Preprint
Article

This version is not peer-reviewed.

Discovery and Validation of Molecular Biomarkers Contributing to the Risk of Coronary Artery Disease

Submitted:

01 April 2026

Posted:

02 April 2026

You are already at the latest version

Abstract
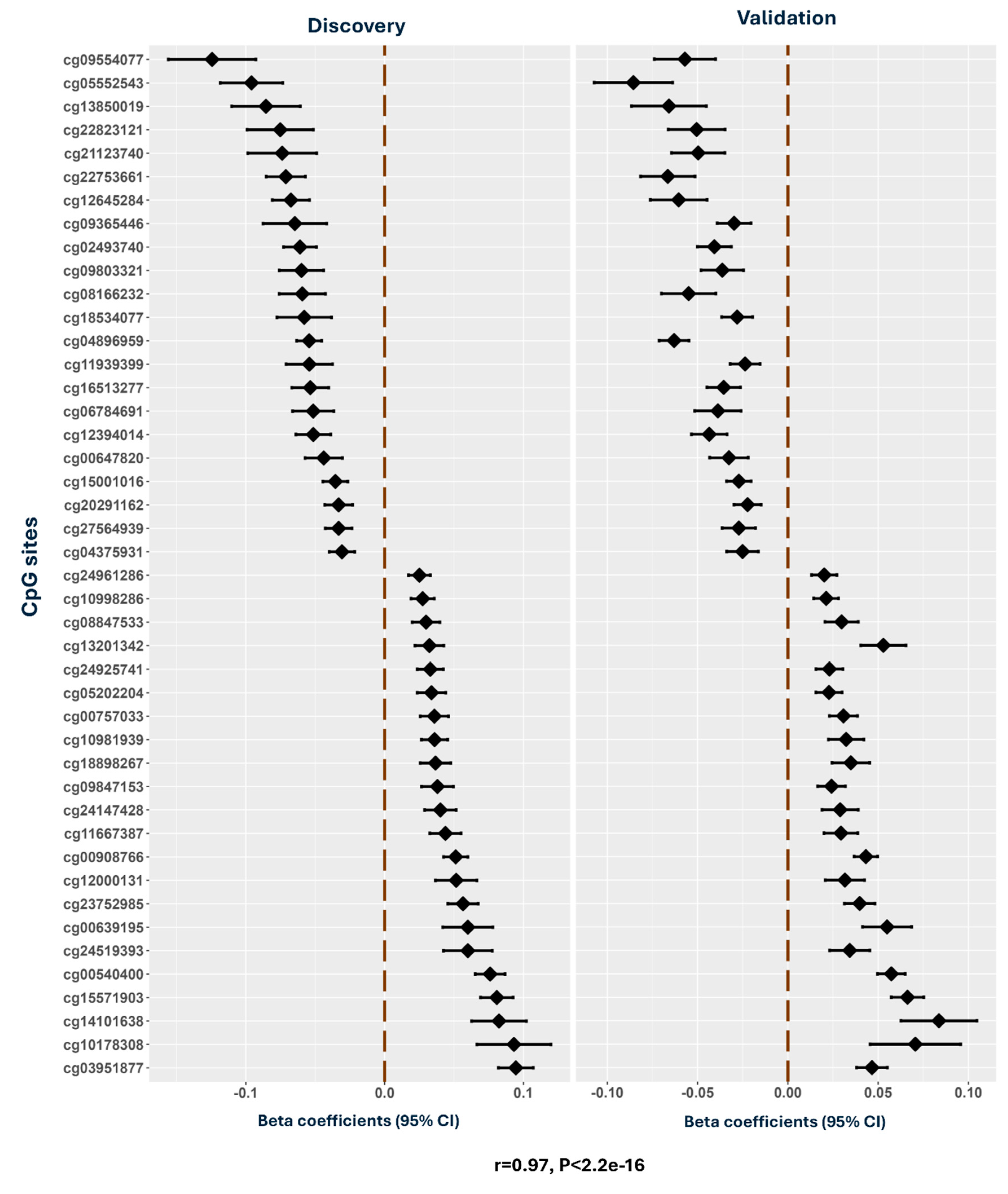
Background and Aims: This study aimed to systematically search for molecular biomarkers that contribute to the risk of coronary artery disease (CAD). Methods and Results: A SNP-based multiomics data analysis plan was used to identify biomarkers contributing to the risk of CAD through a two-step discovery and validation design. By integrating CAD GWAS data with epigenome, transcriptome, and proteome quantitative trait loci (QTLs) from blood, 44 CpG sites, 37 transcripts, and 27 protein biomarkers were identified contributing to the risk of CAD. The identified biomarkers shared interactions and were enriched in lipid metabolism-related processes. The PCSK9 protein was under the regulatory impact of the APOC1, GZMA, and GRN proteins. The impact of SMARCA4 and PSRC1 transcripts on CAD were mediated through lipids, whereas the influence of the FES transcript on the risk of CAD was attributed to blood pressure. Finally, while 53% of the transcripts identified through the discovery stage were validated, this ratio was 20% for the protein biomarkers and 24% for the CpG sites. Conclusions: This study identified biomarkers contributing to the risk of CAD through a two-step discovery and validation analyses; furthermore, it provided insights into the paths by which several biomarkers influence the risk of CAD and underlined the efficiency of transcriptome platforms in identifying biomarkers.
Keywords: 
;  ;  ;  ;  ;  
Copyright: This open access article is published under a Creative Commons CC BY 4.0 license, which permit the free download, distribution, and reuse, provided that the author and preprint are cited in any reuse.
Prerpints.org logo

Preprints.org is a free preprint server supported by MDPI in Basel, Switzerland.

Subscribe

Disclaimer

Terms of Use

Privacy Policy

Privacy Settings

© 2026 MDPI (Basel, Switzerland) unless otherwise stated