Submitted:
12 April 2026
Posted:
14 April 2026
You are already at the latest version
Abstract

Keywords:
1. Introduction
2. Materials and Methods

3. Results and Discussion
4. Conclusions and Recommendations
Author Contributions
Funding
Institutional Review Board Statement
Data Availability Statement
Conflicts of Interest
References
- Besiktepe, S. Physical Oceanography of the Aegean Sea: A Review; The Aegean Sea Marine Biodiversity, Fisheries, Conservation and Governance; Publication No: 41, Istanbul, Türkiye, 2015.
- Gertman, I.; Pinardi, N.; Popov, Y.; Hecht, A. Aegean Sea Water Masses During the Early Stages of the Eastern Mediterranean Climatic Transient (1988–1990). Journal of Physical Oceanography 2006, 36(9), 1841-1859.
- Skliris, N.; Sofianos, S.S.; Gkanasos, A.; Axaopoulos, P.; Mantziafou, A.; Vervatis, V. Long-term sea surface temperature variability in the Aegean Sea. Advances in Oceanography and Limnology 2011, 2, 125-139.
- Salihoglu, B.; Ozturk, B. (Ed.) Climate Change and its Effects on Turkiye Seas; Turkish Marine Research Foundation; Publication no: 60, İstanbul, Türkiye, 2021.
- Salihoglu, B.; Salihoglu, B.F.; Oguz, T. The Effects of Climate Change on the Black Sea and Aegean Sea Ecosystems and Dynamics; TUBITAK ÇAYDAG, Project No: 108Y114, Erdemli-Mersin, Türkiye, 2011.
- Anonymous. Republic of Türkiye Ministry of Environment, Urbanization and Climate Change, General Directorate of Environmental Impact Assessment, Permit and Inspection, Integrated Marine Pollution Monitoring Program; 2014-2022 Aegean Sea Summary Report, 2026.
- Minareci, O.; Taskın, E.; Minareci, E. Physico-Chemical Parameters of Sea Water at Turkey Coasts. Fresenius Environmental Bulletin 2018, 27(11), 7236-7243.
- Anonymous. Final Report of the Project on Determining Sensitive Areas and Water Quality Targets on a Basin Basis in Türkiye; Project of the Ministry of Forestry and Water Affairs of the Republic of Türkiye; Ministry of Forestry and Water Affairs General Directorate of Water Management, 2016.
- Ferreira, J.G.; Andersen, J.H.; Borja, A.; Bricker, S.B.; Camp, J.; Cardoso da Silva, M.; Garcés, E.; Heiskanen, A.S.; Humborg, C.; Ignatiades, L.; Lancelot, C.; Menesguen, A.; Tett, P.; Hoepffner, N.; Claussen, U. Marine Strategy Framework Directive; Task Group 5 Report Eutrophication (April 2010); European Union and ICES, 2010. [CrossRef]
- Anonymous. Republic of Türkiye Ministry of Environment, Urbanization and Climate Change, General Directorate of Environmental Impact Assessment, Permit and Inspection, Integrated Marine Pollution Monitoring Program; 2014-2019 Aegean Sea Summary Report, 2021.
- Dogan Saglamtimur, N.; Saglamtimur, B. Eutrophication Status and Scenarios in Aquatic Environments. Omer Halisdemir University Journal of Engineering Sciences 2018, 7(1), 75-82. [CrossRef]
- APHA, AWWA, WEF. Standard Methods for the Examination of Water and Wastewater; 21st Ed., Washington, 1995.
- Official Gazette. Water Pollution Control Regulation; No: 25687, 2004.
- Official Gazette. Regulation on the Amendment of the Above Ground Water Quality Regulation; No: 29797, 2016.
- Kucuksezgin, F.; Pazi, I.; Kocak, F.; Gonul, T.; Duman, M.; Eronat, H. The Coasts of Turkey, in: World Seas: An Environmental Evaluation; Elsevier, pp. 307–332, 2019. [CrossRef]
- Sisman, E. Trend Analysis for the Cooling Period for Sea Water Temperatures in Aegean and Mediterranean Coasts. Artvin Çoruh University, Natural Hazards Application and Research Center. Journal of Natural Hazards and Environment 2019, 5(2), 291-304. [CrossRef]
- Kaymakcı Basaran, A.; Aksu, M.; Egemen, O. Monitoring the Impacts of the Offshore Cage Fish Farm on Water Quality Located in Ildır Bay (Izmir-Aegean Sea). Journal of Agricultural Sciences 2006, 13(1), 22-28.
