Submitted:
31 March 2026
Posted:
01 April 2026
You are already at the latest version
Abstract
Keywords:
1. Introduction
- does not include a relevant interference pattern of the thin film spectrum and
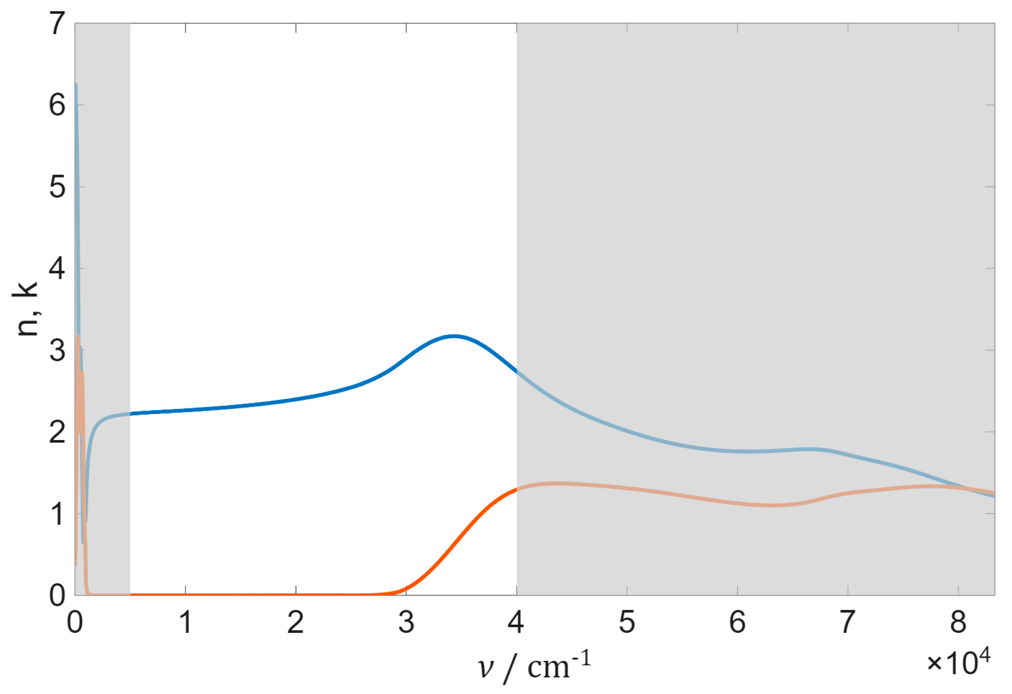
2. Theoretical Aspects
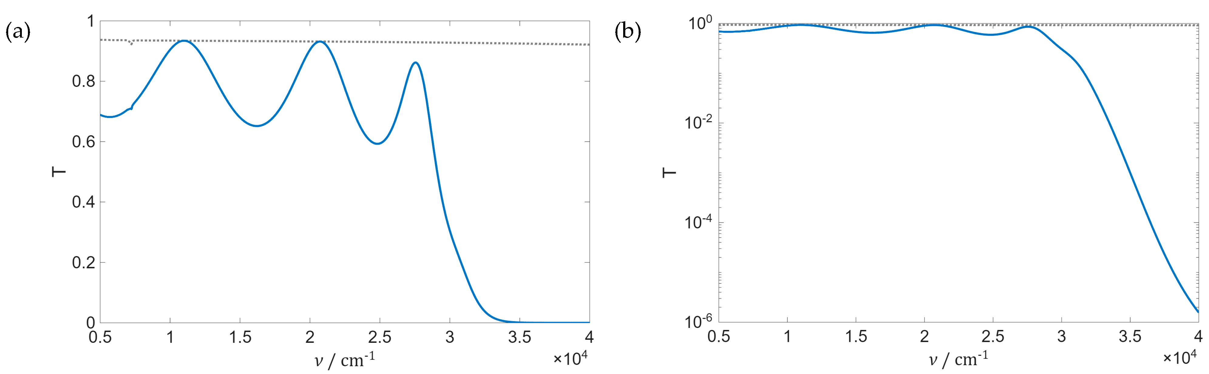
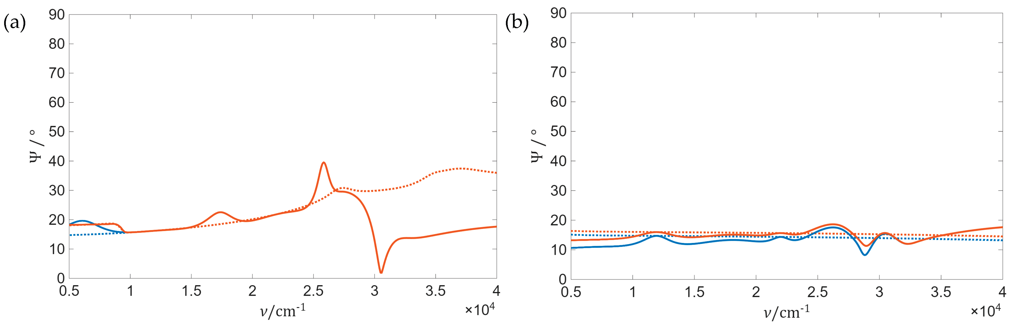
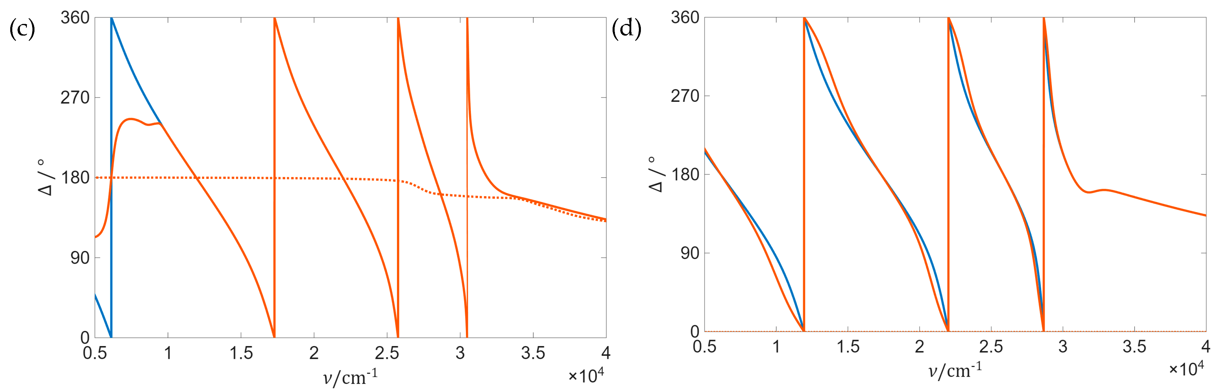
3. Simulation Results
3.1. Ellipsometry and Photometric Quantities
3.2. Merged Discrepancy Functions
4. Discussion
| 10° | 55° | 65° | 75° | ||||||||
| 2.42 | 2.42 | 2.31 | 2.07 | 2.29 | 1.36 | 2.27 | 0.023 | 2.28 | 0.480 | ||
| 0.028 | 0.027 | 0.047 | 0.115 | 0.053 | 0.57 | 0.057 | 5.18 | 0.055 | 2.14 | ||
| 1.79 | 1.79 | 1.74 | 1.61 | 1.72 | 1.21 | 1.71 | 0.233 | 1.72 | 0.660 | ||
| 0.135 | 0.140 | 0.081 | 0.007 | 0.070 | 0.35 | 0.063 | 9.58 | 0.065 | 3.09 | ||
| 1.19 | 1.19 | 1.18 | 1.15 | 1.18 | 1.06 | 1.18 | 0.738 | 1.18 | 0.900 | ||
| 16.0 | 16.2 | 13.7 | 8.839 | 13.2 | 0.240 | 12.8 | 75.2 | 12.9 | 14.3 | ||
| 0.023 | 0.022 | 0.042 | 0.107 | 0.047 | 0.559 | 0.051 | 5.28 | 0.050 | 2.16 | ||
| 2.39 | 2.40 | 2.29 | 2.05 | 2.27 | 1.35 | 2.25 | 0.027 | 2.25 | 0.486 | ||
| 0.378 | 0.376 | 0.407 | 0.482 | 0.415 | 0.784 | 0.420 | 2.53 | 0.418 | 1.47 | ||
| 4.85 | 4.87 | 4.53 | 3.82 | 4.46 | 1.84 | 4.40 | 0.708 | 4.42 | 0.111 | ||
5. Conclusions
Author Contributions
Funding
Data Availability Statement
Conflicts of Interest
References
- Stenzel, O.; Wilbrandt, S.; Kaiser, N.; Vinnichenko, M.; Munnik, F.; Kolitsch, A.; Chuvilin, A.; Kaiser, U.; Ebert, J.; Jakobs, S.; Kaless, A.; Wüthrich, S.; Treichel, O.; Wunderlich, B.; Bitzer, M.; Grössl, M. The correlation between mechanical stress, thermal shift and refractive index in HfO2, Nb2O5, Ta2O5 and SiO2 layers and its relation to the layer porosity. Thin Solid Films 2009, 517, 6058–6068. [Google Scholar] [CrossRef]
- Targove, J.D.; Macleod, H.A. Verification of momentum transfer as the dominant densifying mechanism in ion-assisted deposition. Appl. Opt. 1988, 27, 3779–3781. [Google Scholar] [CrossRef]
- Davis, C.A. A simple model for the formation of compressive stress in thin films by ion bombardment. Thin Solid Films 1993, 226, 30–34. [Google Scholar] [CrossRef]
