Submitted:
13 April 2026
Posted:
14 April 2026
You are already at the latest version
Abstract
Keywords:
1. Introduction
2. Analysis
2.1. Electromagnetic Field
2.2. Temperature Field
2.3. The Electro-Thermal Problem in Dimensionless Form
3. Results and Discussion
3.1. Wall Stabilized Arcs
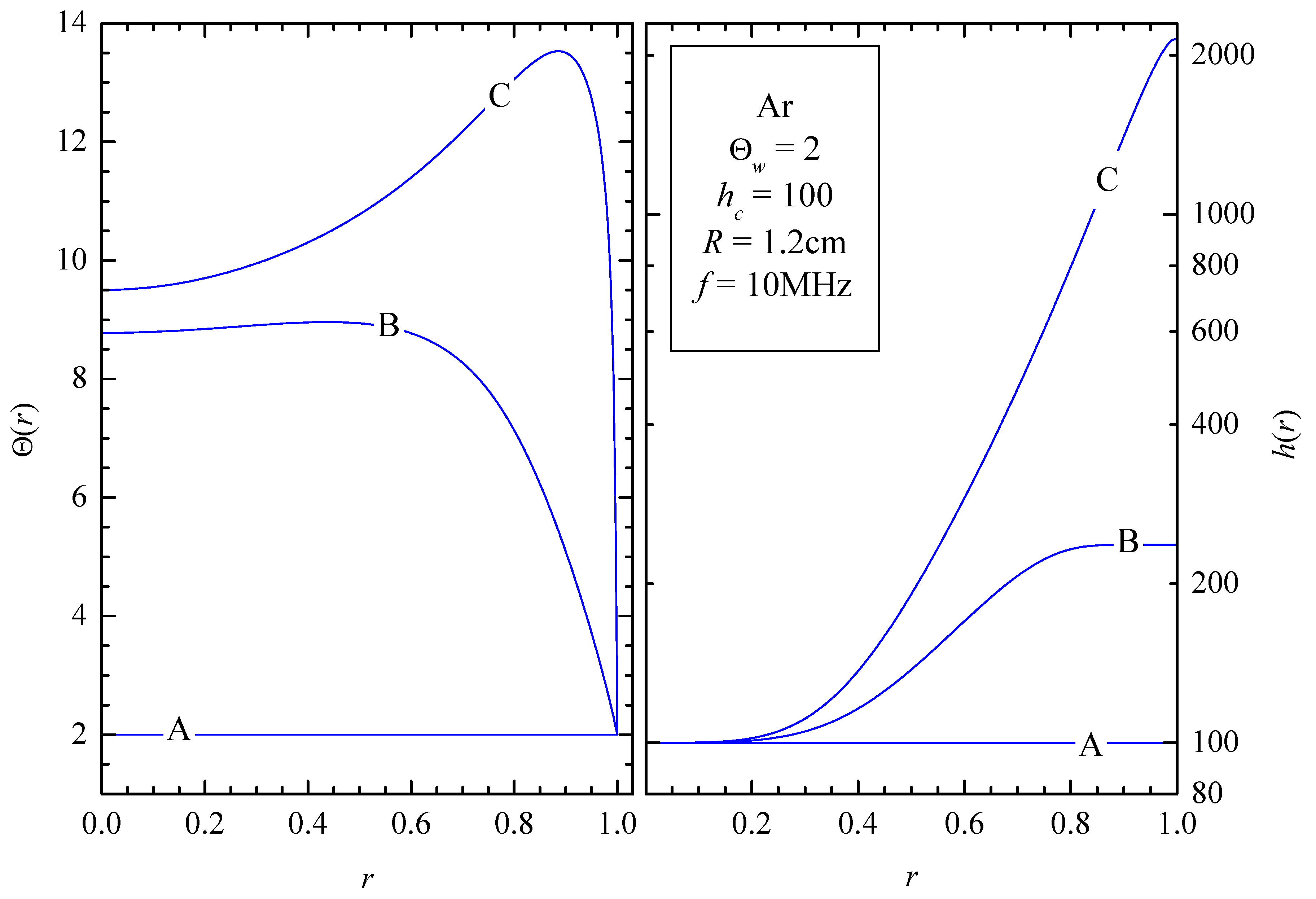
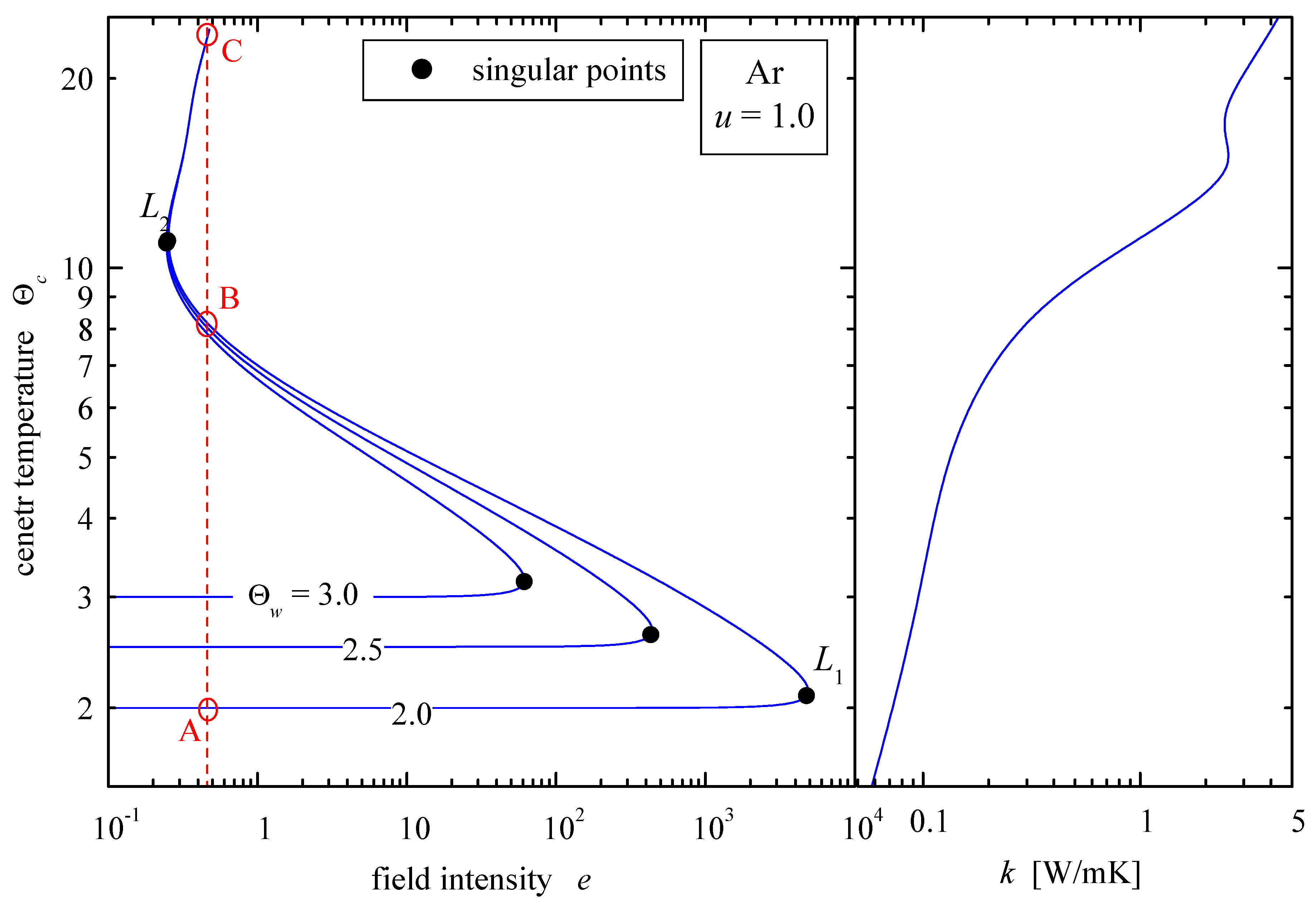
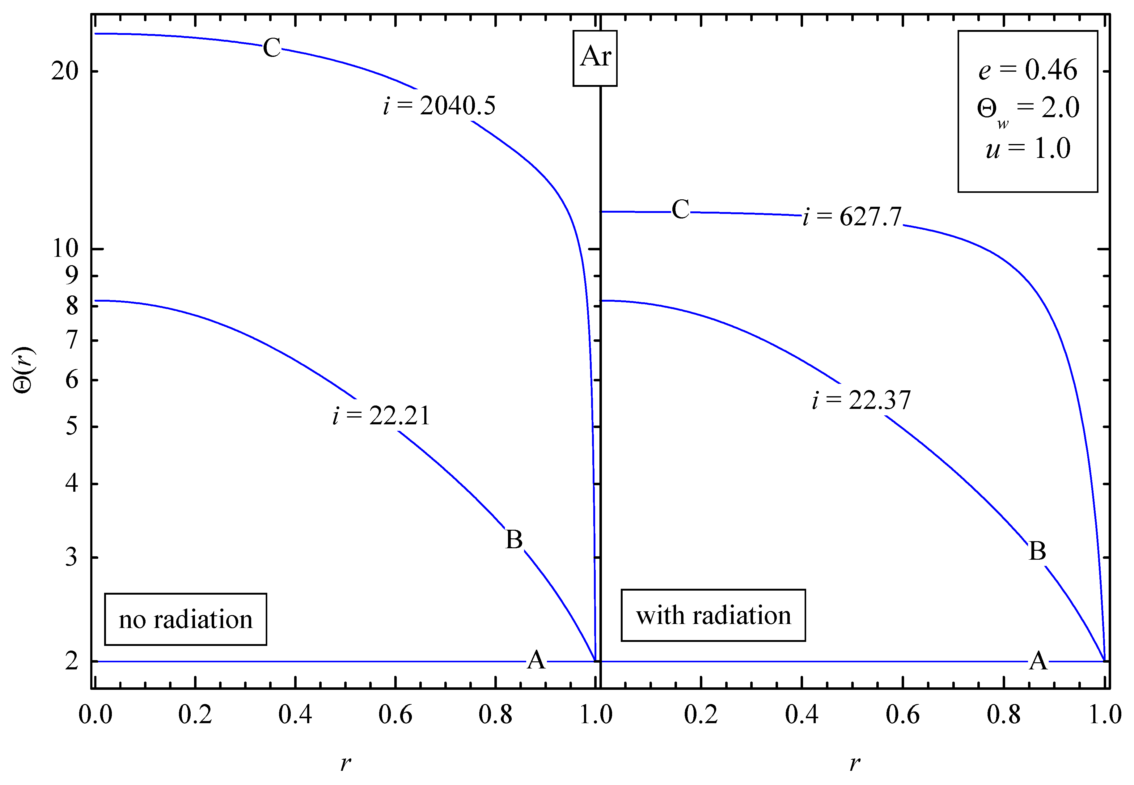
3.1.1. Argon
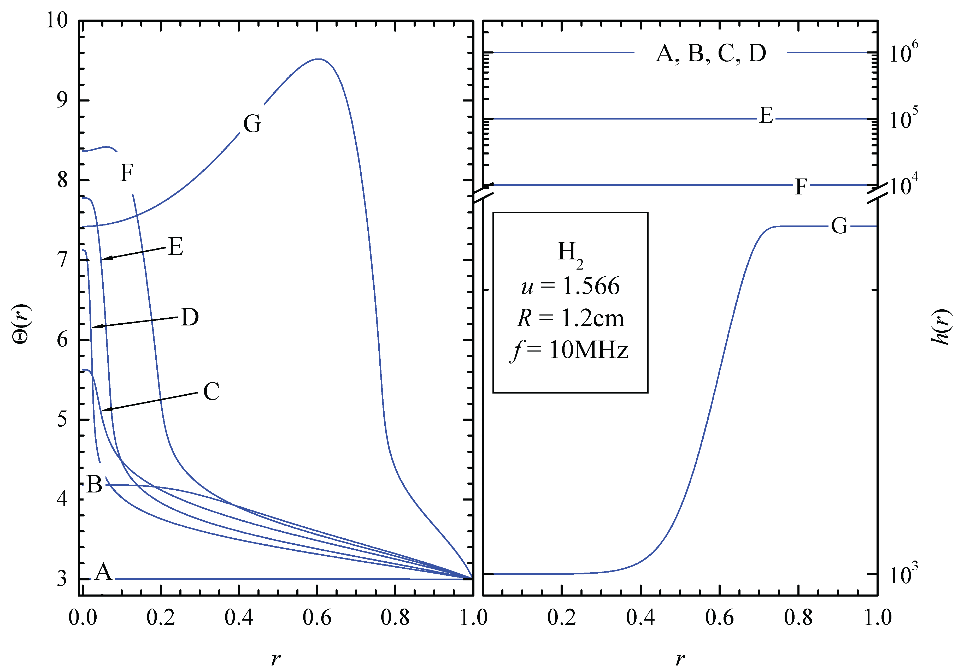
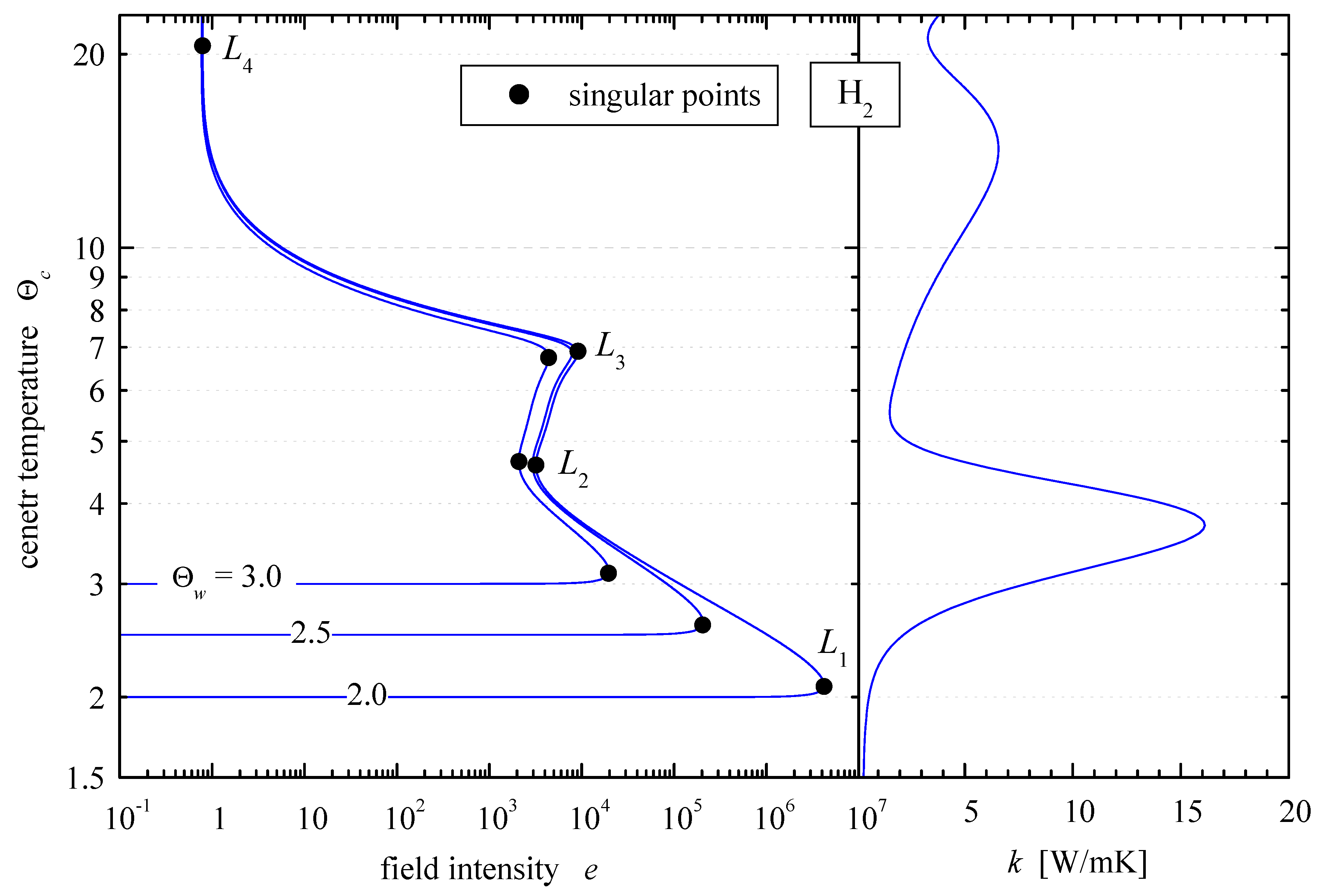
3.1.2. Hydrogen
3.2. Inductively Coupled Plasmas



4. Summary and Conclusions
Nomenclature
| scaled electric field amplitude | [-] | |
| electric field amplitude | [V/m] | |
| scaled magnetic field amplitude | [-] | |
| magnetic field amplitude | [A/m] | |
| current, Eq.(10) | [A] | |
| thermal conductivity | [W/(mK)] | |
| scaled radiative flux density | [-] | |
| radiative flux density | [W/m3] | |
| dimensionless radius | [-] | |
| scaled electric conductivity | [-] | |
| time | [sec] | |
| temperature | [K] | |
| Conduction-Radiation Parameter (CRP), Eq.(18) | [-] | |
| axial coordinate, Figure 1 | [-] | |
| Greek Symbols | ||
| net emission coefficient | [W/m3sr] | |
| circumferential coordinate, Figure 1 | [rad] | |
| dimensionless temperature | [-] | |
| scaled thermal conductivity | [-] | |
| radius, Figure 1 | [m] | |
| electric conductivity | [S/m] | |
| dimensionless time | [-] | |
| electric and magnetic fields phase | [rad] | |
| frequency | [rad/sec] | |
| scaled frequency | [-] | |
| Subscripts | ||
| center line, . | ||
| ref | reference value | |
| wall, . | ||
| Abbreviations | ||
| CRP | Conduction–Radiation Parameter | |
| ICP | Inductively Coupled Plasma | |
| LTE | local thermodynamic equilibrium | |
