Submitted:
09 April 2026
Posted:
10 April 2026
You are already at the latest version
Abstract
Keywords:
1. Introduction
2. Data and Method
2.1. Tornado Event Data
2.2. Atmospheric Environmental Parameters
2.3. Identification of Tornadic Convective Centers
3. Results
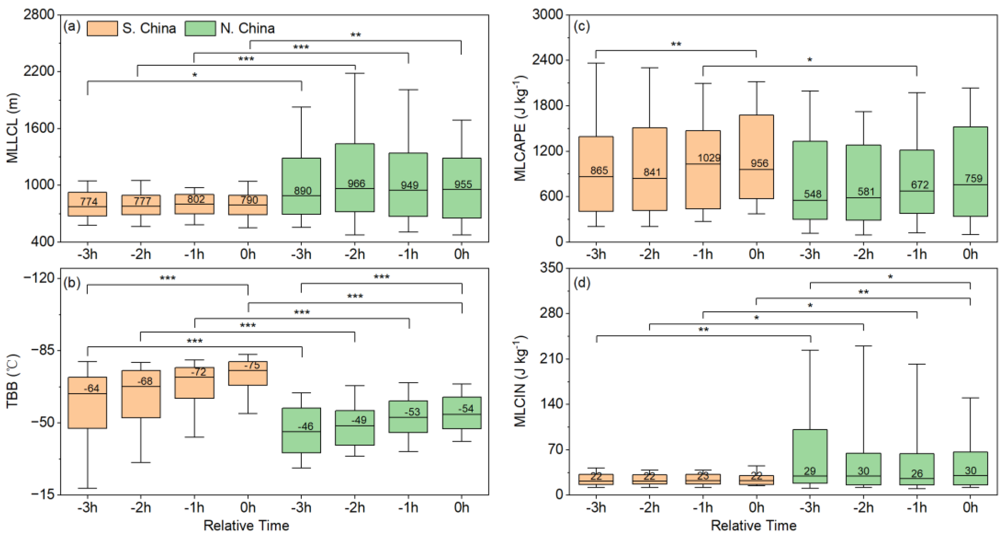
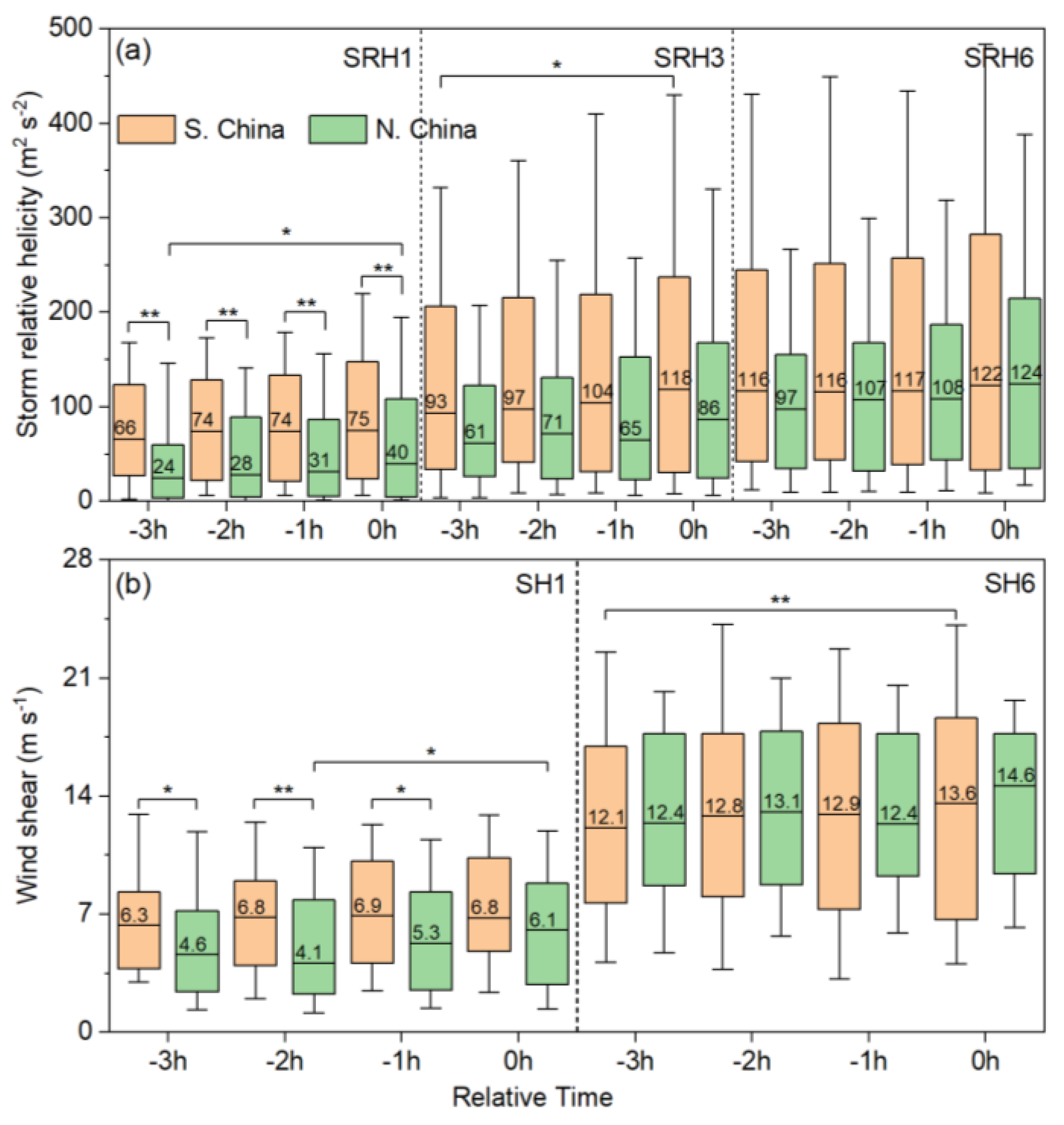
3.1. Comparative Analysis of Near-Storm Environmental Parameters between Northern and Southern China
3.1.1. Thermodynamic Parameters
3.1.2. Kinematic Parameters
3.1.3. Composite Parameters
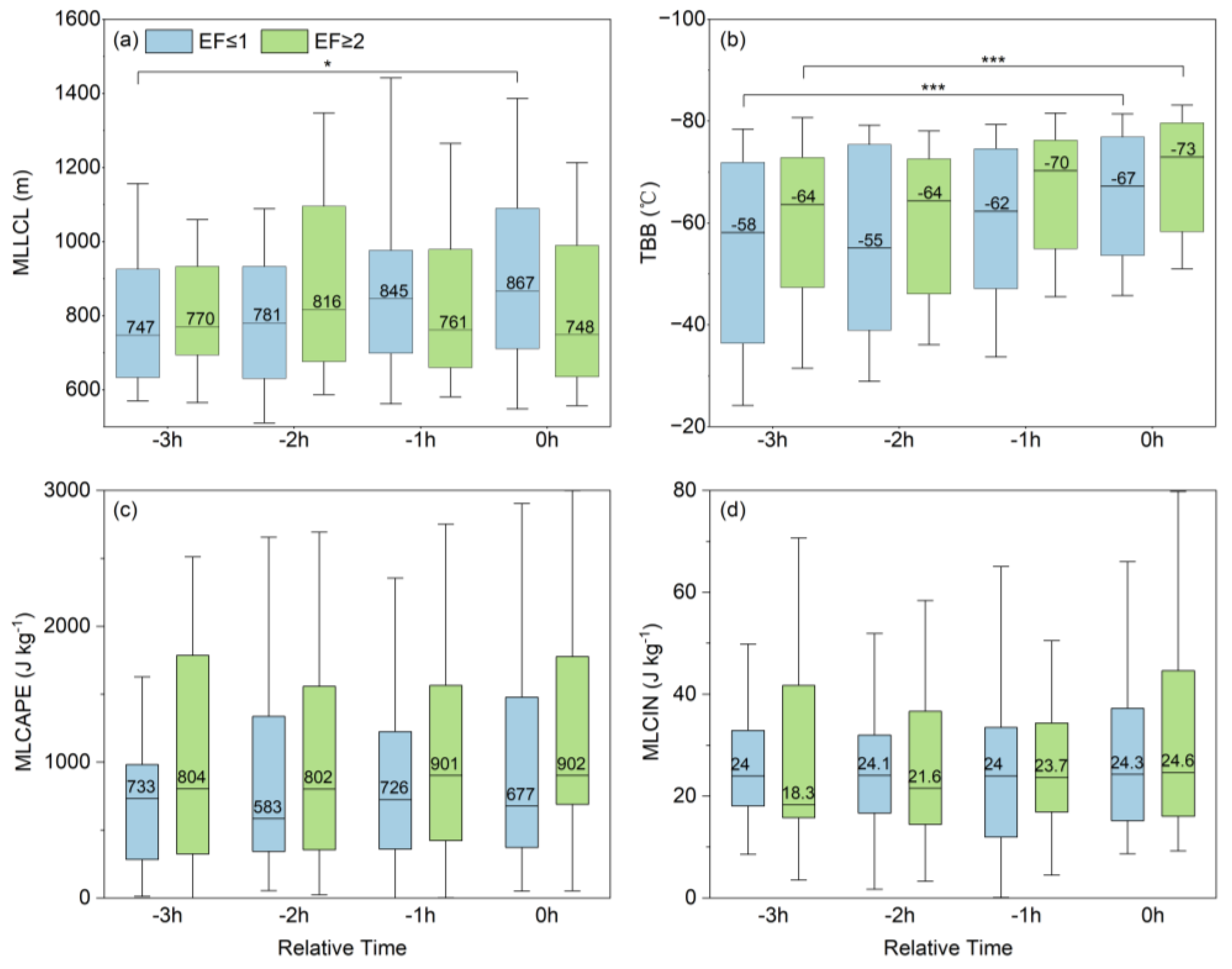
3.2. Comparative Analysis of Near-Storm Environmental Parameters between Significant and Weak Tornadoes
4. Conclusions and Discussion
Author Contributions
Funding
Data Availability Statement
Acknowledgments
Conflicts of Interest
Abbreviations
| TBB | Cloud-top brightness temperature |
| LCL | Lifted Condensation Level |
| CIN | Convective Inhibition |
| SRH | Storm-relative helicity |
| SRH1 | SRH within the 0–1 km layers |
| SRH3 | SRH within the 0–3 km layers |
| SRH6 | SRH within the 0–6 km layers |
| CAPE | Convective available potential energy |
| MLCAPE | Mixed-Layer convective available potential energy |
| EF | Enhanced Fujita scale |
| EHI | Energy-Helicity Index |
| STP | Significant Tornado Parameter |
| SH | Vertical wind shear |
| SH1 | SH within the 0–1 km layers |
| SH3 | SH within the 0–3 km layers |
| SH6 | SH within the 0–6 km layers |
| SCP | Supercell Composite Parameter |
| HSLC | High-shear, low-CAPE |
| CMA | China Meteorological Administration |
| S. China | Southern China group |
| N. China | Northern China group |
| MLCIN | Mixed-Layer Convective Inhibition |
| TC | Tropical cyclone |
| KDE | Bivariate kernel density estimation |
| WNPSH | the western North Pacific subtropical high |
| LLJ | Low-level jet |
Appendix A


Appendix B