- Ehlers, H.; Becker, K.-J.; Beckmann, R.; Beermann, N.; Brauneck, U.; Fuhrberg, P.; Gaebler, D.; Jakobs, S.; Kaiser, N.; Kennedy, M.; Koenig, F.; Laux, S.; Mueller, J. C.; Rau, B.; Riggers, W.; Ristau, D.; Schaefer, D.; Stenzel, O. Ion-assisted deposition processes: industrial network IntIon. Proc. SPIE 5250 Advances in Optical Thin Films, 2004. [Google Scholar] [CrossRef]
- Harhausen, J.; Foest, R.; Stenzel, O.; Wilbrandt, S.; Franke, C.; Brinkmann, R. Concepts for in situ characterization and control of plasma ion assisted deposition processes. Thin Solid Films 2019, 673, 94–103. [Google Scholar] [CrossRef]
- Pulker, H. K. Characterization of optical thin films. Appl. Opt. 1979, 18, 1969–1977. [Google Scholar] [CrossRef] [PubMed]
- Dobrowolski, J. A.; Ho, F. C.; Waldorf, A. Determination of optical constants of thin film coating materials based on inverse synthesis. Applied Optics 1983, 22, 3191. [Google Scholar] [CrossRef]
- Tikhonravov, A. V.; Amotchkina, T. V.; Trubetskov, M. K.; Francis, R. J.; Janicki, V.; Sancho-Parramon, J.; Zorc, H.; Pervak, V. Optical characterization and reverse engineering based on multiangle spectroscopy. Appl. Opt. 2012, 51, 245–254. [Google Scholar] [CrossRef]
- Woollam, J. A.; Hilfiker, J. N.; Synowicki, R. A. Ellipsometry, variable angle spectroscopic. In Wiley Encyclopedia of Electrical and Electronics Engineering; Webster, J., Ed.; Wiley, 2000. [Google Scholar] [CrossRef]
- Tikhonravov, A.; Trubetskov, M.; Amotchkina, T.; Tikhonravov, A.; Ristau, D.; Günster, S. Reliable determination of wavelength dependence of thin film refractive index. In SPIE International Society for Optics and Photonics; 2003; pp. 331–342. [Google Scholar] [CrossRef]
- Tikhonravov, A. V.; Amotchkina, T. V.; Trubetskov, M. K.; Francis, R. J.; Janicki, V.; Sancho-Parramon, J.; Zorc, H.; Pervak, V. Optical characterization and reverse engineering based on multiangle spectroscopy. Appl. Opt. 2012, 51, 245–254. [Google Scholar] [CrossRef]
- Gao, L.; Lemarchand, F.; Lequime, M. Exploitation of multiple incidences spectrometric measurements for thin film reverse engineering. Opt. Express 2012, 20, 15734–15751. [Google Scholar] [CrossRef] [PubMed]
