
which provides a compact descriptor of the amplifier behavior in its linear operating region.
This definition introduces an additional layer of complexity into the synthesis problem. Candidate shaping functions must not only improve efficiency, output power, and linearity in a statistically meaningful sense, but must do so while preserving a sufficiently extended and sufficiently regular flat-gain region. In other words, the optimization is not driven by a single homogeneous scalar objective, but by a set of heterogeneous metrics with distinct physical meanings and tendencies across the operating space.

4.3. Strongly Competing Objectives and Meaning of the Pareto Fronts

Under the above premises, the synthesis problem is inherently multi-objective and strongly conflicting. The maximization of P ¯ out , PAE ¯ , IMD ¯ , and G flat leads to requirements that cannot, in general, be improved simultaneously.
This competition is rooted in the physics of the underlying amplifier. Increasing the average output power typically pushes the device toward more aggressive operating conditions, which may reduce the extent of the flat-gain region and may also worsen linearity. Improving average efficiency may require supply and load conditions that are advantageous from an energy standpoint, but such conditions can penalize gain flatness or spectral behavior. Conversely, enforcing better linearity usually requires more conservative control trajectories, which may reduce both output power and efficiency. Therefore, the different goals are not merely distinct numerical targets: they are structurally concurrent and generate a genuinely antagonistic multi-objective landscape.
For this reason, the correct output of the synthesis is not a single optimum, but the set of non-dominated shaping solutions. In the present framework, a shaping-function triplet is said to be Pareto-optimal if no other admissible triplet can improve at least one objective without degrading at least one of the others. The resulting Pareto fronts, therefore, represent the locus of the best physically achievable tradeoffs offered by the considered architecture.
This interpretation is crucial. The Pareto fronts are not an accessory graphical summary of the optimization process, but the actual design-oriented output of the methodology. Each point on a Pareto front corresponds to one complete and physically realizable shaping strategy, that is, one full triplet u ( P in , M ) . Moving along a Pareto front does not simply mean changing the numerical values of a few scalar metrics; it means replacing one admissible family of control laws with another, thereby moving from one global transmitter behavior to another.
Accordingly, the Pareto fronts provide a direct map of the achievable compromises among the considered objectives. Extreme points identify shaping strategies that deliberately privilege one design goal, for example: efficiency enhancement, output-power capability, or gain regularity, at the expense of the others. Intermediate points, and especially knee regions, identify more balanced solutions, where a limited degradation of one figure of merit allows a comparatively large improvement of another. In this sense, the fronts do not merely state that tradeoffs exist; they quantify how severe such tradeoffs are and reveal where the most convenient design compromises are located.
Equally important, the Pareto fronts should be read as a compact representation of the global design freedom offered by the proposed LM-ET architecture. If the fronts are broad and well populated, the architecture admits a wide family of distinct yet admissible control strategies. If, instead, the fronts are steep or compressed in some regions, this indicates that the corresponding objectives are strongly locked by the device’s physics, so that even substantial modifications to the shaping laws produce only limited improvement. The Pareto representation is therefore informative not only about which solutions are optimal in the non-dominated sense, but also about how flexible the architecture is with respect to different design priorities.
The pairwise diagrams reported in Fig. Figure 6 should be interpreted precisely in this way. The PAE ¯ P ¯ out plane highlights the energetic cost associated with pushing the transmitter toward higher average delivered power. The PAE ¯ IMD ¯ plane reveals the efficiency-linearity competition and shows how aggressively the control laws can be shaped before the linearity-related metric is significantly affected. The G flat P ¯ out plane quantifies the compromise between maintaining a broad flat-gain region and extracting larger average output power. Finally, the G flat IMD ¯ plane makes explicit the relation between gain regularity and spectral behavior. Taken together, these fronts provide a structured interpretation of the admissible shaping laws and constitute the natural basis for selecting representative solutions for deeper inspection.
This point also clarifies the role of the following section. The results section does not establish the existence of the tradeoffs; they are already encoded and made explicit here by the Pareto fronts. Rather, the subsequent analysis will examine a limited number of representative shaping trajectories selected from different front regions to show how the corresponding control functions and performance evolutions concretely realize the tradeoffs predicted by the Pareto-based synthesis.