References
- Chen, J.; Cai, X.; Wang, H.; Kang, L.; Zhang, H.; Song, Y.; Zhu, H.; Zheng, W.; Li, F. Tornado climatology of China. Int. J. Climatol. 2018, 38, 2478–2489. [Google Scholar] [CrossRef]
- Zhu, W.; Sheng, J.; Zheng, Y.; Yang, B.; Zhang, X.; Fan, L.; Zhang, X.; Liu, X.; Cao, Y.; Lin, Y.; et al. Damage survey and mesoscale features analysis on tornado in outer rain-band of typhoon "Mujigae" on 4 October 2015. Torrential Rain Disasters 2016, 35, 403–414. (In Chinese) [Google Scholar] [CrossRef]
- Zhi, J.; Huang, X.; Bai, L.; Cai, K.; Li, C.; Li, Z.; Zhang, J.; Guan, L.; Sheng, J.; Zhou, K.; et al. Characteristics of Tornado Activity and Disaster of China in 2021. Adv. Meteorol. Sci. Technol. 2022, 12, 23–36. (In Chinese) [Google Scholar] [CrossRef]
- Yu, X.; Zhao, J.; Fan, W. Tornadoes in China: Spatiotemporal Distribution and Environmental Characteristics. J. Trop. Meteorol. 2021, 37, 681–692. (In Chinese) [Google Scholar] [CrossRef]
- Anderson-Frey, A.K.; Richardson, Y.P.; Dean, A.R.; Thompson, R.L.; Smith, B.T. Characteristics of Tornado Events and Warnings in the Southeastern United States. Weather Forecasting 2019, 34, 1017–1034. [Google Scholar] [CrossRef]
- Brooks, H.E.; Lee, J.W.; Craven, J.P. The spatial distribution of severe thunderstorm and tornado environments from global reanalysis data. Atmos. Res. 2003, 67-68, 73–94. [Google Scholar] [CrossRef]
- Sherburn, K.D.; Parker, M.D. Climatology and ingredients of significant severe convection in high-shear, low-CAPE environments. Weather Forecasting 2014, 29, 854–877. [Google Scholar] [CrossRef]
- Thompson, R.L.; Edwards, R.; Hart, J.A.; Elmore, K.L.; Markowski, P. Close proximity soundings within supercell environments obtained from the Rapid Update Cycle. Weather Forecasting 2003, 18, 1243–1261. [Google Scholar] [CrossRef]
