Submitted:
05 April 2026
Posted:
06 April 2026
You are already at the latest version
Abstract
Keywords:
1. Introduction
2. Computational Details
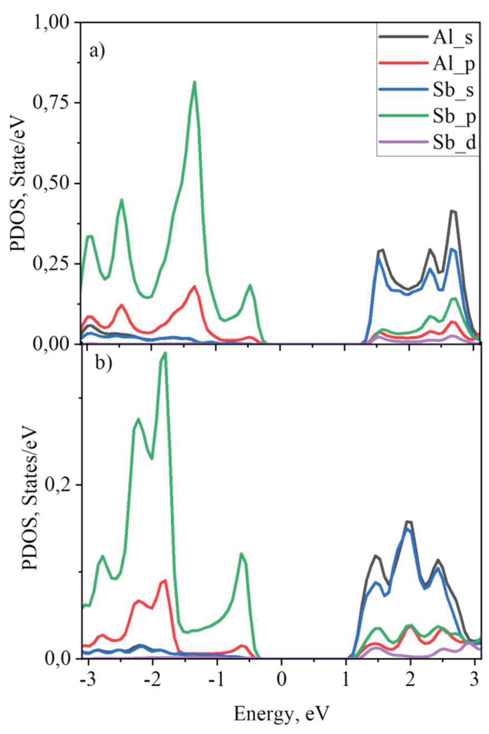
3. Results and Discussion
Conclusion
Supplementary Materials
Author Contributions
Funding
Conflicts of Interest
Use of AI Tools
References
- Mohebpour, M. A., & Tagani, M. B. (2023). First-principles study on the electronic and optical properties of AlSb monolayer. Scientific Reports, 13, 9925. [CrossRef]
- Gouasmia, W., Boudjaadar, D., Oumelaz, F., Nemiri, O., Khenata, R., Sahnoun, M., Boudali, A., Rahmouni, F., Benhouria, A., & Benhouria, M. (2025). First-principles assessment of the structural, phase transition, electronic, elastic and thermal properties of the semiconductor alloys AlSb1-xBix (x = 0, 0.25, 0.5, 0.75, 1). The European Physical Journal B, 98(10), 85. [CrossRef]
- Wei, B., Zhang, X., Li, W., Li, J., Li, Y., Gao, Q., ... & Lin, Y. H. (2025). Optical phonons on thermal conduction in advanced materials. Applied Physics Reviews, 12(1). [CrossRef]
- Yang, X., Luo, T., & Ruan, X. (2019). Stronger role of four-phonon scattering than three-phonon scattering in thermal conductivity of III-V semiconductors. Physical Review B, 100(24), 245203. [CrossRef]
- Guo, Z., Han, Z., Feng, D., Lin, G., & Ruan, X. (2024). Sampling-accelerated prediction of phonon scattering rates for converged thermal conductivity and radiative properties. npj Computational Materials, 10(1), 31. [CrossRef]
- Guo, Z., Roy Chowdhury, P., Han, Z., Sun, Y., Feng, D., Lin, G., & Ruan, X. (2023). Fast and accurate machine-learning prediction of phonon scattering rates and lattice thermal conductivity. npj Computational Materials, 9(1), 95. [CrossRef]
- Huang, Z., Wu, L., He, J., Li, W., Zhang, J., & Cai, Y. (2010). The electrical, optical properties of AlSb polycrystalline thin films deposited by magnetron co-sputtering without annealing. Chinese Physics B, 19(12), 127204. [CrossRef]
- Baumann, S., Eperon, G. E., Virtuani, A., Jeangros, Q., Kern, D. B., Barrit, D., Schall, J., Nie, W., Oreski, G., Khenkin, M., Ulbrich, C., Peibst, R., Stein, J. S., & Köntges, M. (2024). Stability and reliability of perovskite-containing solar cells and modules: Degradation mechanisms and mitigation strategies. Energy & Environmental Science, 17(20), 7566-7601. [CrossRef]
- Zhang, D., Liu, F., Yang, S., Li, H., & Wang, Y. (2022). Degradation pathways in perovskite solar cells and how to meet international standards. Communications Materials, 3(1), 58. [CrossRef]
- Shawon, A. K. M. A., Ur, S., & Kim, I.-H. (2019). Synthesis and Thermoelectric Property Elucidation of Mechanically Alloyed and Vacuum Hot Pressed Single-Phase AlSb. Journal of Electronic Materials, 48(11), 7261-7270. [CrossRef]
- Green, M. A., Dunlop, E. D., Yoshita, M., Kopidakis, N., Bothe, K., Siefer, G., Hinken, D., Rauer, M., Hohl-Ebinger, J., & Hao, X. (2024). Solar cell efficiency tables (Version 64). Progress in Photovoltaics: Research and Applications, 32(5), 425-441. [CrossRef]