4.4. Customized Multi-Objective Invasive Weed Optimization

Because of the functional nature of the design variables and the strong competition among the objectives, the synthesis problem is highly non-convex and cannot be effectively addressed through simple pointwise search or through a naive scalarization of the objectives. The search space is broad, irregular, and constrained by physical admissibility. Moreover, each candidate must be evaluated as a complete control trajectory reconstructed from measured data, rather than as an isolated operating point. This makes the optimization stage particularly demanding.
To tackle this problem, a customized multi-objective Invasive Weed Optimization (IWO) strategy was adopted [10,11,12,13,14]. IWO-based methods have demonstrated remarkable effectiveness in several electrical and electromagnetic engineering applications [15,16], particularly in problems characterized by non-convex search spaces and strongly competing objectives. These features make IWO especially suitable for the present synthesis framework, in which each candidate solution is a complete shaping-function triplet, and its quality can only be evaluated after trajectory reconstruction and multi-objective assessment [16,17].
Moreover, IWO has also been applied to the reduction of the peak-to-average power ratio (PAPR) in communication signals [18,19]. This is particularly appealing in the present context, since PAPR is directly related to the signal statistics underlying the proposed synthesis methodology and therefore to the physical interpretation of the shaping functions themselves – cfr. SubSection 4.1.
In the proposed framework, each individual of the population encodes one complete shaping-function triplet as in (6). The optimizer, therefore, acts directly in the space of admissible control laws. For each candidate, the measured cloud is interrogated to reconstruct the corresponding trajectories of gain, output power, efficiency, intermodulation distortion, and OIP3, as in (7). The flat-gain region is then automatically detected, the PDF-aware mean metrics are computed, and the candidate is finally associated with the objective vector
J = G flat , P ¯ out , PAE ¯ , IMD ¯ T .
The customization of the IWO framework lies precisely in this problem-oriented formulation: the individuals do not represent isolated bias points, but complete shaping laws; the fitness evaluation is not based on local pointwise quantities, but on reconstructed trajectories and statistically weighted metrics; and the optimization output is a non-dominated set from which the Pareto fronts are extracted.
This customized multi-objective IWO is therefore a core element of the methodology. Its role is not merely to search for numerically good candidates, but to populate the feasible objective space with a diverse set of physically admissible shaping strategies so that the Pareto structure of the problem can emerge clearly. In other words, the optimizer is used here as a synthesis engine for Pareto fronts of control functions, not simply as a numerical maximizer of isolated merit figures. This is the main reason why a customized population-based multi-objective strategy is especially appropriate in the present context.
A high-level representation of the adopted procedure is summarized in Algorithm 1. The emphasis is intentionally placed on the methodology’s logical structure, since the main contribution lies in formulating a Pareto-driven synthesis problem in which the unknowns are shaping functions and the objective landscape is reconstructed from measured multidimensional data.
Algorithm 1 Customized multi-objective synthesis of Pareto-optimal shaping functions
1:
Input: measured multidimensional dataset, target gain, flat-gain tolerance, PAPR, control constraints
2:
Define the shaping-function triplet u ( P in , M ) = V D , A T T , P H T
3:
Build the Rayleigh-based PDF associated with the selected PAPR
4:
Map the PDF onto the discrete P in , M support and compute the normalized weights { w k }
5:
Initialize a customized multi-objective IWO population of admissible shaping-function triplets
6:
for each candidate shaping triplet do
7:
   Reconstruct G, P out , PAE, IMD, and OIP3 from the measured dataset
8:
   Detect the flat-gain region and compute G flat
9:
   Compute P ¯ out , PAE ¯ , and IMD ¯ using the PDF weights
10:
   Associate the candidate shaping triplet with the objective vector J
11:
end for
12:
Evolve the population through reproduction, dispersal, and competitive exclusion
13:
Collect the non-dominated shaping functions
14:
Reconstruct and identify the Pareto fronts in the objective space
15:
Select representative shaping functions for subsequent trajectory analysis
The proposed methodology therefore produces, for each Pareto-optimal solution, both the control trajectories ( V D , A T T , P H ) and the corresponding performance trajectories ( G , P out , PAE , IMD , OIP 3 ) as functions of P in , M . This representation directly links each point on the Pareto front to one complete and physically realizable shaping strategy, thereby turning the Pareto fronts themselves into the primary interpretation tool of the synthesis.