- Thompson, R.L.; Smith, B.T.; Dean, A.R.; Marsh, P.T. Spatial distributions of tornadic near-storm environments by convective mode. E-J. Severe Storm Meteorol. 2013, 8, 1–22. [Google Scholar] [CrossRef]
- Coffer, B.E.; Parker, M.D.; Thompson, R.L.; Smith, B.T.; Jewell, R.E. Using Near-Ground Storm Relative Helicity in Supercell Tornado Forecasting. Weather Forecasting 2019, 34, 1417–1435. [Google Scholar] [CrossRef]
- Davies-Jones, R. Streamwise Vorticity: The Origin of Updraft Rotation in Supercell Storms. J. Atmos. Sci. 1984, 41, 2991–3006. [Google Scholar] [CrossRef]
- Qie, X.; Qie, K.; Wei, L.; Zhu, K.; Sun, Z.; Yuan, S.; Jiang, R.; Zhang, H.; Xu, C. Significantly Increased Lightning Activity Over the Tibetan Plateau and Its Relation to Thunderstorm Genesis. Geophys. Res. Lett. 2022, 49. [Google Scholar] [CrossRef]
- Qie, X.; Toumi, R.; Yuan, T. Lightning activities on the Tibetan Plateau as observed by the lightning imaging sensor. J. Geophys. Res. Atmos. 2003, 108. [Google Scholar] [CrossRef]
- Weisman, M.L.; Klemp, J.B. The dependence of numerically simulated convective storms on vertical wind shear and buoyancy. Mon. Weather Rev. 1982, 110, 504–520. [Google Scholar] [CrossRef]
- Rasmussen, E.N. Refined supercell and tornado forecast parameters. Weather Forecasting 2003, 18, 530–535. [Google Scholar] [CrossRef]
- Rasmussen, E.N.; Blanchard, D.O. A baseline climatology of sounding-derived supercell andtornado forecast parameters. Weather Forecasting 1998, 13, 1148–1164. [Google Scholar] [CrossRef]
- Anderson-Frey, A.K.; Richardson, Y.P.; Dean, A.R.; Thompson, R.L.; Smith, B.T. Investigation of Near-Storm Environments for Tornado Events and Warnings. Weather Forecasting 2016, 31, 1771–1790. [Google Scholar] [CrossRef]
- Taszarek, M.; Pilguj, N.; Allen, J.T.; Gensini, V.; Brooks, H.E.; Szuster, P. Comparison of convective parameters derived from ERA5 and MERRA-2 with rawinsonde data over Europe and North America. J. Clim. 2021, 34, 3211–3237. [Google Scholar] [CrossRef]