- Zahn, D., Grin, Y., & Ruban, A. V. (2004). Nucleation and Growth in Pressure-Induced Phase Transitions from Molecular Dynamics Simulations: Mechanism of the Reconstructive Transformation of NaCl to the CsCl-Type Structure. Physical Review Letters, 92(25), 250201. [CrossRef]
- Bhambhani, P., Munjal, N., Sharma, G., Vyas, V. V., & Sharma, B. K. (2012, July). First-principles study of B1 to B2 phase transition in PbS. In Journal of Physics: Conference Series (Vol. 377, No. 1, p. 012068). IOP Publishing. [CrossRef]
- Sun, G., Wang, J., He, J., Zhang, Y., & Li, Z. (2023). Four-phonon and normal scattering in 2D hexagonal crystals. International Journal of Heat and Mass Transfer, 212, 124475. [CrossRef]
- Staudinger, P., Caroff, P., Dick, K. A., Persson, A. R., Lehmann, S., & Borg, B. M. (2019). Exploring the size limitations of wurtzite III-V film growth. Nano Letters, 19(12), 9151-9157. [CrossRef]
- Hjort, M., Lehmann, S., Knutsson, J., Jacobsson, D., Dick, K. A., & Thelander, C. (2014). Electronic and structural differences between wurtzite and zinc blende InAs nanowire surfaces: Experiment and Theory. ACS Nano, 8(12), 12346-12355. [CrossRef]
- Mahmud, S., Ali, M. A., Hossain, M. M., & Uddin, M. M. (2024). DFT aided prediction of phase stability, optoelectronic and thermoelectric properties of A2AuScX6 (A= Cs, Rb; X= Cl, Br, I) double perovskites for energy harvesting technology. Vacuum, 221, 112926. [CrossRef]
- Dahri, S., Jabar, A., Bahmad, L., Drissi, L. B., & Laamara, R. A. (2024). The electronic, thermodynamic, thermoelectric and optical properties of Ca(InP)2 compound: DFT study. Journal of the Korean Ceramic Society, 61(6), 1187-1197. [CrossRef]
- Bafekry, A., Faraji, M., Fadlallah, M. M., Jappor, H. R., Karbasizadeh, S., Ghergherehchi, M., Abdolhosseini Sarsari, I., & Abdolahzadeh Ziabari, A. (2021). Novel two-dimensional AlSb and InSb monolayers with a double-layer honeycomb structure: A first-principles study. Physical Chemistry Chemical Physics, 23(42), 18752-18759. [CrossRef]
- Zhang, H., Lu, Z., Tang, C., Ma, J., & Zhang, C. (2024). Calculation of tunable optical and electronic properties of AlSb/BAs heterostructure. Materials Science in Semiconductor Processing, 170, 107222. [CrossRef]
- Patel, H. S., Dabhi, V. A., & Vora, A. M. (2025). Advanced study of the electronic and thermoelectric properties of AEMSe compounds under compression and tensile strain. Materials Advances, 6(16), 5777-5791. [CrossRef]
- Ai, P., Zhou, W., Chen, Q., Wang, Y., Liu, S., & Li, X. (2024). Low lattice thermal conductivity induced by rattling-like vibration in Zintl phase Na2CaCdSb2 compound with high ZT from two-channel model. Chemical Engineering Journal, 499, 156458. [CrossRef]
- Ur, S., Shawon, A. K. M. A., & Kim, I.-H. (2020). Improvement of thermoelectric properties of AlSb by incorporation of Mg as p-type dopant. Electronic Materials Letters, 16(6), 540-548. [CrossRef]
- Singh, R. K., & Singh, S. (1989). Structural phase transition and high-pressure elastic behavior of III-V semiconductors. Physical Review B, 39(1), 671-674. [CrossRef]
- Mujica, A., & Needs, R. J. (1997). Theoretical study of the high-pressure phase stability of GaP, InP, and InAs. Physical Review B, 55(15), 9659-9672. [CrossRef]