5. Analysis of Representative Pareto-Optimal Shaping Strategies

Once the Pareto fronts have been extracted, the proposed optimization framework provides a structured set of admissible shaping solutions, each corresponding to a complete transmitter control strategy. The purpose of this section is not to further prove the existence of trade-offs, which is already made explicit by the Pareto-based synthesis, but rather to clarify how these trade-offs are physically realized by representative solutions. In this sense, the following discussion translates the geometric structure of the Pareto fronts into the corresponding behavior of the LM-ET architecture.
To this end, a set of Pareto-representative cases has been selected from different regions of the non-dominated fronts. These solutions span different design priorities, ranging from output-power- and gain-oriented strategies to more balanced compromises that balance efficiency and linearity. By inspecting these representative points, it becomes possible to understand how different locations on the Pareto fronts correspond to different shaping laws, and how these shaping laws, in turn, determine different evolutions of the main performance figures along the input-power axis.
Figure 7 reports the shaping functions associated with the selected Pareto-representative cases. These curves provide a direct view of the control strategies synthesized by the proposed framework, namely the coordinated evolution of drain supply voltage, auxiliary-path attenuation, and auxiliary-path phase shift as functions of the main input power. Since each Pareto point corresponds to one complete shaping-function triplet, the curves in Fig. Figure 7 should be interpreted as the actual control laws implementing the trade-offs identified in the objective space. Their comparison is especially informative because it reveals how different optimality criteria yield distinct families of admissible control trajectories.
Figure 8 shows the corresponding performance trajectories obtained when the shaping functions of Fig. Figure 7 are applied to the measured dataset. In this way, the effect of each synthesized control strategy can be directly evaluated in terms of gain, output power, efficiency, and linearity over the entire input-power excursion. The combined reading of Figs. Figure 7 and Figure 8 is particularly useful: the former describes the control action, whereas the latter shows the resulting amplifier behavior. Together, they provide a physically transparent interpretation of the Pareto-optimal solutions and clarify how changes in the shaping laws are reflected in the corresponding performance trajectories.
A further, particularly relevant part of the discussion is the comparison with a conventional envelope-tracking benchmark. This reference provides a meaningful baseline for assessing the actual benefit of the proposed LM-ET strategy relative to a more conventional supply-modulated operation. The purpose of the comparison is not to identify a universally superior operating point in absolute terms, but rather to quantify how the additional degrees of freedom introduced by the dual-input load-modulated architecture reshape the attainable trade-off space.
Table 1 summarizes this comparison by collecting the selected LM-ET special cases together with the benchmark reference. More than a simple numerical summary, the table offers a compact view of the shaping versatility enabled by the proposed framework. An immediate result is that a large portion of the LM-ET solutions simultaneously improve gain-related indicators, mean and maximum output power, and linearity-related quantities relative to the benchmark. For instance, BestMeanPout increases the mean and maximum output power from 33.0/37.7 to 35.5/40.5 dBm, while also improving mean IMD from 31.0 to 34.0 dB and mean OIP3 from 18.5 to 22.5 dBm. Similarly, BestGain reduces the gain-error indicator from 3.88 to 3.74 while still achieving 35.3 dBm mean output power, and 22.2 dBm mean OIP3. These results confirm that the additional shaping freedom offered by the proposed architecture can shift the operating trajectory into regions inaccessible to the benchmark when output power, gain regularity, and spectral behavior are prioritized.
At the same time, the table shows that these advantages are not free. In most reported LM-ET cases, improvements in gain behavior, power capability, and linearity are accompanied by a reduction in PAE relative to the benchmark. This is fully consistent with the Pareto interpretation discussed in the previous section: the objectives are genuinely competing, and improving one group of metrics generally requires accepting a penalty in another. The clearest counterexample is BestMeanPAE, which is the only case that distinctly improves both mean and maximum PAE, from 0.33/0.50 to 0.45/0.53, but does so at the expense of output power, IMD, and OIP3. This result is important because it shows that efficiency enhancement is not excluded by the proposed LM-ET architecture, but can be explicitly recovered whenever it is selected as the dominant design priority.