- Zheng, Y. Review of Climatology and Favorable Environmental Conditions of Tornado in China. Adv. Meteorol. Sci. Technol. 2020, 10, 67–75. (In Chinese) [Google Scholar] [CrossRef]
- Huang, X.; Bai, L.; Yan, L.; Zhang, Z.; Cai, K.; Zhi, J. Climatic characteristics and environmental conditions of the tornado occurrences within tropical cyclones over Guangdong province, China. Acta Meteorol. Sin. 2024. (In Chinese) [Google Scholar] [CrossRef]
- Wang, L.; Wang, X.; Li, Y.; Zhang, J.; Wang, Y.; Lyu, R. Multi-Scale Characteristic Analysis and Warning Thoughts of EF2 Tornado in Gaoyou County, Jiangsu Province in 2020. Meteorol. Mon. 2023, 49, 291–303. (In Chinese) [Google Scholar] [CrossRef]
- Cai, K.; Yao, X.; Sun, X.; Cheng, P. Climatic characteristics and environmental conditions of tornadoes in Liaoning under the background of cold vortex. Acta Meteorol. Sin. 2022, 82–92. (In Chinese) [Google Scholar] [CrossRef]
- Yuan, C.; Yang, W.; Li, D.; Yang, L.; Wang, S. Climatology and Environmental Feaures of Tornadoes in Liaoning Province During 1971-2020. Meteorol. Mon. 2023, 49, 1285–1298. (In Chinese) [Google Scholar] [CrossRef]
- Cai, K.; Huang, X.; Li, C.; Yan, L.; Li, Z.; Gu, B.; He, Q.; Zhang, J. Characteristics of Tornado Activity in China in 2020. Adv. Meteorol. Sci. Technol. 2021, 11, 40–45, 53. (In Chinese) [Google Scholar] [CrossRef]
- Huang, S.; Li, Z.; Bai, L.; Huang, X.; Zhi, J.; Xu, Z.; Liu, Y. Characteristics of Tornado Activity and Related Disasters in China in 2022. Adv. Meteorol. Sci. Technol. 2023, 13, 23–32. (In Chinese) [Google Scholar] [CrossRef]
- Huang, X.; Yan, L.; Cai, K.; Li, Z. Characteristics of Tornado Activity in China in 2018. Adv. Meteorol. Sci. Technol. 2019, 9, 50–55. (In Chinese) [Google Scholar] [CrossRef]
