Submitted:
01 April 2026
Posted:
02 April 2026
You are already at the latest version
Abstract
Keywords:
1. Introduction
2. Experimental Test Setup
2.1. Experimental System
2.2. Test Conditions
3. Mathematical Model of System
3.1. Modeling Assumptions
- i)
- the working fluid behaves as an ideal gas.
- ii)
- air leakage in the cylinder chambers is neglected.
- iii)
- temperature variation in the chambers is negligible with respect to the supply temperature.
- iv)
- pressure and temperature are spatially uniform within each chamber.
- v)
- thermodynamic processes in the chambers are adiabatic.
3.2. Valve Flow Model
3.3. Chamber Pressure Dynamics
3.4. Piston Motion Equation
3.5. Revised LuGre Friction Model
3.6. Dwell-Time-Dependent Static Friction
4. Results and Discussion
4.1. Experimental System
4.1.1. Stick-Slip Characteristics
4.1.2. Effects of Airflow Rate
4.1.3. Effects of Air Source Pressure
4.1.4. Effects of External Load
4.1.5. Effect of Initial Piston Position
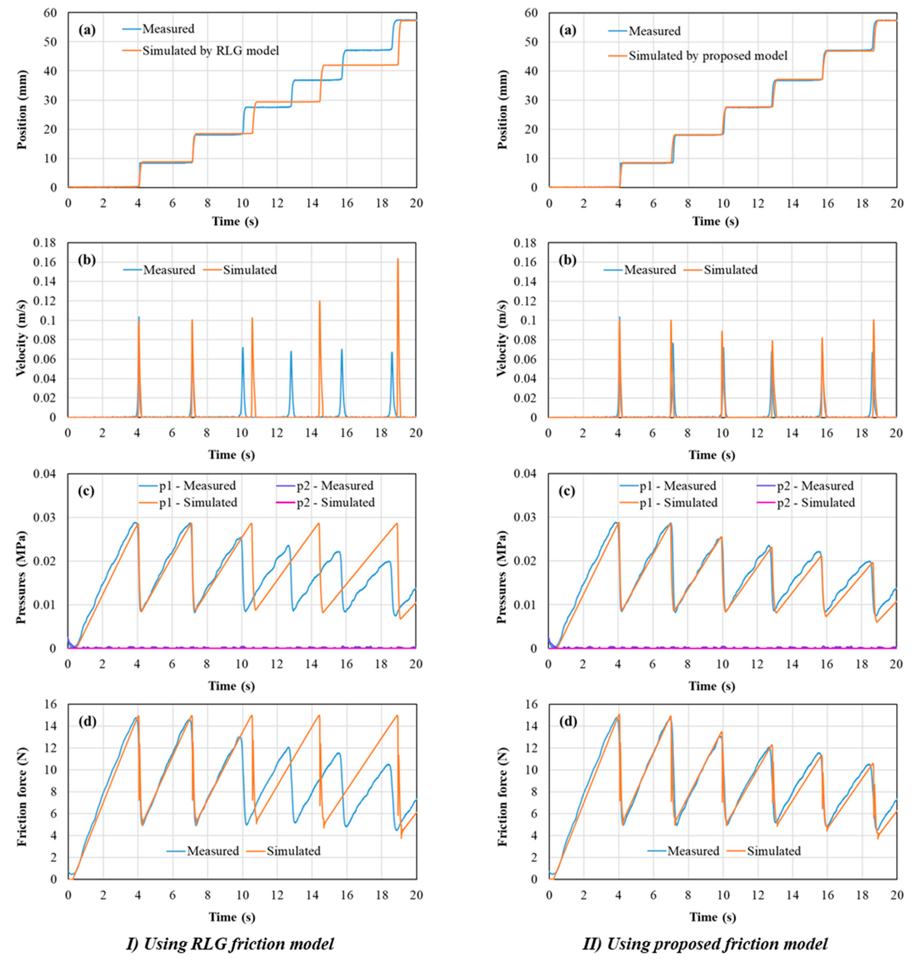
4.2. Simulation Results
5. Conclusions
Author Contributions
Funding
Data Availability Statement
Conflicts of Interest
Abbreviations
| ADC | Analog-to-Digital Converter |
| DAC | Digital-to-Analog Converter |
| RLG | Revised LuGre (Friction Model) |
References
- Pratt, T.K.; Williams, R. Non-linear analysis of stick–slip motion. J. Sound Vib. 1981, 74, 531–542. [Google Scholar] [CrossRef]
- Armstrong-Helouvry, B. Control of Machines with Friction; Springer: Boston, MA, USA, 1991. [Google Scholar]
- Armstrong-Helouvry, B.; Dupont, P.; Canudas de Wit, C. A survey of models, analysis tools and compensation methods for the control of machines with friction. Automatica 1994, 30, 1083–1138. [Google Scholar] [CrossRef]
- Hamiti, K.; Voda-Besançon, A.; Roux-Buisson, H. Position control of a pneumatic actuator under the influence of stiction. Control Eng. Pract. 1996, 4, 1079–1088. [Google Scholar] [CrossRef]
- Pai, K.R.; Shih, M.C. Nanoaccuracy position control of a pneumatic cylinder driven table. JSME Int. J. Ser. C 2003, 46, 1062–1067. [Google Scholar] [CrossRef]
- Renn, J.C.; Liao, C.M. A study on the speed control performance of a servo-pneumatic motor and its application to pneumatic tools. Int. J. Adv. Manuf. Technol. 2004, 23, 572–576. [Google Scholar] [CrossRef]
- Saravanakumar, D.; Mohan, B.; Muthuramalingam, T. A review on recent research trends in servo pneumatic positioning systems. Precis. Eng. 2017, 49, 481–492. [Google Scholar] [CrossRef]
- Tokashiki, R.; Fujita, T.; Kagawa, T. Stick–slip motion in pneumatic cylinders driven by meter-out circuit. Trans. Jpn. Hydraul. Pneumat. Soc. 2000, 31, 170–175. [Google Scholar]
- Zhang, B.H.; Ma, Y.F.; Cheng, H.F.; Peng, G.Z. A new method to predict the occurrence of stick–slip in pneumatic cylinders. In Proceedings of the JFPS International Symposium on Fluid Power, Tsukuba, Japan, 7–10 November 2005; Volume 6, pp. 812–816. [Google Scholar]
- Fan, W.; Liu, Q.; Zhang, B.; Peng, G. Study on the stick–slip criterion of unsymmetrical cylinder driven by meter-out circuit. In Proceedings of the IEEE International Conference on Mechatronics, Kumamoto, Japan, 2007; pp. 1–5. [Google Scholar]