The pairwise Pareto cases are especially useful because they make the trade-offs directly readable along a single front. In particular, the 25/75, 50/50, and 75/25 solutions show how the operating point moves in a controlled manner when the relative priority between two competing objectives is progressively changed. This is clearly visible on the Pout–PAE front. Moving from MidFront_25Pout_75PAE to MidFront_50Pout_50PAE and then to MidFront_75Pout_25PAE, the mean output power increases from 31.9 to 33.3 to 34.6 dBm, whereas mean PAE decreases from 0.41 to 0.33 to 0.25. Thus, the 50/50 point is not simply an arithmetic midpoint: it is the interior Pareto solution that preserves a substantial fraction of the power improvement without incurring the full efficiency penalty associated with the more power-oriented end of the front.
A similar behavior emerges on the PAE–IMD front. The transition from MidFront_75PAE_25IMD to MidFront_50PAE_50IMD and then to MidFront_25PAE_75IMD moves mean PAE from 0.41 to 0.35 to 0.29, while mean IMD increases from 29.1 to 32.1 to 35.2 dB. Here again, the 50/50 case identifies the interior part of the Pareto front where both metrics remain reasonably preserved, whereas the 25/75 and 75/25 points reveal the two opposite directions of the trade-off. The same interpretation applies to the Pout–IMD and PAE–Gain fronts: the 25/75 and 75/25 solutions expose the two competing tendencies, while the 50/50 solution marks the region in which the trade-off is most directly usable when neither objective can be treated as secondary.
From a multi-objective viewpoint, these pairwise interior points are important because they show that the proposed synthesis does not merely recover isolated extremes, but actually resolves the geometry of the Pareto fronts. In other words, the framework not only tells the designer which endpoint maximizes one objective or the other, but also provides intermediate non-dominated solutions that quantify how much one metric must be traded off to recover another. This is precisely the type of information that makes Pareto synthesis practically valuable.
Particularly significant, however, are the two 4D compromise solutions, BestBalanced4D and BestKnee4D, because, as shown in Table 1, they identify two different and highly informative interior regions of the full four-objective Pareto set.
BestBalanced4D is especially relevant because it is the solution where the improvement is distributed across several objectives at once, without requiring any severe collapse of the others. Relative to the benchmark, the gain-flatness metric is essentially preserved and even slightly improved, from 17.0 to 17.3, while mean and maximum output power increase from 33.0/37.7 to 34.2/40.4 dBm. At the same time, mean and maximum IMD improve from 31.0/38.7 to 36.4/39.4 dB, and mean and maximum OIP3 rise markedly from 18.5/19.0 to 22.4/26.0 dBm. The price paid is a reduction in mean and maximum PAE from 0.33/0.50 to 0.25/0.36, but this penalty remains clearly less severe than in strongly power-oriented solutions such as BestMeanPout, where mean PAE falls to 0.16. The specific interest of BestBalanced4D therefore lies in its ability to deliver simultaneous improvements in output power, linearity, and OIP3, while keeping gain flatness substantially unchanged and avoiding an excessively severe efficiency penalty.
BestKnee4D has a different meaning. It identifies the region of the 4D Pareto set where the exchange among objectives is still favorable, but is about to become markedly more expensive. Relative to the benchmark, it provides a moderate increase in gain flatness from 17.0 to 16.7, a gain in mean and maximum output power from 33.0/37.7 to 33.5/40.2 dBm, and a clear improvement in mean and maximum OIP3 from 18.5/19.0 to 19.9/24.5 dBm. Its efficiency remains much closer to the benchmark than in BestBalanced4D, with mean and maximum PAE equal to 0.32/0.39 versus 0.33/0.50 for the benchmark, while the linearity improvement is more selective: mean IMD increases from 31.0 to 32.8 dB, whereas maximum IMD slightly decreases from 38.7 to 37.0 dB. This is precisely why the knee is meaningful in Pareto theory: it marks the last region where one can still obtain tangible gains in power and OIP3 while paying only a limited price in the remaining metrics. Beyond this point, further improvements are possible only at the cost of much greater degradation in efficiency or other objectives. In this sense, BestKnee4D marks the onset of diminishing returns on the non-dominated set.
Taken together, the pairwise 25/75–50/50–75/25 solutions and the two 4D interior solutions show that the proposed framework does not simply identify a few extreme optima. Rather, it reconstructs a family of physically meaningful operating conditions distributed across the trade-off space: endpoints that reveal the attainable limits, pairwise interior points that quantify the exchange between two objectives, balanced 4D points that prevent any metric from becoming unacceptable, and knee points that indicate where the marginal cost of further improvement becomes too high. This is the main practical strength of the proposed LM-ET approach.
Overall, the results discussed in this section support the effectiveness of the proposed method in two complementary senses. First, they show that the Pareto-based framework generates physically meaningful shaping laws, rather than merely abstract optimal points in objective space. Second, they demonstrate that the additional control freedom offered by the LM-ET architecture can be translated into tangible performance advantages relative to a conventional envelope-tracking reference, especially when output-power capability, gain regularity, and linearity are primary design targets.