- Kozlova, N. S.; Levashov, E. A.; Kiryukhantsev-Korneev, P. V.; Sytchenko, A. D.; Zabelina, E. V. The possibilities of multi-angle spectrophotometry for determining the parameters of films on single-layer structures. Izvestiya Vysshikh Uchebnykh Zavedenii. Materialy Elektronnoi Tekhniki = Materials of Electronics Engineering 2022, 25, 154–163. [Google Scholar] [CrossRef]
- Larruquert, J. I.; Aznárez, J. A.; Méndez, J. A.; Malvezzi, A. M.; Poletto, L.; Covini, S. Optical properties of scandium films in the far and the extreme ultraviolet. Appl. Opt. 2004, 43, 3271–3278. [Google Scholar] [CrossRef]
- Rey-Bayle, M.; Bendoula, R.; Caillol, N.; Roger, J.-M. Multiangle near infrared spectroscopy associated with common components and specific weights analysis for in line monitoring. Journal of Near Infrared Spectroscopy 2019, 27, 134–146. [Google Scholar] [CrossRef]
- Wagner, T.; Hilfiker, J.; Tiwald, T.; Bungay, C.; Zollner, S. Materials Characterization in the Vacuum Ultraviolet with Variable Angle Spectroscopic Ellipsometry. physica status solidi (a) 2001, 188, 1553–1562. [Google Scholar] [CrossRef]
- Born, M.; Wolf, E. Principles of Optics; Pergamon Press: Oxford, UK; London, UK; Edinburgh, UK; New York, NY, USA; Paris, France; Frankfurt, Germany, 1968. [Google Scholar]
- Amotchkina, T. V.; Trubetskov, M. K.; Tikhonravov, A. V.; Janicki, V.; Sancho-Parramon, J.; Zorc, H. Comparison of two techniques for reliable characterization of thin metal–dielectric films. Appl. Opt. 2011, 50, 6189–6197. [Google Scholar] [CrossRef]
- Stenzel, O. The Physics of Thin Film Optical Spectra: An Introduction; Springer International Publishing, 2024. [Google Scholar]
- Franta, D.; Hroncová, B.; Dvořák, J.; Vohánka, J.; Franta, P.; Ohlídal, I.; Pekař, V.; Škoda, D. Wide spectral range optical characterization of niobium pentoxide (Nb2O5) films by universal dispersion model. Optical Materials 2024, 157, 116133. [Google Scholar] [CrossRef]
- Larruquert, J. I. Characterization of the optical constants of materials from the visible to the soft x-rays. SPIE International Society for Optics and Photonics, 2008; p. 71010W. [Google Scholar]
- Nestell, J. E.; Christy, R. W. Derivation of Optical Constants of Metals from Thin-Film Measurements at Oblique Incidence. Appl. Opt. 1972, 11, 643–651. [Google Scholar] [CrossRef]