| rf | radio frequency | |
References
- Reed, Th. B. “Induction-Coupled Plasma Torch”. J. Appl. Phys. 1961, 32, 821–824. [Google Scholar] [CrossRef]
- Boulos, M. I.; Fauchais, P. L.; Pfender, E. Handbook of Thermal Plasmas; Springer Nature Switzerland AG, 2023. [Google Scholar]
- Boulos, M. I.; Fauchais, P. L.; Heberlein, J. V. R. Thermal Spray Fundamentals: From Poweder to Part, 2nd ed.; Springer Nature Switzerland AG, 2021. [Google Scholar]
- Mensing, A. E.; Boedeker, L. R. “Theoretical investigations of R-F induction heated plasmas”. 1969, NASA CR–1312. [Google Scholar]
- Eckert, H. U.; Pridmore-Brown, D. C. Temperature Profiles in Argon Induction Plasmas: Theory and Experiment”. J. Appl. Phys. 1971, 42, 5051–5054. [Google Scholar] [CrossRef]
- Boulos, M. I. “The inductively coupled R.F. (radio frequency) plasma”. Pure & Appl. Chem. 1985, 57(9), 1321–1352. [Google Scholar]
- Shigeta, M.; Murphy, A. B. “Thermal plasmas for nanofabrication”. J. Phys. D: App. Phys. 2011, 44, 174025. [Google Scholar] [CrossRef]
- Wang, T.; et al. Micromachined CMOS LNA and VCO by CMOS-compatible ICP deep trench technology. IEEE Trans. Microw. Theory Techn 2006, 54(2), 580–588. [Google Scholar] [CrossRef]
- Yao, G.; Shi, W.-l. “Application of ICP etching in the fabrication of compound semiconductor device”. Semicond. Technol. 2007, 6. [Google Scholar]
- Fauchais, P. “Understanding plasma spraying”. J. Phys. D: Appl. Phys. 2004, 37(9), R86. [Google Scholar] [CrossRef]
- Meillot, E.; Vincent, S.; Le Bot, C.; Sarret, F.; Caltagirone, J.; Bianchi, L. “Numerical simulation of unsteady ArH2 plasma spray impact on a moving substrate”. Surf. Coat. Technol. 2015, 268, 257–265. [Google Scholar] [CrossRef]