6. Conclusions

This work has shown that the proposed dual-input envelope-tracking and load-modulated architecture is not merely an alternative implementation of a conventional ET PA, but a substantially more flexible transmitter solution capable of realizing operating regimes inaccessible to the benchmark case. The main outcome is therefore not the identification of a single optimal operating point, but the demonstration that the proposed LM-ET approach opens a broad, highly structured space of physically realizable trade-offs among gain flatness, output power capability, efficiency, and linearity.
This result emerges very clearly from Table 1. Compared with the benchmark, the proposed framework can move the transmitter toward markedly different operating regions depending on the selected design priority. For instance, power-oriented solutions such as BestMeanPout and MidFront_Pout_Gain increase the mean output power from 33.0 to 35.5 dBm and the maximum output power from 37.7 to 40.5 dBm, while also raising the flat-gain metric from 17.0 to about 19.0 dB. At the same time, the flat operating range can be significantly extended: P i n , M , m a x f l a t grows from 11.8 up to 24.2 in the MidFront_Pout_PAE case, which is a remarkable enlargement of the usable quasi-linear region. Likewise, the gain error can be drastically reduced, with Max | e G | decreasing from 3.88 in the benchmark down to 0.37 in the same case, thus confirming that the proposed shaping strategy can enforce very regular gain behavior over a much wider operating interval.
The table also shows that the proposed architecture enables particularly interesting compromises that go well beyond a simple “power versus efficiency” trade-off. Several solutions simultaneously improve output power, gain-related metrics, and linearity-related figures with respect to the benchmark. For example, BestMeanIMD raises the mean IMD metric from 31.0 to 37.9 and the mean OIP3 from 18.5 to 23.3 dB, while still increasing the mean output power to 34.3 dBm and reducing Max | e G | from 3.88 to 1.64 . Similarly, BestGain achieves a flat-gain value of 19.3 dB, extends P i n , M , m a x f l a t to 15.7 , and increases the maximum OIP3 from 19.0 to 28.0 dB. These are not marginal corrections; they indicate that the additional degrees of freedom introduced by the dual-input load-modulated ET architecture enable the synthesis of highly specific and highly valuable operating profiles tailored to distinct system-level priorities.
Equally important, the proposed framework is not restricted to aggressive power- or linearity-oriented solutions. When efficiency is chosen as the dominant objective, the synthesis can deliberately steer the same hardware toward a different regime. This is clearly visible in the BestMeanPAE case, where the mean PAE increases from 0.33 to 0.45 and the maximum PAE from 0.50 to 0.53 , and also in weighted cases such as MidFront_75PAE_25Gain, where the mean PAE reaches 0.42 . Although these solutions sacrifice some of the gains in output power and linearity, they make an equally important point: the proposed architecture does not enforce a fixed performance profile but instead allows the designer to intentionally select where to place the transmitter on the trade-off surface.
This is arguably the most relevant contribution of the paper. The proposed LM-ET methodology does not merely improve one metric at the expense of all others in a rigid, predetermined manner. Instead, it enables the synthesis of uncommon and practically meaningful compromises, including solutions with up to + 2.5 dB mean output-power improvement, up to + 3.7 dB maximum output-power improvement, up to about + 2.3 dB flat-gain enhancement, up to + 5.0 dB mean OIP3 improvement, and up to + 9.0 dB maximum OIP3 improvement with respect to the benchmark, while also allowing efficiency-oriented operating modes whenever required. This ability to navigate the design space and to extract different families of Pareto-optimal shaping laws from the same hardware platform is what makes the proposed solution especially attractive for realistic RF transmitters, where the preferred balance among efficiency, linearity, gain behavior, and delivered power depends on the specific signal and application scenario.
From a methodological viewpoint, the paper has also shown that the relevant design object in this class of amplifiers is not the isolated operating point, but the shaping-function triplet itself. By combining measured multidimensional data, Rayleigh-weighted statistical evaluation, and customized Pareto-driven synthesis, the proposed framework directly associates each Pareto point with a complete, physically meaningful control strategy. In this sense, the extracted Pareto fronts are not just descriptive plots, but an actionable design map of the operating modes enabled by the proposed architecture.
Overall, the results demonstrate that the proposed LM-ET solution significantly expands the achievable performance space compared to conventional ET operation. Its real strength lies in the ability to engineer highly specific and particularly interesting compromises that would be difficult, or even impossible, to obtain with standard single-input ET approaches. Future work will extend the framework by explicitly including dynamic constraints on control paths, considering wider-band modulated signals, and integrating linearization-aware criteria to further strengthen the practical applicability of the proposed synthesis methodology.