- Elizalde, E.; Rueda, F. On the determination of the optical constants n(λ) and α(λ) of thin supported films. Thin Solid Films 1984, 122, 45–57. [Google Scholar] [CrossRef]
- Elizalde, E.; Frigerio, J. M.; Rivory, J. Determination of thickness and optical constants of thin films from photometric and ellipsometric measurements. Appl. Opt. 1986, 25, 4557–4561. [Google Scholar] [CrossRef] [PubMed]
- Ohlídal, I.; Navrátil, K. Simple method of spectroscopic reflectometry for the complete optical analysis of weakly absorbing thin films: Application to silicon films. Thin Solid Films 1988, 156, 181–190. [Google Scholar] [CrossRef]
- Kozlova, N. S.; Shayapov, V. R.; Zabelina, E. V.; Kozlova, A. P.; Zhukov, R. N.; Kiselev, D. A.; Malinkovich, M. D.; Voronova, M. I. Spectrophotometric determination of optical parameters of lithium niobate films. Modern Electronic Materials 2017, 3, 122–126. [Google Scholar] [CrossRef]
- Gushterova, P.; Sharlandjiev, P. Determination of optical constants (n, k, d) of very thin films deposited on absorbing substrate. Vacuum 2004, 76, 185–189. [Google Scholar] [CrossRef]
- Gallardo, J.; Durán, A.; Di Martino, D.; Almeida, R. Structure of inorganic and hybrid SiO2 sol–gel coatings studied by variable incidence infrared spectroscopy. Journal of Non-Crystalline Solids 2002, 298, 219–225. [Google Scholar] [CrossRef]
- Gaballah, A.; Nicolosi, P.; Ahmed, N.; Jimenez, K.; Pettinari, G.; Gerardino, A.; Zuppella, P. Vacuum ultraviolet quarter wave plates based on SnTe/Al bilayer: Design, fabrication, optical and ellipsometric characterization. Applied Surface Science 2019, 463, 75–81. [Google Scholar] [CrossRef]
- Babeva, T.; Kitova, S. Reflectance methods for determining the optical constants of highly absorbing films: comparative analysis of the accuracy. Journal of Optics A: Pure and Applied Optics 2007, 9, 145–151. [Google Scholar] [CrossRef]
- Azzam, R. M. A.; Ugbo, E. E. Contours of constant pseudo-Brewster angle in the complex ∊ plane and an analytical method for the determination of optical constants. Applied Optics 1989, 28, 5222–5228. [Google Scholar] [CrossRef] [PubMed]
- Kim, S. Y.; Vedam, K. Analytic solution of the pseudo-Brewster angle. Journal of the Optical Society of America A 1986, 3, 1772–1773. [Google Scholar] [CrossRef]