- Brun, X.; Sesmat, S.; Thomasset, D.; Scavarda, S. Study of the “sticking and restarting phenomenon” in electropneumatic positioning systems. J. Dyn. Syst. Meas. Control 2005, 127, 173–184. [Google Scholar] [CrossRef]
- Azzi, A.; Maoui, A.; Fatu, A.; et al. Experimental study of friction in pneumatic seals. Tribol. Int. 2019, 135, 432–443. [Google Scholar] [CrossRef]
- Qian, P.F.; Tao, G.L.; Chen, J.F.; et al. Modeling and simulation of stick–slip motion for pneumatic cylinders based on meter-in circuit. Appl. Mech. Mater. 2011, 130–134, 775–780. [Google Scholar] [CrossRef]
- Canudas de Wit, C.; Olsson, H.; Åström, K.J.; Lischinsky, P. A new model for control of systems with friction. IEEE Trans. Autom. Control 1995, 40, 419–425. [Google Scholar] [CrossRef]
- Tran, X.; Dao, H.; Tran, K. A new mathematical model of friction for pneumatic cylinders. Proc. Inst. Mech. Eng. Part C J. Mech. Eng. Sci. 2016, 230, 2399–2412. [Google Scholar] [CrossRef]
- Tran, X.B.; Nguyen, V.L.; Tran, K.D. Effects of friction models on simulation of pneumatic cylinders. Mech. Sci. 2019, 10, 517–528. [Google Scholar] [CrossRef]
- Liu, Y.F.; Li, J.; Zhang, Z.M.; Hu, X.H.; Zhang, W.J. Experimental comparison of five friction models on the same test bed of micro stick–slip motion systems. Mech. Sci. 2015, 6, 15–28. [Google Scholar] [CrossRef]
- Dahl, P.R. A Solid Friction Model; The Aerospace Corporation: El Segundo, CA, USA, 1968. [Google Scholar]
- Dupont, P.; Hayward, V.; Armstrong, B.; Altpeter, F. Single-state elastoplastic friction models. IEEE Trans. Autom. Control 2002, 47, 787–792. [Google Scholar] [CrossRef]













| Parameters | Cylinder 1 | Cylinder 2 | Cylinder 3 |
|---|---|---|---|
| Cylinder type | CM2L25-300Z | CDA2B0-200Z | MDBB3-200Z |
| Bore diameter (mm) | 25 | 40 | 63 |
| Rod diameter (mm) | 10 | 16 | 20 |
| Stroke (mm) | 300 | 200 | 200 |
| Parameters | Values | ||
|---|---|---|---|
| Cylinder 1 | Cylinder 2 | Cylinder 3 | |
| A1(m2) | 4.91×10-4 | 13×10-4 | 31×10-4 |
| A2(m2) | 4.12×10-4 | 11×10-4 | 28×10-4 |
| V10(m3) | 3×10-5 | 5×10-5 | 7×10-5 |
| V20(m3) | 10×10-5 | 10×10-5 | 10×10-5 |
| M (kg) | 0.45 | 0.65 | 0.98 |
| L (m) | 0.3 | 0.2 | 0.2 |
| Fsmax (N) | 15.45 | 22 | 26 |
| Fc (N) | 4 | 0.5 | 3 |
| vs (m/s) | 0.012 | 0.033 | 0.003 |
| vb (m/s) | 0.05 | 0.05 | 0.05 |
| n | 2.5 | 2.5 | 2.5 |
| σ2(Ns/m) | 85 | 210 | 350 |
| σ1(Ns/m) | 0.1 | 0.1 | 0.1 |
| τhp (s) | 0.01 | 0.013 | 0.016 |
| τhn (s) | 0.32 | 0.3 | 0.28 |
| τh0(s) | 36 | 38 | 42 |
| α | 0.45 | 0.55 | 0.62 |
| γ | 0.22 | 0.43 | 0.18 |
| KV1 (m2/V) | 4.8×10-8 | ||
| KV2 (m2/V) | 1×10-6 | ||
| T (0K) | 300 | ||
| k | 1.3997 | ||
| um (V) | 2.65 | ||
| un (V) | 2.35 | ||
| patm (N/m2) | 1×105 | ||
Disclaimer/Publisher’s Note: The statements, opinions and data contained in all publications are solely those of the individual author(s) and contributor(s) and not of MDPI and/or the editor(s). MDPI and/or the editor(s) disclaim responsibility for any injury to people or property resulting from any ideas, methods, instructions or products referred to in the content. |
© 2026 by the authors. Licensee MDPI, Basel, Switzerland. This article is an open access article distributed under the terms and conditions of the Creative Commons Attribution (CC BY) license (http://creativecommons.org/licenses/by/4.0/).