Submitted:
31 March 2026
Posted:
01 April 2026
You are already at the latest version
Abstract
Keywords:
1. Introduction
2. Aura Microwave Limb Sounder and Data Analysis
2.1. Aura/MLS
2.2. Data Analysis
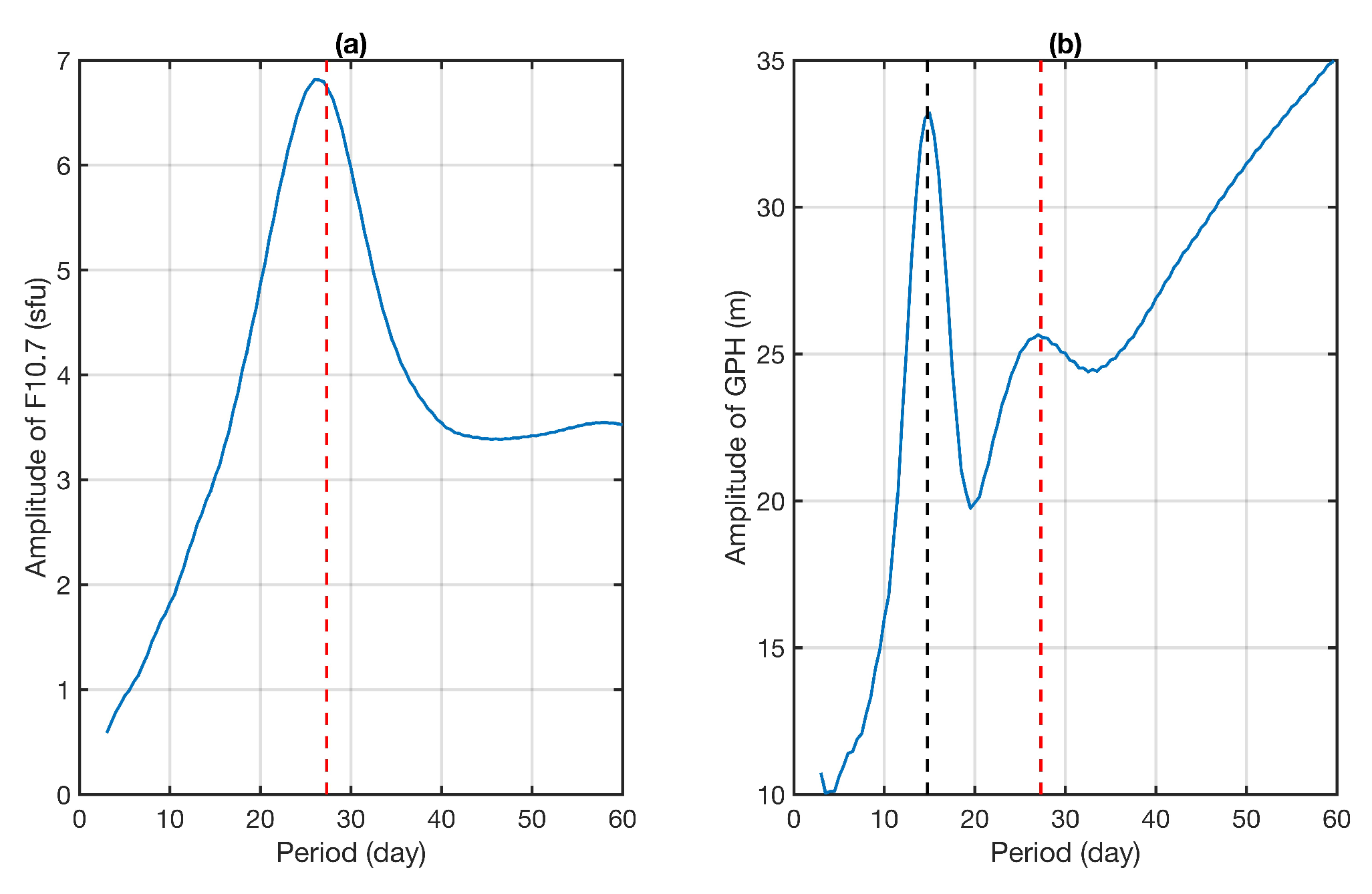
3. Results
4. Discussion
5. Conclusions
Author Contributions
Funding
Institutional Review Board Statement
Informed Consent Statement
Data Availability Statement
Acknowledgments
Conflicts of Interest
References
- Schanz, A.; Hocke, K.; Kämpfer, N. On forced and free atmospheric oscillations near the 27-day periodicity. Earth, Planets and Space 2016, 68, 97. [Google Scholar] [CrossRef]
- Lean, J.L.; Woods, T.N.; Eparvier, F.G.; Meier, R.R.; Strickland, D.J.; Correira, J.T.; Evans, J.S. Solar extreme ultraviolet irradiance: Present, past, and future. Journal of Geophysical Research: Space Physics 2011, 116. Available online: https://agupubs.onlinelibrary.wiley.com/doi/pdf/10.1029/2010JA015901. [CrossRef]
- Gan, Q.; Du, J.; Fomichev, V.I.; Ward, W.E.; Beagley, S.R.; Zhang, S.; Yue, J. Temperature responses to the 11?year solar cycle in the mesosphere from the 31?year (1979-2010) extended Canadian Middle Atmosphere Model simulations and a comparison with the 14?year (2002-2015) TIMED/SABER observations. Journal of Geophysical Research: Space Physics 2017, 122, 4801–4818. Available online: https://agupubs.onlinelibrary.wiley.com/doi/pdf/10.1002/2016JA023564. [CrossRef]
- Tapping, K.F. The 10.7 cm solar radio flux (F10.7). Space Weather 2013, 11, 394–406. Available online: https://agupubs.onlinelibrary.wiley.com/doi/pdf/10.1002/swe.20064. [CrossRef]
- Rong, P.; von Savigny, C.; Zhang, C.; Hoffmann, C.G.; Schwartz, M.J. Response of middle atmospheric temperature to the 27 d solar cycle: an analysis of 13 years of microwave limb sounder data. Atmospheric Chemistry and Physics 2020, 20, 1737–1755. [Google Scholar] [CrossRef]
- Ren, D.; Lei, J.; Wang, W.; Burns, A.; Luan, X.; Dou, X. A Simulation Study on the Time Delay of Daytime Thermospheric Temperature Response to the 27-Day Solar EUV Flux Variation. Journal of Geophysical Research: Space Physics 2019, 124, 9184–9193. Available online: https://agupubs.onlinelibrary.wiley.com/doi/pdf/10.1029/2019JA027000. [CrossRef]