- Azzam, R. M. A. Explicit equations for the second Brewster angle of an interface between a transparent and an absorbing medium. J. Opt. Soc. Am. 1983, 73, 1211–1212. [Google Scholar] [CrossRef]
- Alsamman, A.; Azzam, R. M. A. Difference between the second-Brewster and pseudo-Brewster angles when polarized light is reflected at a dielectric–conductor interface. Journal of the Optical Society of America A 2010, 27, 1156–1161. [Google Scholar] [CrossRef]
- Potter, P. Reflectometer for pseudo-Brewster angle spectrometry (BAIRS). Proc. SPIE 4103, Optical Diagnostic Methods for Inorganic Materials II, 2000; pp. 85–89. [Google Scholar] [CrossRef]
- Ogusu, K.; Suzuki, K.; Nishio, H. Simple and accurate measurement of the absorption coefficient of an absorbing plate by use of the Brewster angle. Optics Letters 2006, 31, 909–911. [Google Scholar] [CrossRef]
- Regalado, L. E.; Machorro, R.; Leyva-Lucero, M.; Garcia-Llamas, R. Angle scanning reflectometry: study of two characteristic isoreflectance angles. Journal of Physics D: Applied Physics 1992, 25, 1365–1370. [Google Scholar] [CrossRef]
- Humphreys-Owen, S. P. F. Comparison of Reflection Methods for Measuring Optical Constants without Polarimetric Analysis, and Proposal for New Methods based on the Brewster Angle. Proceedings of the Physical Society 1961, 77, 949. [Google Scholar] [CrossRef]
- Bhattacharyya, S.; Gayen, R.; Paul, R.; Pal, A. Determination of optical constants of thin films from transmittance trace. Thin Solid Films 2009, 517, 5530–5536. [Google Scholar] [CrossRef]
- Swanepoel, R. Determination of the thickness and optical constants of amorphous silicon. Journal of Physics E: Scientific Instruments 1983, 16, 1214–1222. [Google Scholar] [CrossRef]
- Edmund Optics, Understanding Neutral Density Filters. Available online: https://www.edmundoptics.com/knowledge-center/application-notes/optics/understanding-neutral-density-filters (accessed on 31.03.2026).
- Padera, F. High Absorbance Scanning with LAMBDA 850+ and 1050+ Spectrophotometers. Available online: https://www.perkinelmer.com/library/app-high-absorbance-scanning-with-lambda-850-and-1050-spectrophotometers.html (accessed on 31.03.2026).