- Durallı, E.; Egemen, O. Investigation of Pollution and Some Physico-chemical Parameters in the Vicinity of Urla Harbour. Ege University Journal of Fisheries and Aquatic Sciences 2009, 26(1), 81–85.
- Kisacik, T. Determination of the Communities of Pico, Nano and Microplankton in the Aegean Sea. Doctoral Thesis; University of Dokuz Eylül, Institute of Science, Izmir, Turkey, 2018.
- Minareci, O.; Yavuz, M.; Cakir, M. Assessment of the Surface Water Quality in Eastern Marmara Sea. Fresenius Environmental Bulletin 2019, 28(3), 2121-2132.
- Cakal Arslan, O.; Parlak, H.; Boyacioglu, M.; Karaaslan, M.A. Determination of Sediment and Water Contamination by Sea Urchin Embryotoxicity Test with Part Centrotus Lividus and Arbacia Lixula. Fresenius Environmental Bulletin 2017, 26(6), 3956-3962.
- Turkoglu, M.; Yenici, E.; Işmen, A.; Kaya, S. Variations of Nutrient and Chlorophyll-a in the Çanakkale Strait (Dardanelles). Ege University Journal of Fisheries & Aquatic Sciences 2004, 21(1-2), 93-98.












| No | Stations | Location |
|---|---|---|
| St1 | Enez | 40°41’07”N 26°03’39”E |
| St2 | Saros Bay | 40°30’30”N 26°40’35”E |
| St3 | Gökçeada | 40°14’11”N 25°54’32”E |
| St4 | Yeniköy | 39°55’46”N 26°09’34”E |
| St5 | Bozcaada | 39°47’58”N 26°04’52”E |
| St6 | Babakale | 39°28’12”N 26°13’02”E |
| St7 | Altınoluk | 39°33’59”N 26°47’42”E |
| St8 | Ayvalık | 39°16’10”N 26°36’55”E |
| St9 | Dikili | 39°02’01”N 26°48’03”E |
| St10 | Çandarlı | 38°54’46”N 26°48’56”E |
| St11 | Foça | 38°44’29”N 26°44’26”E |
| St12 | Bostanlı | 38°27’32”N 27°05’19”E |
| St13 | Urla | 38°24’33”N 26°47’55”E |
| St14 | Ildır | 38°23’53”N 26°28’31”E |
| St15 | Çeşme | 38°22’30”N 26°18’58”E |
| St16 | Sığacık | 38°10’28”N 26°46’08”E |
| St17 | Kuşadası | 37°42’28”N 27°11’33”E |
| St18 | Didim | 37°25’16”N 27°12’58”E |
| St19 | Güllük | 37°12’29”N 27°33’55”E |
| St20 | Bodrum | 36°59’58”N 27°22’28”E |
| St21 | Akyaka | 37°02’39”N 28°16’00”E |
| St22 | Gökova | 36°47’39”N 28°01’02”E |