- Li, C.; Tan, H.; Cai, K.; Bai, L.; Huang, X.; Yan, L.; Li, Z.; Zhi, J.; Zhang, J. Characteristics of Tornado Activity in China in 2019. Adv. Meteorol. Sci. Technol. 2020, 10, 7–14. (In Chinese) [Google Scholar] [CrossRef]
- Li, C.; Tan, H.; Cai, K.; Bai, L.; Huang, X.; Yan, L.; Li, Z.; Zhi, J.; Zhang, J. Tornadoes in China and Their Disaster Characteristics from 2016 to 2020. J. Trop. Meteorol. 2021, 37, 733–747. (In Chinese) [Google Scholar] [CrossRef]
- Zhang, J.; Huang, X.; Cai, K.; Zhi, J.; Huang, S.; Xu, Z. Tornado Activities and Disaster Characteristics in China in 2023. Adv. Meteorol. Sci. Technol. 2024, 14, 15–24. (In Chinese) [Google Scholar] [CrossRef]
- Zhou, R.; Meng, Z. Tornado Database in China (2017~2020). In Peking University Open Research Data Platform; 2023; Volume V1. [Google Scholar] [CrossRef]
- Du, Y.; Zheng, D.; Ma, R.; Zhang, Y.; Lyu, W.; Yao, W.; Zhang, W.; Ciren, L.; Cuomu, D. Thunderstorm Activity over the Qinghai–Tibet Plateau Indicated by the Combined Data of the FY-2E Geostationary Satellite and WWLLN. Remote Sens. 2022, 14, 2855. [Google Scholar] [CrossRef]
- Doswell, C.A.; Brooks, H.E.; Dotzek, N. On the implementation of the enhanced Fujita scale in the USA. Atmos. Res. 2009, 93, 554–563. [Google Scholar] [CrossRef]
- Zhang, C.; Xue, M.; Zhu, K.; Yu, X. Climatology of significant tornadoes within China and comparison of tornado environments between the United States and China. Mon. Weather Rev. 2023, 151, 465–484. [Google Scholar] [CrossRef]
- Bessho, K.; Date, K.; Hayashi, M.; Ikeda, A.; Imai, T.; Inoue, H.; Kumagai, Y.; Miyakawa, T.; Murata, H.; Ohno, T. An introduction to Himawari-8/9—Japan’s new-generation geostationary meteorological satellites. J. Meteorol. Soc. Jpn. Ser. II 2016, 94, 151–183. [Google Scholar] [CrossRef]