- Moin, M., Anwar, A. W., Ahmad, M. A., Yaseen, M., Ilays, U., Nabi, S., Alhazmi, S. E., Al-Muhimeed, T. I., AlObaid, A. A., & Hassan, J. (2023). First-principle calculations to investigate structural, electronic, mechanical, optical, and thermodynamic features of promising (La, In)-doped AlSb for optoelectronic applications. Journal of Molecular Modeling, 29(7), 219. [CrossRef]
- Fang, D., & Wang, D. (2025). Electric-Field-Modulated Topological Phase Transition in AlSb/InSe Heterobilayers. physica status solidi (RRL) - Rapid Research Letters, 19(1), 2400219. [CrossRef]
- Bhogi, A., Srinivas, B., Papolu, P., Konakanchi, R., Prakash, K. J., Shareefuddin, M., & Kistaiah, P. (2024). Theoretical investigation on electronic, optical and phonon properties of compound semiconductors suitable for photovoltaic device applications. Journal of the Indian Chemical Society, 101(10), 101285. [CrossRef]
- Raufov, I., Ashurov, A., Sattorzoda, S., Najmiddinov, T., Nazriddinzoda, S., Yusupova, K., & Murodov, D. (2025). The Promise of Lead-Free Perovskites: Can they Replace Toxic Alternatives in Solar Cells and Lead the Future?. International Journal of Research and Innovation in Applied Science, 10(1), 353-377. [CrossRef]
- Okbi, F., Moussa, R., Bouzgarrou, S., Faid, F., & Lakel, S. (2025). Effect of Pressure on the Structural, Electronic, and Elastic Properties of Indium-Doped AlSb Compounds. Semiconductors, 59(10), 1085-1097.
- Kresse, G., & Furthmüller, J. (1996). Efficient iterative schemes for ab initio total-energy calculations using a plane-wave basis set. Physical Review B, 54(16), 11169-11186. [CrossRef]
- Sun, J., Ruzsinszky, A., & Perdew, J. P. (2015). Strongly constrained and appropriately normed semilocal density functional. Physical review letters, 115(3), 036402. [CrossRef]
- Tran, F., & Blaha, P. (2009). Accurate band gaps of semiconductors and insulators with a semilocal exchange-correlation potential. Physical review letters, 102(22), 226401. [CrossRef]
- Dudarev, S. L., Botton, G. A., Savrasov, S. Y., Humphreys, C. J., & Sutton, A. P. (1998). Electron-energy-loss spectra and the structural stability of nickel oxide: An LSDA+U study. Physical Review B, 57(3), 1505-1509. [CrossRef]
- Giannozzi, P., Andreussi, O., Brumme, T., Bunau, O., Buongiorno Nardelli, M., Calandra, M., et al. (2017). Advanced capabilities for materials modelling with Quantum ESPRESSO. Journal of Physics: Condensed Matter, 29(46), 465901. [CrossRef]
- Nilsen, T. A., Patra, S. K., Breivik, M., & Fimland, B. O. (2011). Thermal dependence of the lattice constant and the Poisson ratio of AlSb above room temperature. Journal of crystal growth, 336(1), 29-31. [CrossRef]
- Nakano, K., & Sakai, T. (2018). Assessing the performance of the Tran-Blaha modified Becke-Johnson exchange potential for optical constants of semiconductors in the ultraviolet-visible light region. Journal of Applied Physics, 123(1). [CrossRef]
- Yang K, Li B, Zhang J, Li W, Wu L, Zeng G, Wang W, Liu C, Feng L. (2017) Structural, optical and electrical properties of AlSb thin films deposited by pulsed laser deposition using aluminum-antimony alloying target. Superlattices and Microstructures. 102, 1-6.