- Niu, Y.; Bao, W.; Liu, D.; Li, X.; Liu, Y. “Analysis of enthalpy and energy conversion efficiency in high-power inductively coupled plasma”. Vacuum 2024, 225, 113220. [Google Scholar] [CrossRef]
- Kumar, S.; Munafò, A.; Jo, S. M.; Panesi, M. Investigation of non-equilibrium phenomena in nitrogen RF inductively coupled plasma discharges: a state-to-state approach. J. Phys. D: Appl. Phys. 2025, 58, 025204. [Google Scholar] [CrossRef]
- Fujino, T.; Yamauchi, M. “Numerical study of plasma-fluid characteristics and thrust performance of a low-power argon inductively coupled plasma electrothermal thruster”. J. Appl. Phys. 2020, 128, 173302. [Google Scholar] [CrossRef]
- Li, Y.-H.; Chen, Y.-C.; Liu, S.-W.; Aslan, A. R. “Prediction and optimization of thrust performance from plasma diagnostics in the inductively coupled plasma of an RF ion thruster”. Acta Astronautica 2023, 208, 130–141. [Google Scholar] [CrossRef]
- Durrant, S. F.; Ward, N. I. “Recent biological and environmental applications of laser ablation inductively coupled plasma mass spectrometry (LA-ICP-MS)”. J. Anal. At. Spectrom. 2005, 20(9), 821–829. [Google Scholar] [CrossRef]
- Ohno, T.; et al. “Determination of strontium 90 in environmental samples by triple quadrupole ICP-MS and its application to Fukushima soil samples”. J. Anal. At. Spectrom. 2018, 33(6), 1081–1085. [Google Scholar] [CrossRef]
- Inductively Coupled Spectrometry and its Applications; Hill, S. J., Ed.; John Wiley, 2006. [Google Scholar]
- Alavi, S.; Khayamian, T.; Mostaghimi, J. “Conical Torch: The Next-Generation Inductively Coupled Plasma Source for Spectrochemical Analysis”. Anal. Chem. 2018, 90, 3036–3044. [Google Scholar] [CrossRef] [PubMed]