- Forbes, J.M.; Zhang, X.; Marsh, D.R. Solar cycle dependence of middle atmosphere temperatures. Journal of Geophysical Research: Atmospheres 2014, 119, 9615–9625. Available online: http://arxiv.org/abs/https://agupubs.onlinelibrary.wiley.com/doi/pdf/10.1002/2014JD021484. [CrossRef]
- Li, T.; Yue, J.; Russell, J.M.; Zhang, X. Long-term trend and solar cycle in the middle atmosphere temperature revealed from merged HALOE and SABER datasets. Journal of Atmospheric and Solar-Terrestrial Physics 2021, 212, 105506. [Google Scholar] [CrossRef]
- Fioletov, V.E. Estimating the 27-day and 11-year solar cycle variations in tropical upper stratospheric ozone. Journal of Geophysical Research: Atmospheres 2009, 114. Available online: http://arxiv.org/abs/https://agupubs.onlinelibrary.wiley.com/doi/pdf/10.1029/2008JD010499. [CrossRef]
- Brasseur, G. The response of the middle atmosphere to long-term and short-term solar variability: A two-dimensional model. Journal of Geophysical Research: Atmospheres 1993, 98, 23079–23090. Available online: https://agupubs.onlinelibrary.wiley.com/doi/pdf/10.1029/93JD02406. [CrossRef]
- Aikin, A.C.; Smith, H.J.P. Mesospheric ozone changes associated with 27 day solar ultraviolet flux variations. Geophysical Research Letters 1986, 13, 427–430. Available online: http://arxiv.org/abs/https://agupubs.onlinelibrary.wiley.com/doi/pdf/10.1029/GL013i005p00427. [CrossRef]
- Huo, W.; Spiegl, T.; Wahl, S.; Matthes, K.; Langematz, U.; Pohlmann, H.; Kröger, J. Assessment of the 11-year solar cycle signals in the middle atmosphere during boreal winter with multiple-model ensemble simulations. Atmospheric Chemistry and Physics 2025, 25, 2589–2612. [Google Scholar] [CrossRef]
- Moreira, L.; Hocke, K.; Navas-Guzmán, F.; Eckert, E.; von Clarmann, T.; Kämpfer, N. The natural oscillations in stratospheric ozone observed by the GROMOS microwave radiometer at the NDACC station Bern. Atmospheric Chemistry and Physics 2016, 16, 10455–10467. [Google Scholar] [CrossRef]
- Lee, J.N.; Wu, D.L. Solar Cycle Modulation of Nighttime Ozone Near the Mesopause as Observed by MLS. Earth and Space Science 2020, 7, e2019EA001063. Available online: http://arxiv.org/abs/https://agupubs.onlinelibrary.wiley.com/doi/pdf/10.1029/2019EA001063. [CrossRef]