| St23 | Datça | 36°42’06”N 27°41’19”E |
| St24 | Bozburun 1 | 36°40’27”N 28°02’57”E |
| St25 | Bozburun 2 | 36°34’47”N 28°03’08”E |
| PARAMETERS | pH | Temperature (°C) |
Dissolved oxygen (mg/L) |
Salinity (‰) |
Turbidity (mg/L) |
Conductivity (µS/cm) |
Phosphate (µg/L) |
Ammonium nitrogen (µg/L) |
Nitrite nitrogen (µg/L) |
Nitrate nitrogen (µg/L) |
Chlorophyll a (µg/L) |
|
|---|---|---|---|---|---|---|---|---|---|---|---|---|
| STATIONS | ||||||||||||
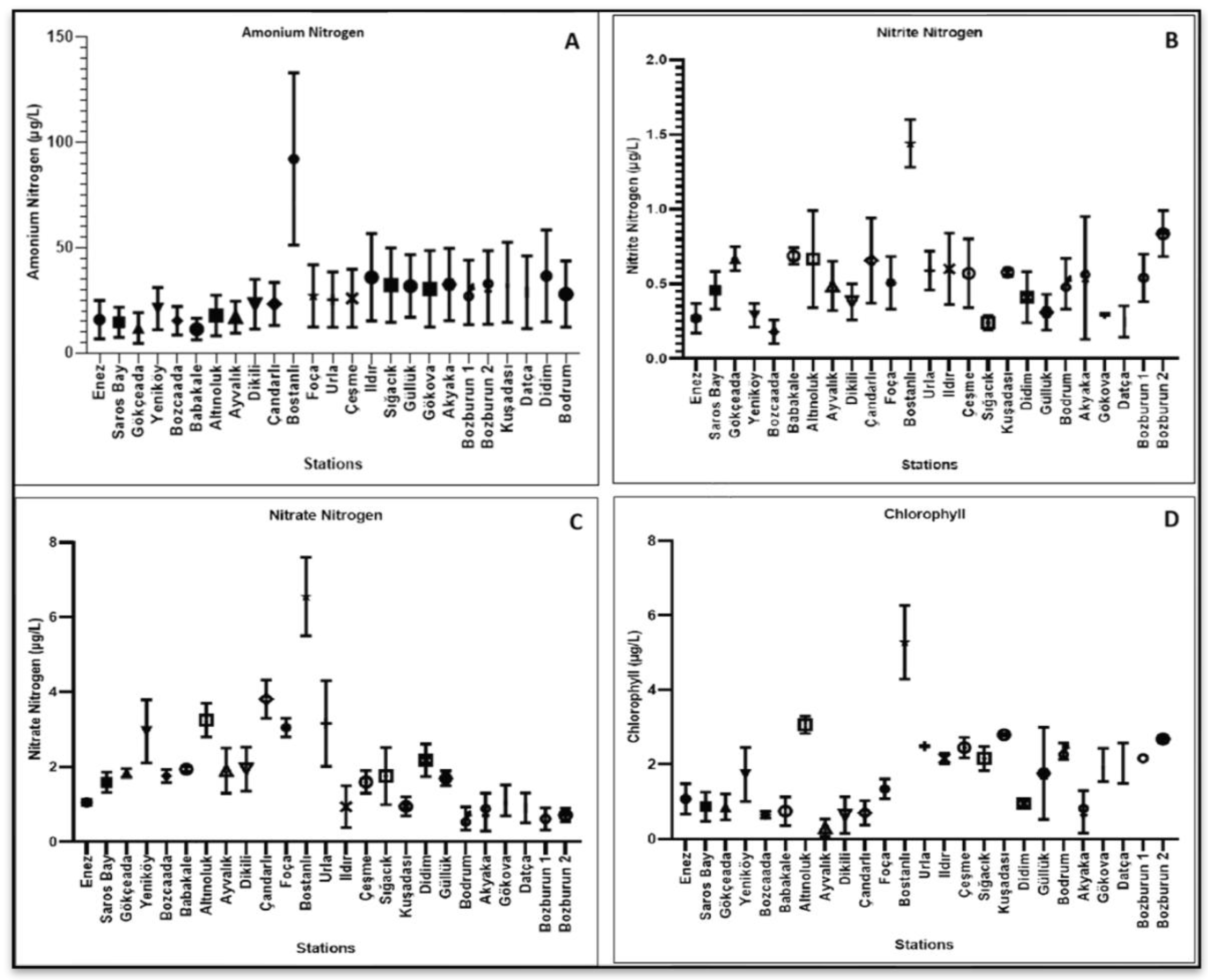
| Enez | 8.24±0.01 | 20.9±0.01 | 8.55±1.41 | 32.58±3.85 | 24.18±2.51 | 48.275±5.13 | 9.11±6.25 | 20.35±2.37 | 0.27±0.14 | 1.06±0.12 | 1.08±0.57 | |
| Saros Bay | 8.19±0.03 | 19.25±0.85 | 7.73±0.11 | 32.80±2.76 | 24.33±1.80 | 48.475±3.78 | 8.97±5.08 | 15.48±11.98 | 0.46±0.18 | 1.59±0.38 | 0.87±0.55 | |
| Gökçeada | 8.18±0.04 | 21.55±1.70 | 7.35±0.57 | 30.40±2.05 | 22.70±1.34 | 45.375±2.72 | 8.12±5.63 | 15.51±0.96 | 0.67±0.11 | 1.84±0.16 | 0.86±0.50 | |
| Yeniköy | 8.14±0.09 | 20.1±0.21 | 7.40±0.14 | 34.23±4.14 | 25.30±2.76 | 50.55±5.52 | 8.69±4.34 | 22.53±16.62 | 0.29±0.11 | 2.95±1.20 | 1.73±1.02 | |
| Bozcaada | 8.28±0.05 | 19.9±1.41 | 8.28±0.53 | 32.48±2.09 | 24.05±1.34 | 48.125±2.79 | 9.40±5.37 | 17.14±9.93 | 0.18±0.11 | 1.76±0.24 | 0.65±0.13 | |
| Babakale | 8.15±0.01 | 22.28±1.66 | 7.45±0.57 | 34.20±2.47 | 25.20±1.63 | 50.40±3.11 | 8.75±4.79 | 13.46±4.99 | 0.69±0.08 | 1.94±0.09 | 0.75±0.54 | |
| Altınoluk | 8.19±0.07 | 21.93±0.82 | 8.13±0.95 | 33.78±2.37 | 24.95±1.56 | 49.225±4.07 | 9.26±4.49 | 22.51±3.68 | 0.67±0.46 | 3.25±0.64 | 3.06±0.33 | |
| Ayvalık | 8.20±0.01 | 22.08±1.17 | 8.05±0.92 | 32.88±6.97 | 23.58±3.50 | 48.475±9.37 | 8.51±5.29 | 18.89±11.34 | 0.49±0,23 | 1.90±0.85 | 0.30±0.33 | |
| Dikili | 8.26±0.04 | 21.43±0.25 | 8.55±1.77 | 34.65±2.26 | 25.55±1.48 | 51.025±3.01 | 9.19±5.92 | 24.12±20.25 | 0.38±0.17 | 1.95±0.83 | 0.64±0.70 | |
| Çandarlı | 8.28±0.01 | 20.08±1.52 | 8.38±1.59 | 33.30±2.69 | 24.63±1.73 | 48.975±3.22 | 8.87±5.14 | 26.24±14.49 | 0.66±0.40 | 3.81±0.72 | 0.70±0.46 | |