- Serrano, R.; Grindlay, G.; Gras, L.; Mora, J. “Microwave-sustained inductively coupled atmospheric-pressure plasma (MICAP) for the elemental analysis of complex matrix samples”. Talanta 2024, 271, 125666. [Google Scholar] [CrossRef] [PubMed]
- Freeman, M.; Chase, J. “Energy-transfer mechanism and typical operating characteristics for the thermal rf plasma generator”. J. Appl. Phys. 1968, 39, 180–93. [Google Scholar] [CrossRef]
- Eckert, H. U. Analysis of thermal induction plasmas dominated by radial conduction losses”. J. Appl. Phys. 1970, 41, 1520–1528. [Google Scholar] [CrossRef]
- Pridmore-Brown, D. C. “Numerical Study of the Inductive Electrodeless Discharge”. J. Appl. Phys. 1970, 41, 3621–3625. [Google Scholar] [CrossRef]
- Eckert, H. U.; Pridmore-Brown, D. C. “Temperature Profiles in Argon Induction Plasmas: Theory and Experiment”. J. Appl. Phys. 1971, 42, 5051–5054. [Google Scholar] [CrossRef]
- Yoshida, T.; Nakagawa, K.; Harada, T.; Akashi, K. “New Design of a Radio-Frequency Plasma Torch”. Plasma Chem. Plasma Process. 1981, 1(1), 113–129. [Google Scholar] [CrossRef]
- Mostaghimi, J.; Proulx, P.; Boulos, M. I. “An analysis of the computer modeling of the flow and temperature fields in an inductively coupled plasma”. Numer. Heat Transf. 1985, 8, 187–201. [Google Scholar] [CrossRef]
- Mostaghimi, J.; Proulx., P.; Boulos, M. I. “A two-temperature model of the inductively coupled rf plasma”. J. Appl. Phys. 1987, 61, 1753–1760. [Google Scholar] [CrossRef]
- Chen, X.; Pfender, E. “Modeling of RF plasma torch with a metallic tube inserted for reactant injection”. Plasma Chem. Plasma Process. 1991, 11, 103–128. [Google Scholar] [CrossRef]
- Utyuzhnikov, S.; Konyukhov, A.; Rudenko, D.; Vasil’evskii, S.; Kolesnikov, A.; Chazot, O. “Simulation of subsonic and supersonic flows in inductive plasmatrons”. AIAA J. 2004, 42, 1871–7. [Google Scholar] [CrossRef]
