Submitted:
06 April 2026
Posted:
06 April 2026
You are already at the latest version
Abstract

Keywords:
1. Introduction
2. Materials and Methods
3. Results
3.1. Simulation of Visual Moiré
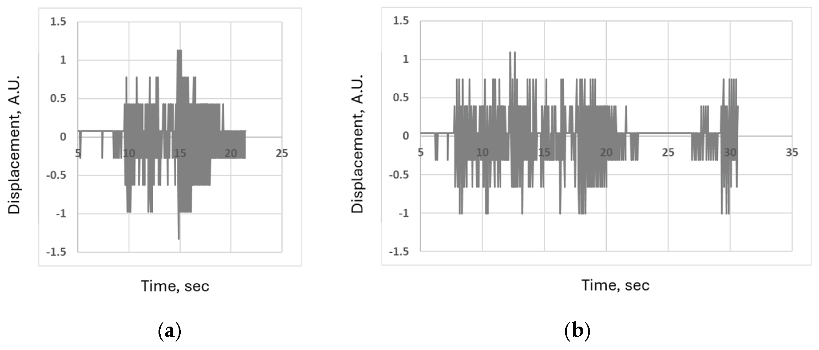
3.2. Measured Moiré Displacement
3.3. Practical Examples of Moiré Measurements Using a Single Line
3.3.1. Examples with Known Parameters
3.3.2. Examples with Unknown Parameters
4. Discussion
5. Conclusions
Funding
Data Availability Statement
Conflicts of Interest
Abbreviations
| FFT | Fast Fourier transform |
| CWT | Continuous wavelet transform |
References
- Amidror, I. The Theory of the Moiré Phenomenon. Volume I: Periodic Layers, 2nd ed.; Springer: London, UK, 2009. [Google Scholar]
- Saveljev, V. The Geometry of the Moiré Effect in One, Two, and Three Dimensions; Cambridge Scholars: Newcastle Upon Tyne, UK, 2022. [Google Scholar]
- Patorski, K.; Kujawinska, M. Handbook of the Moiré Fringe Technique; Elsevier: Amsterdam, The Netherlands, 1993. [Google Scholar]
- Post, D.; Han, B.; Ifju, P. High Sensitivity Moiré: Experimental Analysis for Mechanics and Materials; Springer: New York, USA, 1994. [Google Scholar]
- Khan, A.S.; Wang, X. Strain Measurements and Stress Analysis; Pearson: London, UK, 2000. [Google Scholar]
- Singh, B. P.; Varadan, K.; Chitnis, V. T. Measurement of small angular displacement by a modified moiré technique. Opt. Eng. 1992, 31, 2665–2667. [Google Scholar] [CrossRef]
- Fan, H.; Jian, B.; Xiyun, H. Calibration method for angular measurement of moiré patterns based on template matching. Infrared Laser Eng. 2015, 44, 2825. [Google Scholar]
- Zhang, K.; Sun, H.; Yu, D. DOF enhanced via the multiwavelength method for the moiré fringe-based alignment. Micromachines 2025, 16, 356. [Google Scholar]
- Jiang, W.; Wang, H.; Xie, W.; et al. Lithography alignment techniques based on moiré fringe. Photonics 2023, 10, 351. [Google Scholar] [CrossRef]
- Cheng, W.; Chen, Y.; Zhang, Q.; et al. Spatial and temporal distributions of atmospheric refractive-index structure parameter measured by moiré deflectometry. Opt. Commun. 2024, 550, 129966. [Google Scholar] [CrossRef]
- Karny, Z.; Kafri, O. Refractive-index measurements by moiré deflectometry. Appl. Opt. 1982, 21, 3326–3328. [Google Scholar] [CrossRef] [PubMed]
- Chen, X.; Chang, C.-C.; Xiang, J.; et al. An optical crack growth sensor using the digital sampling moiré method. Sensors 2018, 18, 3466. [Google Scholar] [CrossRef] [PubMed]
- Ratnam, M.M.; Ooi, B.Y.; Yen, K.S. Novel moiré-based crack monitoring system with smartphone interface and cloud processing. Struct. Control Health Monit. 2019, 26, e2420. [Google Scholar] [CrossRef]
- Moazzam, A.A.; Ghoshroy, A.; Güney, D.Ö. Remote sensing of seismic signals via enhanced moiré-based apparatus integrated with active convolved illumination. Remote Sens. 2025, 17, 2032. [Google Scholar] [CrossRef]