| Foça | 8.11±0.14 | 20.28±2.79 | 7.93±0.53 | 34.00±3.82 | 25.08±2.51 | 50,175±4.91 | 9.12±5.02 | 27.68±25.56 | 0.51±0.25 | 3.05±0.35 | 1.34±0.38 | |
| Bostanlı | 8.10±0.07 | 21.85±0.35 | 7.30±0.71 | 32.58±0.39 | 24.15±0.21 | 48.25±0.49 | 17.57±13.95 | 108.18±44.03 | 1.44±0.23 | 6.55±1.48 | 5.28±1.40 | |
| Urla | 8.22±0.04 | 20.30±1.13 | 8.45±0.21 | 34.73±2.09 | 25.58±1.38 | 51.125±2.72 | 8.95±5.19 | 26.25±22.56 | 0.59±0.18 | 3.16±1.62 | 2.49±0.03 | |
| Ildır | 8.20±0.09 | 21.98±2.51 | 7.73±0.88 | 33.80±1.98 | 25.15±1.56 | 50.225±3.08 | 9.29±5.62 | 36.00±35.92 | 0.60±0.34 | 0.94±0.79 | 2.15±0.20 | |
| Çeşme | 8.29±0.02 | 21.28±0.74 | 8.68±0.46 | 34.95±2.33 | 25.75±1.56 | 51.45±3.11 | 9.02±4.92 | 26.70±23.69 | 0.57±0.33 | 1.60±0.42 | 2.45±0.39 | |
| Sığacık | 8.24±0.07 | 21.43±0.88 | 8.35±1.48 | 34.80±3.18 | 25.55±2.19 | 51.075±4.35 | 8.81±5.19 | 32.79±30.60 | 0.24±0.07 | 1.76±1.07 | 2.16±0.46 | |
| Kuşadası | 8.21±0.05 | 21.33±0.95 | 7.68±0.60 | 32.98±1.94 | 24.30±1,48 | 48.575±2.93 | 9.53±4.40 | 33.77±32.98 | 0.58±0.04 | 0.95±0.35 | 2.80±0.05 | |
| Didim | 8.24±0.06 | 22.33±0.95 | 8.98±2.09 | 35.93±3.22 | 26.38±2.09 | 52.675±4.14 | 10.71±4.53 | 36.21±37.83 | 0.41±0.24 | 2.18±0.62 | 0.95±0.16 | |
| Güllük | 8.19±0.06 | 23.20±1.13 | 7.55±0.57 | 35.80±3.39 | 26.28±2.16 | 52.5±4.38 | 8.97±4.73 | 34.40±24.08 | 0.31±0.17 | 1.70±0.28 | 1.76±1.75 | |
| Bodrum | 8.21±0.08 | 22.90±2.19 | 8.18±1.10 | 36.03±3.15 | 26.45±2.05 | 52.80±4.03 | 9.07±4.22 | 28.28±27.20 | 0.50±0.24 | 0.63±0.43 | 2.35±0.31 | |
| Akyaka | 8.20±0.04 | 23.98±0.60 | 7.10±0.64 | 32.60±0.92 | 24.18±0.60 | 48.35±1.27 | 9.21±4.77 | 33.55±29.61 | 0.54±0.58 | 0.80±0.71 | 0.73±0.81 | |
| Gökova | 8.22±0.06 | 23.65±1.70 | 7.00±0.14 | 35.63±3.08 | 26.13±1.94 | 52.2±3.89 | 8.91±4.67 | 30.17±31.41 | 0.30±0.01 | 1.11±0.58 | 1.99±0.62 | |
| Datça | 8.27±0.05 | 22.43±1.94 | 6.80±0.28 | 35.70±2.05 | 26.28±1.24 | 52.35±2.69 | 8.86±5.25 | 28.54±29.89 | 0.25±0.15 | 0.91±0.57 | 2.03±0.76 | |