- Franta, D.; Vohánka, J.; Dvořák, J.; Franta, P.; Ohlídal, I.; Klapetek, P.; Březina, J.; Škoda, D. Wide spectral range optical characterization of tantalum pentoxide (Ta2O5) films by the universal dispersion model. Opt. Mater. Express 2025, 15, 903–919. [Google Scholar] [CrossRef]
- Franta, D.; Nečas, D.; Ohlídal, I.; Giglia, A. Optical characterization of SiO2 thin films using universal dispersion model over wide spectral range. SPIE International Society for Optics and Photonics, 2016; p. 989014. [Google Scholar]
- Franta, D.; Dubroka, A.; Wang, C.; Giglia, A.; Vohánka, J.; Franta, P.; Ohlídal, I. Temperature-dependent dispersion model of float zone crystalline silicon. Applied Surface Science 2017, 421, 405–419. [Google Scholar] [CrossRef]
- Stenzel, O.; Wilbrandt, S. Some Basic Considerations on the Reflectance of Smooth Metal Surfaces: Fresnel’s Formula and More. Coatings 2026, 16, 236. [Google Scholar] [CrossRef]
- Fujiwara, H. Spectroscopic Ellipsometry: Principles and Applications; John Wiley & Sons: Hoboken, NJ, USA, 2007. [Google Scholar]
- Nozières, P.; Pines, D. Electron Interaction in Solids. Characteristic Energy Loss Spectrum. Phys. Rev. 1959, 113, 1254–1267. [Google Scholar] [CrossRef]
- Lucarini, V.; Bassani, F.; Peiponen, K. E.; Saarinen, J. J. Dispersion theory and sum rules in linear and nonlinear optics. La Rivista del Nuovo Cimento 2003, 26, 1–120. [Google Scholar] [CrossRef]
- Franta, D.; Nečas, D.; Zajíčková, L.; Ohlídal, I.; Stuchlík, J.; Chvostová, D. Application of sum rule to the dispersion model of hydrogenated amorphous silicon. Thin Solid Films 2013, 539, 233–244. [Google Scholar] [CrossRef]
- Arndt, D.P.; Azzam, R.M.A.; Bennett, J.M.; Borgogno, J.P.; Carniglia, C.K.; Case, W.E.; Dobrowolski, J.A.; Gibson, U.J.; Hart, T.T.; Ho, F.C.; et al. Multiple determination of the optical constants of thin-film coating materials. Appl. Opt. 1984, 23, 3571–3596. [Google Scholar] [CrossRef] [PubMed]
- Bosch, S.; Monzonis, F. General inversion method for single-wavelength ellipsometry of samples with an arbitrary number of layers. J. Opt. Soc. Am. A 1995, 12, 1375–1379. [Google Scholar] [CrossRef]
- Macleod, A. Phase Matters. SPIE’s OE magazine 2005, 29–31. [Google Scholar]
- Holl, H. B. Specular Reflection and Characteristics of Reflected Light*. J. Opt. Soc. Am. 1967, 57, 683–690. [Google Scholar] [CrossRef]
- Azzam, R. M. A.; Zaghloul, A.-R. M. Principal angle, principal azimuth, and principal-angle ellipsometry of film-substrate systems. J. Opt. Soc. Am. 1977, 67, 1058–1065. [Google Scholar] [CrossRef]
- Cojocaru, E. Contours of the constant third Brewster angle in the complex plane of a dielectric constant. Applied Optics 1995, 34, 7864–7869. [Google Scholar] [CrossRef] [PubMed]
- Zaghloul, A.-R. M.; Azzam, R. M. A. Constant-psi constant-delta contour maps: applications to ellipsometry and to reflection-type optical devices. Appl. Opt. 1982, 21, 739–743. [Google Scholar] [CrossRef] [PubMed]
- Ohlídal, I.; Franta, D.; Ohlídal, M.; Navrátil, K. Optical characterization of nonabsorbing and weakly absorbing thin films with the wavelengths related to extrema in spectral reflectances. Appl. Opt. 2001, 40, 5711–5717. [Google Scholar] [CrossRef] [PubMed]
- van Nijnatten, P. Optical analysis of coatings by variable angle spectrophotometry. Thin Solid Films 2008, 516, 4553–4557. [Google Scholar] [CrossRef]