Conflicts of Interest

The authors declare no conflicts of interest.

Abbreviations

The following abbreviations are used in this manuscript:
M Main
A Auxiliary
LO Local Oscillator
PA Power Amplifier
LNA Low Noise Amplifier
QAM Quadrature Amplitude Modulation
VGA Variable Gain Amplifier
PAE Power Added Efficiency
LM Load Modulation
ET Envelop Tracking
DI Dual Input
LM-ET Load Modulated-Envelope Tracking
PAPR Peak-to-Average Power Ratio
OBO Output Back-Off

References

  1. Reynaert, P.; Steyaert, M.S. A 1.75-GHz polar modulated CMOS RF power amplifier for GSM-EDGE. IEEE J. Solid-State Circuits 2005, 40, 2598–2608. [Google Scholar] [CrossRef]
  2. Walling, J.S.; Taylor, S.S.; Allstot, D.J. A class-G supply modulator and class-E PA in 130 nm CMOS. IEEE J. Solid-State Circuits 2009, 44, 2339–2347. [Google Scholar] [CrossRef]
  3. Hanington, G.; Chen, P.F.; Asbeck, P.M.; Larson, L.E. High-efficiency power amplifier using dynamic power-supply voltage for CDMA applications. IEEE Trans. Microw. Theory Tech. 1999, 47, 1471–1476. [Google Scholar] [CrossRef]
  4. Giovannelli, N.; Cidronali, A.; Singerl, P.; Maddio, S.; Schuberth, C.; Del Chiaro, A.; Manes, G. A 250W LDMOS Doherty PA with 31% of fractional bandwidth for DVB-T applications. In Proceedings of the 2014 IEEE MTT-S International Microwave Symposium (IMS2014); IEEE, 2014; pp. 1–4. [Google Scholar]
  5. Casini, G.; Cidronali, A.; Manes, G. Investigation of X-parameters modeling for accurate envelope tracking power amplifier system simulations. In Proceedings of the 2013 IEEE MTT-S International Microwave Symposium Digest (MTT); IEEE, 2013; pp. 1–4. [Google Scholar]
  6. Shepphard, D.J.; Powell, J.; Cripps, S.C. An efficient broadband reconfigurable power amplifier using active load modulation. IEEE Microw. Wirel. Compon. Lett. 2016, 26, 443–445. [Google Scholar] [CrossRef]
  7. Cidronali, A.; Righini, M.; Badii, M.; Pagnini, L.; Lasagni, G.; Collodi, G. Analysis and Development of a Two RF Input Load Modulated Envelope Tracking PA. In Proceedings of the 2025 International Workshop on Integrated Nonlinear Microwave and Millimetre-Wave Circuits (INMMIC); IEEE, 2025; pp. 1–4. [Google Scholar]
  8. Angelotti, A.M.; Gibiino, G.P.; Florian, C.; Santarelli, A. Trapping dynamics in GaN HEMTs for millimeter-wave applications: Measurement-based characterization and technology comparison. Electronics 2021, 10, 137. [Google Scholar] [CrossRef]
  9. Cidronali, A.; Mercanti, M.; ò Giovannelli, N.; Maddio, S.; Manes, G. On the signal probability distribution conscious characterization of GaN devices for optimum envelope tracking PA design. IEEE Microw. Wirel. Compon. Lett. 2013, 23, 380–382. [Google Scholar] [CrossRef]
  10. Kumar, D.; Gandhi, B.R.; Bhattacharjya, R.K. Introduction to invasive weed optimization method. In Nature-inspired methods for metaheuristics optimization: algorithms and applications in science and engineering; Springer, 2020; pp. 203–214. [Google Scholar]
  11. Naidu, Y.R.; Ojha, A.K. Solving multiobjective optimization problems using hybrid cooperative invasive weed optimization with multiple populations. IEEE Trans. Syst. Man. Cybern. Syst. 2016, 48, 821–832. [Google Scholar] [CrossRef]