| Bozburun 1 | 8.19±0.07 | 24.15±0.28 | 7.05±0.21 | 36.48±3.01 | 26.73±1.87 | 53.40±3.89 | 8.94±4.63 | 29.55±26.39 | 0.54±0.23 | 0.62±0.42 | 2.16±0,01 | |
| Bozburun 2 | 8.23±0.04 | 24.40±1.20 | 7.85±1.63 | 35.98±2.37 | 26.38±1.52 | 52.70±3.04 | 8.84±4.40 | 31.42±30.27 | 0.84±0.22 | 0.72±0.25 | 2.68±0.11 | |
| Parameters | Water Quality Classes | ||||
|---|---|---|---|---|---|
|
I (very good) |
II (good) |
III (medium) |
IV (poor) |
This study | |
| Dissolved oxygen (mg/L) | ≥ 7 | 6 | 5 | < 5 | 7.86 |
| Total phosphorus (µg/L) | < 5 | 5 - 7 | 7.1 - 11 | > 11 | 9.39 |
| Nitrite + Nitrate (µg/L) | < 5 | 5 - 10 | 10.1 – 20 | > 20 | 2.4 |
| Water Quality Classes | Total phosphorus (µg/L) | Nitrite+ Nitrate Chlorophyll-a (µg/L) (µg/L) |
|---|---|---|
| Oligotrophic | < 5 | <5 <0.5 |
| Mesotrophic | 7 | 10 1 |
| Eutrophic | 11 | 20 2 |
| Hypertrophic | >11 | >20 >2 |
| This study | 9.39 |
2.4 1.76 |
| Table Analyzed One-way analysis of variance |
Between Stations | |||
|---|---|---|---|---|
| Ammonim nitrogen | Nitrite nitrogen | Nitrate nitrogen | Chlorophll-a | |
| P value | P<0.0001 | P<0.0001 | P<0.0001 | P<0.0001 |
| P value summary | **** | **** | **** | **** |
| Are means signif. different? (p < 0.05) | Yes | Yes | Yes | Yes |
| Number of groups | 25 | 25 | 25 | 25 |
| F | 3.643 | 6.422 | 19.78 | 17.14 |
| R squared | 0.5383 | 0.7551 | 0.9047 | 0.8916 |
Disclaimer/Publisher’s Note: The statements, opinions and data contained in all publications are solely those of the individual author(s) and contributor(s) and not of MDPI and/or the editor(s). MDPI and/or the editor(s) disclaim responsibility for any injury to people or property resulting from any ideas, methods, instructions or products referred to in the content. |
© 2026 by the authors. Licensee MDPI, Basel, Switzerland. This article is an open access article distributed under the terms and conditions of the Creative Commons Attribution (CC BY) license (http://creativecommons.org/licenses/by/4.0/).