- van Nijnatten, P. An automated directional reflectance/transmittance analyser for coating analysis. Thin Solid Films 2003, 442, 74–79. [Google Scholar] [CrossRef]
- Burt, T. C.; Comerford, J.; Bricker, C.; Hind, A.; Death, D. L. Automated multi-point analysis with multi-angle photometric spectroscopy. SPIE International Society for Optics and Photonics, 2014; p. 89920H. [Google Scholar]
- Nevas, S.; Manoocheri, F.; Ikonen, E.; Tikhonravov, A. V.; Kokarev, M. A.; Trubetskov, M. K. Optical metrology of thin films using high-accuracy spectrophotometric measurements with oblique angles of incidence. In SPIE International Society for Optics and Photonics; 2004; pp. 234–242. [Google Scholar]
- Kostruba, A. M.; Vlokh, O. G. Accuracy of traditional ellipsometry and complex ellipsometry-transmission photometry techniques for absorptive-film/transparent-substrate systems. In SPIE International Society for Optics and Photonics; 1997; pp. 266–271. [Google Scholar]
- Lamminpää, A.; Nevas, S.; Manoocheri, F.; Ikonen, E. Characterization of thin films based on reflectance and transmittance measurements at oblique angles of incidence. Appl. Opt. 2006, 45, 1392–1396. [Google Scholar] [CrossRef]
- Xie, A.; Nian, S.; Zheng, Y.; Liu, S.; Dai, B.; Lu, Q.; Jin, Y.; Shao, J. High-precision film thickness detection method based on multi-angle spectroscopy and LSTM. In: SPIE International Society for Optics and Photonics 2025, 137201K. [Google Scholar]
- Tyson, J. J.; Rahman, T.; Boden, S. A. Angle-Resolved Spectrophotometry for the Optical Characterization of Material Surfaces. IEEE Transactions on Instrumentation and Measurement 2022, 71, 1–8. [Google Scholar] [CrossRef]
- Shaaban, E.; El-Hagary, M.; Emam-Ismail, M.; Abd Elnaeim, A.; Moustafa, S.; Adel, A. Optical characterization of polycrystalline ZnSe1−xTex thin films using variable angle spectroscopic ellipsometry and spectrophotmetery techniques. Materials Science in Semiconductor Processing 2015, 39, 735–741. [Google Scholar] [CrossRef]
- Franta, D.; Necas, D.; Ohlidal, I.; Hrdlicka, M.; Pavlista, M.; Frumar, M.; Ohlidal, M. Combined method of spectroscopic ellipsometry and photometry as an efficient tool for the optical characterisation of chalcogenide thin films. Journal of Optoelectronics and Advanced Materials 2009, 11, 1891–1898. [Google Scholar]
- Gao, L.; Lemarchand, F.; Lequime, M. Refractive index determination of SiO2 layer in the UV/Vis/NIR range: spectrophotometric reverse engineering on single and bi-layer designs. J. Eur. Opt. Soc.-Rapid Publ. 2013, 8, 13010. [Google Scholar] [CrossRef]
- Law, A. M.; Isherwood, P. J. M.; Walls, J. M.; Tyson, J. J.; Cao, C.; Boden, S. A. Variable Angle Reflectance Measurements of Anti-Reflection Coatings on Glass. IEEE 2024, 1056–1060. [Google Scholar]
- Likhachev, D. Efficient thin-film stack characterization using parametric sensitivity analysis for spectroscopic ellipsometry in semiconductor device fabrication. Thin Solid Films 2015, 589, 258–263. [Google Scholar] [CrossRef]
- Sotsky, A. B.; Krivetskii, K. N.; Parashkov, S. O.; Sotskaya, L. I. Lorentz-Lorenz Model for the Inverse Problem of Inhomogeneous Layer Spectrometry. Journal of Applied Spectroscopy 2016, 83, 845–853. [Google Scholar] [CrossRef]