  12. Ibrahim, A.; Anayi, F.; Packianather, M.; Alomari, O.A. New hybrid invasive weed optimization and machine learning approach for fault detection. Energies 2022, 15, 1488. [Google Scholar] [CrossRef]
  13. Le, P.N.; Kang, H.J. A robotic calibration method using a model-based identification technique and an invasive weed optimization neural network compensator. Appl. Sci. 2020, 10, 7320. [Google Scholar] [CrossRef]
  14. Nie, X.; Min, C.; Pan, Y.; Li, Z.; Królczyk, G. An improved deep neural network model of intelligent vehicle dynamics via linear decreasing weight particle swarm and invasive weed optimization algorithms. Sensors 2022, 22, 4676. [Google Scholar] [CrossRef] [PubMed]
  15. Karimkashi, S.; Kishk, A.A. Invasive weed optimization and its features in electromagnetics. IEEE Trans. Antennas Propag. 2010, 58, 1269–1278. [Google Scholar] [CrossRef]
  16. Maddio, S.; Pelosi, G.; Righini, M.; Selleri, S. A multi-objective invasive weed optimization for broad band sequential rotation networks. In Proceedings of the 2018 IEEE International Symposium on Antennas and Propagation & USNC/URSI National Radio Science Meeting. IEEE, 2018; pp. 955–956. [Google Scholar]
  17. Maddio, S.; Giannetti, G.; Cidronali, A.; Collodi, G.; Righini, M.; Selleri, S. Investigations on Cramér-Rao-Bound Conscious Optimization Strategies for Antenna Design Aimed at Phaseless Direction of Arrival Estimation. IEEE Transactions on Antennas and Propagation, 2025. [Google Scholar]
  18. Hung, H.L.; Cheng, C.H.; Huang, Y.F. PAPR reduction of OFDM using invasive weed optimization-based optimal peak reduction tone set selection. EURASIP J. Wirel. Commun. Netw. 2013, 2013, 244. [Google Scholar] [CrossRef]
  19. Taşpınar, N.; Canbaz, H. PAPR reduction using invasive weed optimization algorithm in FBMC-OQAM systems. In Proceedings of the 2024 Kleinheubach Conference. IEEE, 2024; pp. 1–4. [Google Scholar]
Figure 1. Dual RF input ET PA schematic architecture.
Figure 1. Dual RF input ET PA schematic architecture.
Preprints 210582 g001
Figure 2. Theoretical ET PA and LM-ET PA model performances, evaluated for V K = 6 V , V D , max = 28 V , V D , A = 12 V , I D , max = 1.7 A , θ M = 1.1 π and θ A = 0.8 π . Adapted with permission from [7].
Figure 2. Theoretical ET PA and LM-ET PA model performances, evaluated for V K = 6 V , V D , max = 28 V , V D , A = 12 V , I D , max = 1.7 A , θ M = 1.1 π and θ A = 0.8 π . Adapted with permission from [7].
Preprints 210582 g002
Figure 3. Photograph of the fabricated LM-ET PA prototype together with a schematic representation of the experimental characterization setup. Adapted with permission from [7].
Figure 3. Photograph of the fabricated LM-ET PA prototype together with a schematic representation of the experimental characterization setup. Adapted with permission from [7].
Preprints 210582 g003
Figure 4. Photograph of the complete measurement setup.
Figure 4. Photograph of the complete measurement setup.
Preprints 210582 g004
Figure 5. Measured clouds of the considered performance metrics: (a) P out , (b) gain, (c) PAE, and (d) IMD.
Figure 5. Measured clouds of the considered performance metrics: (a) P out , (b) gain, (c) PAE, and (d) IMD.
Preprints 210582 g005