- Fadnavis, S.; Beig, G.; Chakraborti, T. Decadal solar signal in ozone and temperature through the mesosphere of Northern tropics. Journal of Atmospheric and Solar-Terrestrial Physics;Structure and Dynamics of Mesosphere and Lower Thermosphere 2012, 78-79, 2–7. [Google Scholar] [CrossRef]
- Shapiro, A.V.; Rozanov, E.; Shapiro, A.I.; Wang, S.; Egorova, T.; Schmutz, W.; Peter, T. Signature of the 27-day solar rotation cycle in mesospheric OH and H2O observed by the Aura Microwave Limb Sounder. Atmospheric Chemistry and Physics 2012, 12, 3181–3188. [Google Scholar] [CrossRef]
- Lainer, M.; Hocke, K.; Kämpfer, N. Variability of mesospheric water vapor above Bern in relation to the 27-day solar rotation cycle. Journal of Atmospheric and Solar-Terrestrial Physics 2016, 143-144, 71–87. [Google Scholar] [CrossRef]
- Nedoluha, G.E.; Gomez, R.M.; Hicks, B.C.; Wrotny, J.E.; Boone, C.; Lambert, A. Water vapor measurements in the mesosphere from Mauna Loa over solar cycle 23. Journal of Geophysical Research: Atmospheres 2009, 114. Available online: https://agupubs.onlinelibrary.wiley.com/doi/pdf/10.1029/2009JD012504. [CrossRef]
- Remsberg, E.; Damadeo, R.; Natarajan, M.; Bhatt, P. Observed Responses of Mesospheric Water Vapor to Solar Cycle and Dynamical Forcings. Journal of Geophysical Research: Atmospheres 2018, 123, 3830–3843. Available online: https://agupubs.onlinelibrary.wiley.com/doi/pdf/10.1002/2017JD028029. [CrossRef]
- Waters, J.W.; Froidevaux, L.; Harwood, R.S.; Jarnot, R.F.; Pickett, H.M.; Read, W.G.; Siegel, P.H.; Cofield, R.E.; Filipiak, M.J.; Flower, D.A.; et al. The Earth Observing System Microwave Limb Sounder (EOS MLS) on the Aura satellite. IEEE Transactions on Geoscience and Remote Sensing 2006, 44, 1075–1092. [Google Scholar] [CrossRef]
- Livesey, N.J.; Read, W.G.; Wagner, P.A.; Froidevaux, L.; Santee, M.L.; Schwartz, M.J.; Lambert, A.; Valle, L.F.M.; Pumphrey, H.C.; Manney, G.L.; et al. Earth Observing System (EOS) Aura Microwave Limb Sounder (MLS) Version 5.0x Level 2 and 3 data quality and description document. JPL D-105336 Rev. B, 2022. Available online: https://mls.jpl.nasa.gov/data/v5-0_data_quality_document.pdf.
