Preprint
Article

This version is not peer-reviewed.

Optical Rotatory Dispersion of Poly(l-Lactic Acid) (PLLA) in 19 Solvents and Study of PLLA Complexation with Polyphenylacetylene (PPA) in Solution

Submitted:

21 April 2026

Posted:

22 April 2026

You are already at the latest version

Abstract
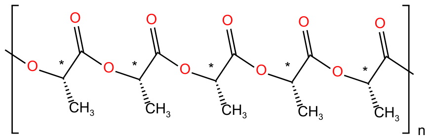
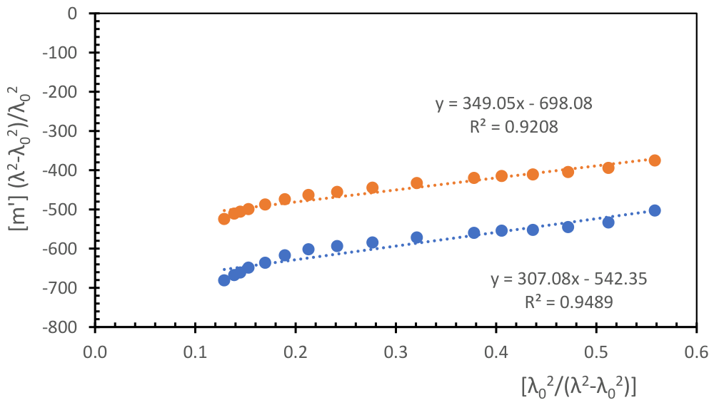
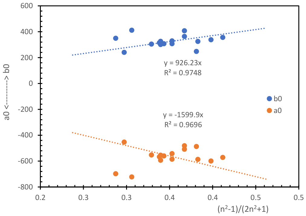
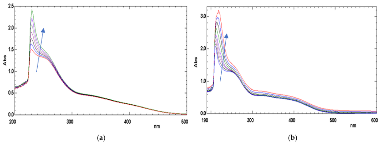
Poly(l-lactic acid) or poly(l-lactide) (PLLA) is an optically active polymer derived from renewable sources and fully biodegradable. It is known that PLLA assumes a left-handed helix in the solid state and also in solution it still keeps a certain degree of helical structure. Here we examine the Optical Rotatory Dispersion (ORD) behavior of two grades of PLLA (medium molecular weight and hexadecyl-terminated or a high molecular weight for 3D printing) in 13 different solvents and through the Moffitt-Yang equation of the ORD data. Furthermore, the ORD data of PLLA in additional 6 solvents were taken from literature and analyzed with the Moffitt-Yang approach. The results suggest that also in solution PLLA maintain the left-handed helix and the most structurizing and helicogenic solvents for PLLA are ethyl acetate, acetonitrile, and certain chlorinated solvents. The equilibrium association constant (K) and other thermodynamic parameters (ΔG°, ΔH° and ΔS°) between PLLA and polyphenylacetylene (PPA another helical polymer in the solid state and in solution) were determined in trichloromethane, dichloromethane and tetrahydrofuran. The K values found suggest a strong helix-helix interaction between the two polymers. The ORD analysis of the PLLA-PPA solutions show evidences of the extrinsic Cotton effect and confirming the chiral helicity induction between the two polymers with 1:1 complex formation.
Keywords: 
;  ;  ;  ;  ;  ;  ;  
Copyright: This open access article is published under a Creative Commons CC BY 4.0 license, which permit the free download, distribution, and reuse, provided that the author and preprint are cited in any reuse.
Prerpints.org logo

Preprints.org is a free preprint server supported by MDPI in Basel, Switzerland.

Subscribe

Disclaimer

Terms of Use

Privacy Policy

Privacy Settings

© 2026 MDPI (Basel, Switzerland) unless otherwise stated