- Anisimov, A. V.; Sh Khasanov, I. Algorithm for optical characterization of dielectric gradient index nanofilm by surface plasmon resonance spectroscopy. Journal of Physics: Conference Series 2021, 2091, 012067. [Google Scholar] [CrossRef]
- Russev, S. C.; Tsutsumanova, G. G.; Stefanov, I. L.; Hadjichristov, G. B. Ellipsometrical characterization of complex refractive index depth profile of 50 keV silicon ion implanted PMMA. Vacuum 2013, 94, 19–25. [Google Scholar] [CrossRef]
- Dvořák, J.; Vohánka, J.; Buršíková, V.; Franta, D.; Ohlídal, I. Optical Characterization of Inhomogeneous Thin Films Deposited onto Non-Absorbing Substrates. Coatings 2023, 13, 873. [Google Scholar] [CrossRef]
- Pettersson, L.; Johansson, T.; Carlsson, F.; Arwin, H.; Inganäs, O. Anisotropic optical properties of doped poly(3,4-ethylenedioxythiophene). Synthetic Metals 1999, 101, 198–199. [Google Scholar] [CrossRef]
- Franta, D.; Nečas, D.; Ohlídal, I. Anisotropy-enhanced depolarization on transparent film/substrate system. Thin Solid Films 2011, 519, 2637–2640. [Google Scholar] [CrossRef]
- Franta, D.; Ohlídal, I.; Nečas, D.; Vižd’a, F.; Caha, O.; Hasoň, M.; Pokorný, P. Optical characterization of HfO2 thin films. Thin Solid Films 2011, 519, 6085–6091. [Google Scholar] [CrossRef]
- Montero, J.; Karazhanov, S. Z. Spectroscopic Ellipsometry and Microstructure Characterization of Photochromic Oxygen-Containing Yttrium Hydride Thin Films. physica status solidi (a) 2018, 215, 1701039. [Google Scholar] [CrossRef]
- Horcholle, B. Growth and study of Tb3+ doped Nb2O5 thin films by radiofrequency magnetron sputtering: Photoluminescence properties. Applied Surface Science 2022, 597, 153711. [Google Scholar] [CrossRef]













| Δ | Ψ | Δ | Ψ | Δ | Ψ | Δ | Ψ | Δ | ||
| 10° | 55° | 55° | 65° | 65° | 75° | 75° | ||||
| Ψ | 10° | 0.000 | 1.97 | 0.409 | 1.23 | 25.0 | 0.000 | 2.74 | 0.290 | 5.96 |
| Δ | 10° | 0.153 | 12.0 | 0.696 | 100.5 | 6.39 | 0.000 | 2.87 | 1.36 | |
| Ψ | 55° | 0.000 | 1.14 | 7.07 | 0.145 | 1.96 | 0.516 | 3.53 | ||
| Δ | 55° | 0.529 | 250.0 | 12.3 | 0.379 | 4.57 | 6.53 | |||
| Ψ | 65° | 0.000 | 0.691 | 1.23 | 0.853 | 1.54 | ||||
| Δ | 65° | 103.6 | 24.2 | 26.7 | 144.4 | |||||
| Ψ | 75° | 0.000 | 2.91 | 1.45 | ||||||
| Δ | 75° | 0.297 | 5.86 | |||||||
| Ψ | 0.000 |
| 10° | 55° | 65° | 75° | |||||||
| 10° | 2.14 | 2.06 | 1.87 | 2.04 | 1.29 | 2.02 | 0.085 | 2.03 | 0.553 | |
| 10° | 2.06 | 1.87 | 2.04 | 1.30 | 2.03 | 0.083 | 2.03 | 0.551 | ||
| 55° | 1.81 | 1.97 | 1.28 | 1.95 | 0.112 | 1.96 | 0.576 | |||
| 55° | 1.79 | 1.23 | 1.78 | 0.192 | 1.79 | 0.635 | ||||
| 65° | 1.27 | 1.93 | 0.119 | 1.94 | 0.582 | |||||
| 65° | 1.27 | 0.623 | 1.27 | 0.853 | ||||||
| 75° | 0.124 | 1.93 | 0.586 | |||||||
| 75° | 0.123 | 1.94 | ||||||||
| 0.585 | ||||||||||
| Δn | Δk | |
| 0 | Reasonable compromise |
|
| 1 | large | small |
| → ∞ | Small | large |
Disclaimer/Publisher’s Note: The statements, opinions and data contained in all publications are solely those of the individual author(s) and contributor(s) and not of MDPI and/or the editor(s). MDPI and/or the editor(s) disclaim responsibility for any injury to people or property resulting from any ideas, methods, instructions or products referred to in the content. |
© 2026 by the authors. Licensee MDPI, Basel, Switzerland. This article is an open access article distributed under the terms and conditions of the Creative Commons Attribution (CC BY) license (http://creativecommons.org/licenses/by/4.0/).