- Becla, P., & Witt, A. F. (1995). AlSb photonic detectors for gamma-ray spectroscopy. Progress report, October 1994-August 1995. Massachusetts Institute of Technology.
- Tang, P., Li, B., Feng, L., Wu, L., Zhang, J., Li, W., Zeng, G., Wang, W., & Liu, C. (2017). Structural, electrical and optical properties of AlSb thin films deposited by pulsed laser deposition. Journal of Alloys and Compounds, 692, 22-25. [CrossRef]
- Doroshkevich, A. S., Nabiev, A. A., Pawlukojć, A., Doroshkevich, N. V., Rahmonov, K. R., Khamzin, E. K., ... & Ibrahim, M. A. (2019). Frequency modulation of the Raman spectrum at the interface DNA-ZrO 2 nanoparticles. Egyptian Journal of Chemistry, 62(2), 13-20.
- Khan, N. U., Ullah, K., Iqbal, J., Ullah, H., & Rehman, A. (2025). DFT-based study of Na2AgAlX6 (X= Cl, Br) halide double perovskites: insights from PBEsol, TB-mBJ, and HSE06 calculations for photovoltaic and photocatalytic applications. Physica Scripta, 100(5), 055946. [CrossRef]
- Bouferrache, K., Habila, M. A., Ghebouli, M. A., Alomairy, S., Alanazi, F. K., Fatmi, M., & Ghebouli, B. (2025). Ferromagnetic and half metallic properties of BaFeO3 and CaFeO3 for spintronic applications. Scientific Reports, 15(1), 37093. [CrossRef]
- Mishra, K. K., Shukla, S., & Sharma, R. (2025). Unveiling structural, mechanical, electronic, and optical properties of Ba3AsCl3 perovskite: a novel multi-functional DFT study. Physica Scripta, 100(8), 085921. [CrossRef]
- Pela, R. R., Hsiao, C. L., Hultman, L., Birch, J., & Gueorguiev, G. K. (2024). Electronic and optical properties of core-shell InAlN nanorods: a comparative study via LDA, LDA-1/2, mBJ, HSE06, G0W0 and BSE methods. Physical Chemistry Chemical Physics, 26(9), 7504-7514. [CrossRef]
- Mahmood, Q. (2025). Study of Influence of Electron Spin on Half Metallic Ferromagnetism and Thermoelectric Behavior of X2TiMoO6 (X= Mg, Ca, Sr, Ba) for Spintronic Applications. Journal of Inorganic and Organometallic Polymers and Materials. Advance online publication. [CrossRef]
- Huang, J., & Kang, J. (2024). Cation disorder in MgSnN2 and its effects on the electronic properties. Physical Review Materials, 8(7), 074604. [CrossRef]
- Patel, H. S., Dabhi, V. A., & Vora, A. M. (2024). Advancing thermoelectric potential: strontium telluride under compression strain analyzed with HSE hybrid functional and Wannier interpolation. Scientific Reports, 14(1), 20700. [CrossRef]
- Sharov, V., Pavlov, A., Eliseyev, I., Moskalev, M., Komarov, S., Novikova, K., & Mukhin, I. (2025). Nanoscale Welding and Strain-Engineered Photoluminescence of GaN Nanowires. Advanced Optical Materials, e01821. [CrossRef]
- Nematov, D. (2023). Molecular and dissociative adsorption of H2O on ZrO2/YSZ surfaces. International Journal of Innovative Science and Modern Engineering, 11(10), 1-7. [CrossRef]
- Dilshod, N. ., Kholmirzo, K. ., Aliona, S. ., Kahramon, F. ., Viktoriya, G. ., & Tamerlan, K. . (2022). On the Optical Properties of the Cu2ZnSn[S1−xSex]4 System in the IR Range. Trends in Sciences, 20(2), 4058. [CrossRef]
- Armaković, S. J., Armaković, S., Bilić, A., & Savanović, M. M. (2025). ZnO-Based Photocatalysts: Synergistic Effects of Material Modifications and Machine Learning Optimization. Catalysts, 15(8), 793. [CrossRef]