Figure 6. Representative Pareto diagrams obtained from the customized multi-objective synthesis of admissible shaping-function triplets. Each point corresponds to one complete control strategy u ( P i n , M ) . The highlighted fronts identify the non-dominated shaping solutions and directly quantify the achievable tradeoffs among G flat , P o u t ¯ , P A E ¯ , and I M D ¯ .
Figure 6. Representative Pareto diagrams obtained from the customized multi-objective synthesis of admissible shaping-function triplets. Each point corresponds to one complete control strategy u ( P i n , M ) . The highlighted fronts identify the non-dominated shaping solutions and directly quantify the achievable tradeoffs among G flat , P o u t ¯ , P A E ¯ , and I M D ¯ .
Preprints 210582 g006
Figure 7. Representative shaping-function triplets associated with selected Pareto-optimal solutions. The reported trajectories describe the evolution of the control variables as functions of P in , M and provide the physical implementation of the different trade-offs identified on the Pareto fronts.
Figure 7. Representative shaping-function triplets associated with selected Pareto-optimal solutions. The reported trajectories describe the evolution of the control variables as functions of P in , M and provide the physical implementation of the different trade-offs identified on the Pareto fronts.
Preprints 210582 g007
Figure 8. Resulting performance trajectories obtained by applying the shaping functions reported in Fig. Figure 7. The curves highlight how different Pareto-optimal control laws translate into distinct compromises among gain behavior, output power capability, efficiency, and linearity.
Figure 8. Resulting performance trajectories obtained by applying the shaping functions reported in Fig. Figure 7. The curves highlight how different Pareto-optimal control laws translate into distinct compromises among gain behavior, output power capability, efficiency, and linearity.
Preprints 210582 g008
Table 1. LM-ET special cases with BM reference case. OPT cells are colored with respect to the BM row, using gradual shades: green for improvement, red for degradation, yellow for tie.
Table 1. LM-ET special cases with BM reference case. OPT cells are colored with respect to the BM row, using gradual shades: green for improvement, red for degradation, yellow for tie.
Preprints 210582 i001
Disclaimer/Publisher’s Note: The statements, opinions and data contained in all publications are solely those of the individual author(s) and contributor(s) and not of MDPI and/or the editor(s). MDPI and/or the editor(s) disclaim responsibility for any injury to people or property resulting from any ideas, methods, instructions or products referred to in the content.
Copyright: This open access article is published under a Creative Commons CC BY 4.0 license, which permit the free download, distribution, and reuse, provided that the author and preprint are cited in any reuse.
Prerpints.org logo

Preprints.org is a free preprint server supported by MDPI in Basel, Switzerland.

Subscribe

Disclaimer

Terms of Use

Privacy Policy

Privacy Settings

© 2026 MDPI (Basel, Switzerland) unless otherwise stated