- Munafò, A.; Alfuhaid, S. A.; Cambier, J.-L.; Panesi, M. “A tightly coupled non-equilibrium model for inductively coupled radio-frequency plasmas”. J. Appl. Phys. 2015, 118, 133303. [Google Scholar] [CrossRef]
- Rat, V.; Murphy, A. B.; Aubreton, J.; Elchinger, M. F.; Fauchais, P. “Treatment of non-equilibrium phenomena in thermal plasma flows”. J. Phys. D: Appl. Phys. 2008, 41, 183001. [Google Scholar] [CrossRef]
- Zhang, W.; Lani, A.; Panesi, M. “Analysis of non-equilibrium phenomena in inductively coupled plasma generators”. Phys. Plasmas 2016, 23, 073512. [Google Scholar] [CrossRef]
- Yu, M.; et al. “Thermochemical Nonequilibrium 2D Modeling of Nitrogen Inductively Coupled Plasma Flow”. Plasma Sci. Technol. 2015, 17(9), 749–760. [Google Scholar] [CrossRef]
- Christen, Th.; Peinke, E. “Bifurcation theory of ac electric arcing”. J. Phys. D: Appl. Phys. 2012, 45, 065202. [Google Scholar] [CrossRef]
- Rat, V.; Mavier, F.; Coudert, J. F. “Electric Arc Fluctuations in DC Plasma Spray Torch”. Plasma Chem. Plasma Process. 2017, 37, 549–580. [Google Scholar] [CrossRef]
- Almeida, P. G. C.; Benilov, M. S.; Faria, M. J. Multiple solutions in the theory of dc glow discharges. Plasma Sources Sci. Technol. 2010, 19, 19025019. [Google Scholar] [CrossRef]
- Benilov, M. S. “Multiple solutions in the theory of dc glow discharges and cathodic part of arc discharges. Application of these solutions to the modeling of cathode spots and patterns: a review”. Plasma Sources Sci. Technol. 2014, 23, 054019. [Google Scholar] [CrossRef]
- Trelles, J. P. “Pattern formation and self-organization in plasmas interacting with surfaces”. J. Phys. D: Appl. Phys. 2016, 49, 393002. [Google Scholar] [CrossRef]