- Gouveia, J. D., Galvão, T. L., Iben Nassar, K., & Gomes, J. R. (2025). First-principles and machine-learning approaches for interpreting and predicting the properties of MXenes. npj 2D Materials and Applications, 9(1), 8. [CrossRef]
- Saeed, M., Khan, R., Abualnaja, K. M., Ali, A. M., Batool, K., & Murtaza, G. (2025). Electronic Profiles, Optical Absorption, and High Thermoelectric Performance of XCu3GeSe4 (X= K, Rb, Cs): A Computational Approach. International Journal of Energy Research, 2025(1), 2992478. [CrossRef]
- Nizomov, Z., Sodatdinov, S., Saidzoda, R. K., (2024). Influence of the Height Value of Cylindrical Specimens of Copper Grade M3 on the Kinetics of Their Cooling and Heat Transfer Processes. Engineering Science & Technology, 316-325. [CrossRef]
- Nizomov, Z., Sodatdinov, S., Saidzoda, R., (2024). Analysis of Thermal Isotropy of Parallelepiped Shape of Bronze Samples for Mechanical Engineering Applications. J Mod Ind Manuf, 3(9). [CrossRef]
- Dilshod, N. (2022). DFT calculations of the main optical constants of the Cu2ZnSnSexS4-x system as high-efficiency potential candidates for solar cells. International Journal of Applied, 11(4), 287-293.
- Makhsudov, B., & Yarov, M. (2024). Combined X-ray Diffraction Analysis and Quantum Chemical Interpretation of the Effect of Thermal Neutrons on the Geometry and Electronic Properties of CdTe. J Mod Nanotechnol, 4(4), 2.
- Yuan, T., Liu, G., & Zhang, G. (2025). First-principles study on the influence of tensile deformation on the optoelectronic properties of the F-HfSe2 system. Journal of Molecular Modeling, 31(10), 319. [CrossRef]
- Marzegalli, A., Montalenti, F., & Scalise, E. (2024). Polytypic quantum wells in Si and Ge: impact of 2D hexagonal inclusions on electronic band structure. Nanoscale Horizons, 9(12), 2320-2325. [CrossRef]
- Nematov, D. D., Kholmurodov, K. T., Stanchik, A. V., Fayzullaev, K., Gnatovskaya, V., & Kudzoev, T. (2023). A DFT study of structure, electronic and optical properties of Se-doped kesterite Cu2ZnSnS4 (CZTSSe). Letters in Applied NanoBioScience, 12(3), 67. [CrossRef]
- Uglah, A. M., Saleem, K. B., Sultan, H. S., Maatki, C., Almeshaal, M. A., Selimefendigil, F., & Kolsi, L. (2025). Numerical Investigation on Optimizing the Couple Geometry of a Thermoelectric Generator Under Various Thermal Conditions. Case Studies in Thermal Engineering, 107191. [CrossRef]













| AlSb | Calculation (eV) | Experimental (eV) |
|---|---|---|
| F43m | 1.71 | 1.63[39], 1.75[40], 1.81[41] |
| P63mc | 1.50 | - |
| AlSb | ε1(0) | n(0) | R(0) |
|---|---|---|---|
| F43m | 12.208 | 3.49 | 0.308 |
| P63mc | 9.927 | 3.04 | 0.256 |
Disclaimer/Publisher’s Note: The statements, opinions and data contained in all publications are solely those of the individual author(s) and contributor(s) and not of MDPI and/or the editor(s). MDPI and/or the editor(s) disclaim responsibility for any injury to people or property resulting from any ideas, methods, instructions or products referred to in the content. |
© 2026 by the authors. Licensee MDPI, Basel, Switzerland. This article is an open access article distributed under the terms and conditions of the Creative Commons Attribution (CC BY) license (http://creativecommons.org/licenses/by/4.0/).