- Schwartz, M.J.; Lambert, A.; Manney, G.L.; Read, W.G.; Livesey, N.J.; Froidevaux, L.; Ao, C.O.; Bernath, P.F.; Boone, C.D.; Cofield, R.E.; et al. Validation of the Aura Microwave Limb Sounder temperature and geopotential height measurements. Journal of Geophysical Research: Atmospheres 2008, 113. [Google Scholar] [CrossRef]
- Bell, A.; Sauvageat, E.; Stober, G.; Hocke, K.; Murk, A. Developments on a 22 GHz microwave radiometer and reprocessing of 13-year time series for water vapour studies. Atmospheric Measurement Techniques 2025, 18, 555–567. [Google Scholar] [CrossRef]
- Hocke, K. Observation of the Lunar Tide in the Middle Atmosphere by the Aura Microwave Limb Sounder. EGUsphere 2026, 2026, 1–16. [Google Scholar] [CrossRef]
- Studer, S.; Hocke, K.; Kämpfer, N. Intraseasonal oscillations of stratospheric ozone above Switzerland. Journal of Atmospheric and Solar-Terrestrial Physics 2012, 74, 189–198. [Google Scholar] [CrossRef]
- Hocke, K. Oscillations of global mean TEC. Journal of Geophysical Research: Space Physics 2008, 113. Available online: https://agupubs.onlinelibrary.wiley.com/doi/pdf/10.1029/2007JA012798. [CrossRef]
- Hocke, K.; Sauvageat, E. Frequency Dependence of the Correlation between Ozone and Temperature Oscillations in the Middle Atmosphere. Atmosphere 2023, 14. [Google Scholar] [CrossRef]












| Parameter | solar cycle | p,z | sensitivity | lag | correlation* |
|---|---|---|---|---|---|
| GPH | 27d | 4.6e-4hPa, 94km | 154m/100sfu | 4d | - |
| GPH | 11y | 4.6e-4hPa, 94km | 492m/100sfu | - | 0.76 |
| T | 27d | 4.6e-4hPa, 94km | 1.9K/100sfu | 3d | - |
| T | 11y | 4.6e-4hPa, 94km | 5.8K/100sfu | - | 0.93 |
| O3 | 27d | 5.6Pa, 39km | 0.13ppmv/100sfu 1.7%/100sfu | 2d | - |
| O3 | 27d | 0.001Pa, 90km | ppmv/100sfu %/100sfu | 0d | - |
| O3 | 11y | 0.001Pa, 90km | 1.2ppmv/100sfu 28%/100sfu | - | 0.80 |
| H2O | 27d | 0.001Pa, 90km | ppmv/100sfu %/100sfu | 5d | - |
| H2O | 11y | 0.001Pa, 90km | ppmv/100sfu %/100sfu | - |
Disclaimer/Publisher’s Note: The statements, opinions and data contained in all publications are solely those of the individual author(s) and contributor(s) and not of MDPI and/or the editor(s). MDPI and/or the editor(s) disclaim responsibility for any injury to people or property resulting from any ideas, methods, instructions or products referred to in the content. |
© 2026 by the author. Licensee MDPI, Basel, Switzerland. This article is an open access article distributed under the terms and conditions of the Creative Commons Attribution (CC BY) license (http://creativecommons.org/licenses/by/4.0/).