- Elenbaas, W. “Die Temperatur des Quecksilberbogens”. Physica 1934, 1, 211–224. [Google Scholar] [CrossRef]
- Heller, G. “Dynamical Similarity Laws of the Mercury High Pressure Discharge”. J. Appl. Phys. 1935, 6, 389–394. [Google Scholar] [CrossRef]
- Lowke, J. J. “Characteristics of Radiation-Dominated Electric Arcs”. J. Appl. Phys. 1970, 41, 2588–2600. [Google Scholar] [CrossRef]
- Whitman, A. M.; Cohen, I. M. “Effect of electrical-conductivity variations on the characteristics of arc discharges”. J. Appl. Phys. 1974, 45, 3813–3816. [Google Scholar] [CrossRef]
- Kuiken, H. K. An asymptotic treatment of the Elenbaas-Heller equation for a radiating wall-stabilized high-pressure gas-discharge arc. J. Appl. Phys. 1991, 70(10), 5282–5291. [Google Scholar] [CrossRef]
- Shaw, B. D. “Regular perturbation solution of the Elenbaas-Heller equation”. J. Appl. Phys. 2006, 99(3), 034906. [Google Scholar] [CrossRef]
- Liao, M.-R.; Li, H.; Xia, W.-D. “Approximate explicit analytic solution of the Elenbaas-Heller equation”. J. Appl. Phys. 2016, 120, 063304. [Google Scholar] [CrossRef]
- Gueye, P.; Cressault, Y.; Rohani, V.; Fulcheri, L. “A simplified model for the determination of current-voltage characteristics of a high pressure hydrogen plasma arc”. J. Appl. Phys. 2017, 121, 073302. [Google Scholar] [CrossRef]
- Zhovtyansky, V.; Kolesnikova, E.; Lelyukh, Yu.; Tkachenko, Ya. “Electric arc I–V modeling and related plasma spectrometry issues”. AIP Advances 2022, 12, 115115. [Google Scholar] [CrossRef]
- Philips, R. L. “Theory of the non-stationary arc column”. Br. J. Appl. Phys. 1967, 18, 65–78. [Google Scholar] [CrossRef]
- Kortshagen, U.; Gibson, N. D.; Lawler, J. E. “On the E–H mode transition in RF inductive discharges”. J. Phys. D: Appl. Phys. 1996, 1224–1236. [Google Scholar] [CrossRef]