- Hutley, M.C.; Hunt, R.; Stevens, R.F.; Savander, P. Moiré magnifier. Pure Appl. Opt. Part A 1994, 3(2), 133–142. [Google Scholar] [CrossRef]
- Kamal, H.; Volkel, H.; Alda, J. Properties of moiré magnifiers. Opt. Eng. 1998, 37, 3007–3014. [Google Scholar] [CrossRef]
- Saveljev, V.; Son, J.-Y.; Lee, H.; Heo, G. Non-contact measurement of vibrations using deferred moiré patterns. Adv. Mech. Eng. 2022, 15(4), 1–11. [Google Scholar] [CrossRef]
- Yadil, M.; Morimoto, Y.; Ueki, M.; et al. In-plane vibration detection using sampling moiré method. J. Phys. Photonics 2021, 3, 024005. [Google Scholar] [CrossRef]
- Wang, Q.; Ri, S. Sampling moiré method for full-field deformation measurement: a brief review. Theor. Appl. Mech. Lett. 2022, 12(1), 100327. [Google Scholar] [CrossRef]
- Chen, R.; Zhang, C.H.; Shi, W.; Xie, H. 3D sampling moiré measurement for shape and deformation based on the binocular vision. Opt. Laser Technol. 2023, 162, 109666. [Google Scholar] [CrossRef]
- Saveljev, V. Various Grids in Moiré Measurements. Metrology 2024, 4, 619–639. [Google Scholar] [CrossRef]
- Saveljev, V.; Heo, G. Moiré effect without a multiline grid preserving the phase of a physical image fragment containing a single line. JOSA-A 2026, 43(3), 554–562. [Google Scholar] [CrossRef] [PubMed]
- Saveljev, V.; Kim, S.-K.; Lee, H.; Kim, H.-W.; Lee, B. Maximum and minimum amplitudes of the moiré patterns in one- and two-dimensional binary gratings in relation to the opening ratio. Opt. Express 2016, 24(3), 2905–2918. [Google Scholar] [CrossRef] [PubMed]
- Saveljev, V.; Kim, S.-K. Simulation of low contrast moiré effect in 3D displays. Proc. 12th International Meeting on Information Display (IMID), Daegu, Korea, 2012; pp. 136–137. [Google Scholar]




















| Wire dimensions | Measured frequency, Hz | Ratio of frequencies | ||||||
|---|---|---|---|---|---|---|---|---|
| Diameter, mm | Length, cm | Expected ~1/√L | Expected ~D | |||||
| Calc. | Meas. | Diff. | Calc. | Meas. | Diff. | |||
| 0.6 | 100 | 3.40 | 0.6 | 0.73 | 18.2% | |||
| 0.6 | 200 | 2.26 | 0.71 | 0.66 | 6.1% | 0.6 | 0.70 | 14.7% |
| 1 | 100 | 4.63 | ||||||
| 1 | 200 | 3.21 | 0.71 | 0.69 | 1.9% | |||
Disclaimer/Publisher’s Note: The statements, opinions and data contained in all publications are solely those of the individual author(s) and contributor(s) and not of MDPI and/or the editor(s). MDPI and/or the editor(s) disclaim responsibility for any injury to people or property resulting from any ideas, methods, instructions or products referred to in the content. |
© 2026 by the authors. Licensee MDPI, Basel, Switzerland. This article is an open access article distributed under the terms and conditions of the Creative Commons Attribution (CC BY) license (http://creativecommons.org/licenses/by/4.0/).