- Hersbach, H.; Bell, B.; Berrisford, P.; Hirahara, S.; Horányi, A.; Muñoz-Sabater, J.; Nicolas, J.; Peubey, C.; Radu, R.; Schepers, D.; et al. The ERA5 global reanalysis. Q. J. R. Meteorol. Soc. 2020, 146, 1999–2049. [Google Scholar] [CrossRef]
- Markowski, P.; Richardson, Y. Mesoscale meteorology in midlatitudes; John Wiley & Sons, 2011. [Google Scholar]
- Romps, D.M. Exact expression for the lifting condensation level. J. Atmos. Sci. 2017, 74, 3891–3900. [Google Scholar] [CrossRef]
- Zhao, Y.; Bi, L.; Kong, X. Identification and feature analysis of thunderstorm based on AGRI and LMI of Fengyun-4A satellite. Atmos. Res. 2025, 318, 108016. [Google Scholar] [CrossRef]
- Qie, X.; Wu, X.; Yuan, T.; Bian, J.; Lu, D. Comprehensive Pattern of Deep Convective Systems over the Tibetan Plateau–South Asian Monsoon Region Based on TRMM Data. J. Clim. 2014, 27, 6612–6626. [Google Scholar] [CrossRef]
- Markowski, P.M.; Richardson, Y.P. The Influence of Environmental Low-Level Shear and Cold Pools on Tornadogenesis: Insights from Idealized Simulations. J. Atmos. Sci. 2014, 71, 243–275. [Google Scholar] [CrossRef]









| Region | N | EF ≤ 1 | EF ≥ 2 | Unclassified |
|---|---|---|---|---|
| Southern China | 86 | 29 | 21 | 36 |
| Northern China | 91 | 18 | 26 | 47 |
| Total | 177 | 47 | 47 | 83 |
Disclaimer/Publisher’s Note: The statements, opinions and data contained in all publications are solely those of the individual author(s) and contributor(s) and not of MDPI and/or the editor(s). MDPI and/or the editor(s) disclaim responsibility for any injury to people or property resulting from any ideas, methods, instructions or products referred to in the content. |
© 2026 by the authors. Licensee MDPI, Basel, Switzerland. This article is an open access article distributed under the terms and conditions of the Creative Commons Attribution (CC BY) license (http://creativecommons.org/licenses/by/4.0/).