- Suzuki, K.; Nakamura, K.; Ohkubo, H.; Sugai, H. “Power transfer efficiency and mode jump in an inductive RF discharge”. Plasma Sources Sci. Technol. 1998, 7, 13–20. [Google Scholar] [CrossRef]
- Cunge, G.; Crowley, B.; Vender, D.; Turner, M. M. “Characterization of the E to H transition in a pulsed inductively coupled plasma discharge with internal coil geometry: bi-stability and hysteresis”. Plasma Sources Sci. Technol. 1999, 8, 576–586. [Google Scholar] [CrossRef]
- Ostrikov, K. N.; Xu, S.; Lee, S. Bistability and Hysteresis in Inductively Coupled Plasmas. Phys. Scr. 2000, 62, 189–193. [Google Scholar] [CrossRef]
- Moon, J.-H.; Kim, K.-H.; Hong, Y.-H.; Lee, M.-Y.; Chung, C.-W. “Hysteresis and current reduction during E–H mode transition in an inductively coupled plasma”. Phys. Plasmas 2020, 27, 033511. [Google Scholar] [CrossRef]
- Landau, L. D.; Lifshitz, E. M.; Pitaevskii, L. P. Electrodynamics of Continuous Media; Pergamon Press, 2008. [Google Scholar]
- Krikkis, R. N. “Conjugate direct resistance heating of metallic plates. Multiplicities and stability”. Physics of Fluids 2024, 36, 115108. [Google Scholar] [CrossRef]
- Krikkis, R. N. On the Thermal Dynamics of Metallic and Superconducting Wires. Bifurcations, Quench, the Destruction of Bistability and Temperature Blowup. J 2021, vol. 4, 803–823. [Google Scholar] [CrossRef]
- Ascher, U. M.; Mattheij, R. M. M.; Russel, R. D. Numerical solution of boundary value problems for ordinary differential equations, 2nd ed.; SIAM: Philadelphia, 1995. [Google Scholar]
- Seydel, R. Practical bifurcation and stability analysis, 3rd ed.; Springer-Verlag: New York, 2010. [Google Scholar]
- Cressault, Y.; Murphy, A. B.; Teulet, Ph.; Gleizes, A.; Schnick, M. “Thermal plasma properties for Ar–Cu, Ar–Fe and Ar–Al mixtures used in welding plasmas processes: II. Transport coefficients at atmospheric pressure”. J. Phys. D: Appl. Phys. 2013, 46, 415207. [Google Scholar] [CrossRef]
- Cressault, Y.; Gleizes, A. “Thermal plasma properties for Ar–Al, Ar–Fe and Ar–Cu mixtures used in welding plasmas processes: I. Net emission coefficients at atmospheric pressure”. J. Phys. D: Appl. Phys. 2013, 46 415206. [Google Scholar] [CrossRef]
- Emmons, H. W.; Lang, R. I. “Poiseuille Plasma Experiment”. Phys. Fluids 1962, 5(12), 1489–1500, (Ref 1). [Google Scholar] [CrossRef]
- Emmons, H. W. Arc Measurement of High-Temperature Gas Transport properties Ref3. Phys. Fluids 1967, 10(6), 1125–1136, (Ref3). [Google Scholar] [CrossRef]
- Lukens, L. A.; Incropera, F. P. “Electric field intensity and wall heat transfer measurements for the heating region of an atmospheric cascade arc”. Int. J. Heat Mass Transfer 1972, 15, 935–952, (Ref2). [Google Scholar] [CrossRef]
- Maecker, H. “Messung und Auswertung von Bogencharakteristiken (Ar, N2)”. Z. Physik 1960, 158, 392–404, (Ref4). [Google Scholar] [CrossRef]












Disclaimer/Publisher’s Note: The statements, opinions and data contained in all publications are solely those of the individual author(s) and contributor(s) and not of MDPI and/or the editor(s). MDPI and/or the editor(s) disclaim responsibility for any injury to people or property resulting from any ideas, methods, instructions or products referred to in the content. |
© 2026 by the author. Licensee MDPI, Basel, Switzerland. This article is an open access article distributed under the terms and conditions of the Creative Commons Attribution (CC BY) license.